On the Variativity of Cell Adhesive Response under the Action of Related Short Peptides
- Autores: Ivanova V.P.1
-
Afiliações:
- Sechenov Institute of Evolutionary Physiology and Biochemistry, Russian Academy of Sciences
- Edição: Volume 65, Nº 1 (2023)
- Páginas: 92-101
- Seção: Articles
- URL: https://journals.rcsi.science/0041-3771/article/view/140075
- DOI: https://doi.org/10.31857/S0041377123010054
- EDN: https://elibrary.ru/GOYZIE
- ID: 140075
Citar
Texto integral
Resumo
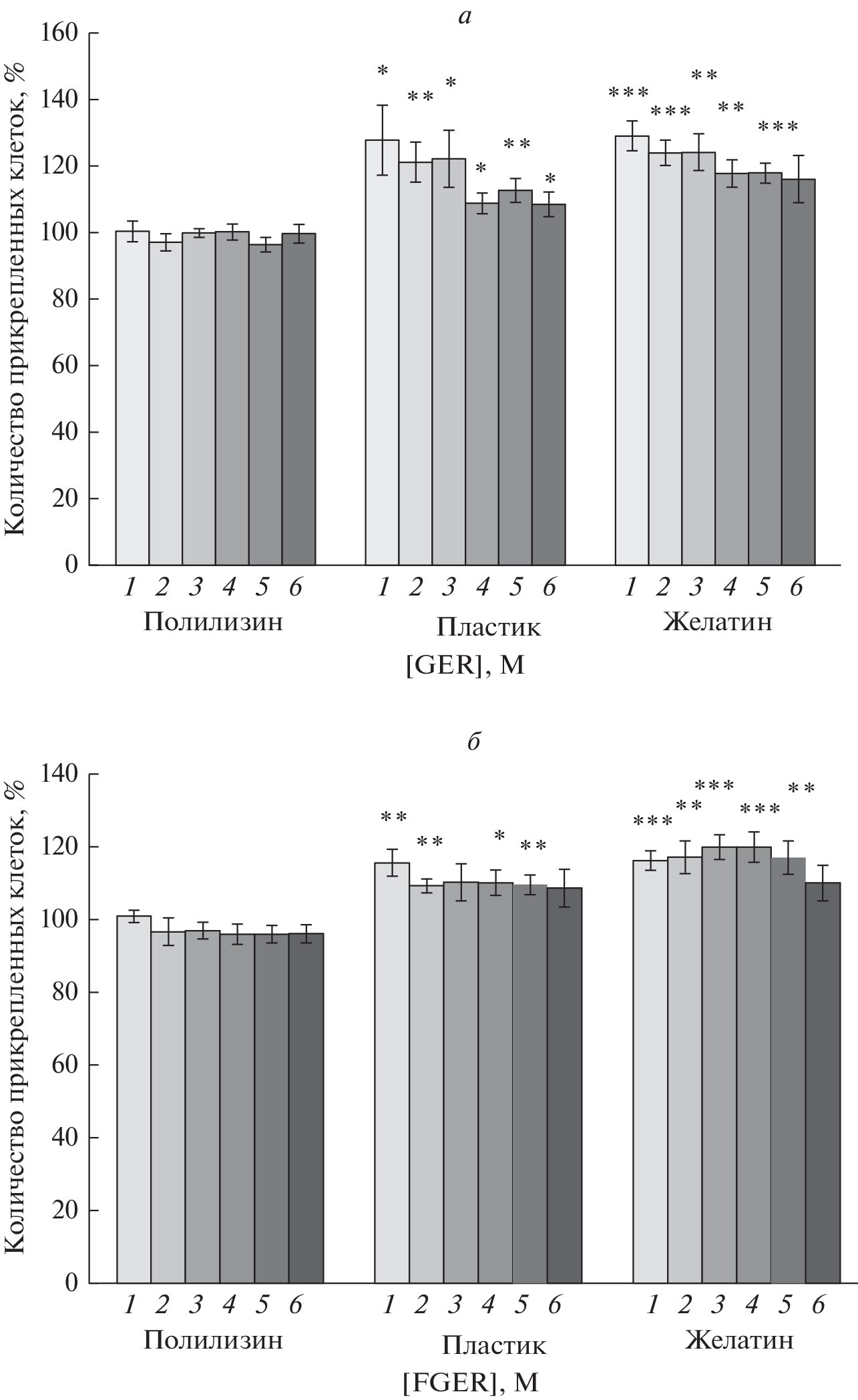
Analysis of the participation of short peptides GER and FGER containing common tripeptide fragment in the regulation of adhesive response of CHO-K1 cells was conducted. Both peptides stimulated cell adhesion both to untreated plastic and to gelatin-coated plastic, but did not change cell attachment to poly-L-lysine-coated plastic. Tripeptide GER had larger stimulation effect on cell adhesion to untreated plastic. Peptide FGER increased the rate of cell attachment to gelatin in a wider range of concentrations as compared to adhesion to untreated plastic. Variativity of cell spreading to different substrates under peptide action was demonstrated. On untreated plastic both investigated peptides practically in equal extent stimulated cell spreading. On gelatin peptide FGER kept the stimulation effect on cell spreading, but peptide GER partly inhibited cell spreading as compared to cell spreading on untreated plastic. It was established that insertion of additional N-terminal hydrophobic amino acid residue Phe to tripeptide fragment GER changes the regulatory activity of peptide at the cell adhesion model depending on the stage of cell connection with substrate and/or on substrate properties. The structural-functional activity of investigated short peptides on the instance of different structural components of adhesive structures is discussed.
Palavras-chave
Sobre autores
V. Ivanova
Sechenov Institute of Evolutionary Physiology and Biochemistry, Russian Academy of Sciences
Autor responsável pela correspondência
Email: valet@iephb.ru
Russia, 194223, St. Petersburg
Bibliografia
- Ашмарин И.П., Каразеева Е.П. 1996. Нейропептиды. В кн.: Нейрохимия. М.: Институт биомед. химии РАМН. С. 296. (Ashmarin I.P., Karazeeva E.P. 1996. Neuropeptides. In: Neurochemistry. Moscow: IBCH RAMS. P. 296.)
- Замятнин А.А. 2004. Биохимические проблемы олигопептидной регуляции. Биохимия. Т. 69. № 11. С. 1565. (Zamyatnin A.A. 2004. Biochemical problems of regulation by oligopeptides. Biochemistry (Moscow). V. 69. P. 1276.)
- Иванова В.П. 2017. Фибронектины: структурно-функциональные связи. Журн. эвол. биохим. физиол. Т. 53. № 6. С. 398. (Ivanova V.P. 2017. Fibronectins: structural-functional relationships. J. Evol. Biochem. Physiol. (Zhurnal Evolyutsionnoi Biokhimii i Fiziologii). V. 53. P. 450.)
- Иванова В.П. 2021. Талин: структурно-функциональные связи. Цитология. Т. 63. № 1. С. 3. (Ivanova V.P. 2021. Talin: structural and functional relationships. Cell Tiss. Biol. (Tsitologiya). V. 15. P. 416.)
- Кантор Ч., Шиммел П. 1984. Биофизическая химия. М.: Мир. Т. 1. 336 с. (Cantor C., Schimmel P. 1980. Biophysical Chemistry. San Francisco: W.H. Freeman and Co. Part 1. 367 p.)
- Костецкий П.В., Артемьев И.В. 2000. Конформационный анализ RGD-содержащего антиадгезивного пептида цикло(ArgGlyAspPhe-D-Val). Биохимия. Т. 65. № 9. С. 1231. (Kostetsky P.V., Artemjev I.V. 2000. Conformational analysis of the biologically active RGD-containing anti-adhesive peptide cyclo(ArgGlyAspPhe-D-Val). Biochemistry (Moscow) (Biokhimiya). V. 65. P. 1041.)
- Шульц Г., Ширмер Р. 1982. Принципы структурной организации белков. М.: Мир. 360 с. (Schulz G., Schirmer R. 1979. Principles of protein structure. N.Y.-Heidelberg–Berlin: Springer-Verlag. 332 p.)
- Щербак И.Г. 2005. Биологическая химия. СПб: СПбГМУ. 480 с. (Scherbak I.G. 2005. Biological chemistry. St. Petersburg: SPbSMU. 480 p.)
- Apostolopoulos V., Bojarska J., Chai T.T., Elnagdy S., Kaczmarek K., Matsoukas J., New R., Parang K., Lopez O.P., Parhiz H., Perera C.O., Pickholz M., Remko M.2021. A global review on short peptides: frontiers and perspectives. Molecules. V. 26. P. 430. https://doi.org/10.3390/molecules.26020430
- Barczyk M., Carracedo S., Gullberg D. 2010. Integrins. Cell Tiss. Res. V. 339. P. 269.
- Berrier A.L., Yamada K.M. 2007. Cell-matrix adhesion. J. Cell Physiol. V. 213. P. 565.
- Byron A., Frame M.C. 2016. Adhesion protein networks reveal functions proximal and distal to cell-matrix contacts. Curr. Opin. Cell. Biol. V. 39. P. 93.
- Cavalcanti-Adam E.A., Volberg T., Micoulet A., Kessler H., Geiger B., Spatz J.P. 2007. Cell spreading and focal adhesion dynamics are regulated by spacing of integrin ligands. Biophys. J. V. 92. P. 2964.
- Critchley D.R. 2009. Biochemical and structural properties of the integrin-associated cytoskeletal protein talin. Annu. Rev. Biophys. V. 38. P. 235.
- Cuvelier D., Thery M., Chu Y.S., Dufour S., Thiery J.P., Bornens M., Nassoy P., Mahadevan L. 2007. The universal dynamics of cell spreading. Curr. Biol. V. 17. P. 694.
- Dubin-Thaler B.J., Giannone G., Döbereiner H.G., Sheetz M.P. 2004. Nanometer analysis of cell spreading on matrix-coated surfaces reveals two distinct cell states and STEPs. Biophys. J. V. 86. P. 1794.
- Eichler J. 2008. Peptides as protein binding site mimetics. Curr. Opin. Chem. Biol. V. 12. P. 707.
- Filenius S., Tervo T., Virtanen I. 2003. Production of fibronectin and tenascin isoforms and their role in the adhesion of human immortalized corneal epithelial cells. Invest. Ophthalmol. Vis. Sci. V. 44. P. 3317.
- Flier van der A., Sonnenberg A. 2001. Function and interactions of integrins. Cell Tiss. Res. V. 305. P. 285.
- Hantgan R.R., Lyles D.S., Mallett T.C., Rocco M., Nagaswami C., Weisel J.W. 2003. Ligand binding promotes the entropy-driven oligomerization of integrin αIIbβ3. J. Biol. Chem. V. 278. P. 3417.
- Harburger D.S., Calderwood D.A. 2009. Integrin signalling at a glance. J. Cell Sci. V. 122. P. 159.
- Heino J. 2007. The collagen family members as cell adhesion proteins. BioEssays. V. 29. P. 1001.
- Humphries M.J., Travis M.A., Clark K., Mould A.P. 2004. Mechanisms of integration of cells and extracellular matrices by integrins. Biochem. Soc. Trans. V. 32. P. 822.
- Kim S.H., Turnbull J., Guimond S. 2011. Extracellular matrix and cell signaling: the dynamic cooperation of integrin, proteoglycan and growth factor receptor. J. Endocrynol. V. 29. P. 139.
- Lepzelter D., Zaman M.H. 2010. Clustered diffusion of integrins. Biophys. J. V. 99. P. L106.
- Li Z., Lee H., Zhu C. 2016. Molecular mechanisms of mechanotransduction in integrin-mediated cell-matrix adhesion. Exp. Cell Res. V. 349. P. 85.
- London N., Raveh B., Schueler-Furman O. 2013. Druggable protein-protein interactions – from hot spots to hot segments. Curr. Opin. Chem. Biol. V. 17. P. 952.
- Luo B.H., Springer T.A., Takagi J. 2004. A specific interface between integrin transmembrane helices and affinity for ligand. PLoS Biol. V. 2. e153. https://doi.org/10.1371/journal.pbio.0020153
- Maheshwari G., Brown G., Lauffenburger D.A., Wells A., Griffith L.G. 2000. Cell adhesion and motility depend on nanoscale RGD clustering. J. Cell Sci. V. 113. P. 1677.
- Morse E.M., Brahme N.N., Calderwood D.A. 2014. Integrin cytoplasmic tail interactions. Biochemistry. V. 53. P. 810.
- Moser M., Legate K.R., Zent R., Fässler R. 2009. The tail of integrins, talin, and kindlins. Science. V. 324. P. 895.
- Pan L., Zhao Y., Yuan Z., Qin G. 2016. Research advances on structure and biological functions of integrins. Springer Plus. V. 5. 1094. https://doi.org/10.1186/s40064-016-2502-0
- Petsalaki E., Russell R.B. 2008. Peptide-mediated interactions in biological systems: new discoveries and applications. Curr. Opin. Biotechnol. V. 19. P. 344.
- Plow E.E., Haas T.A., Zhang L., Loftus J., Smith J.W. 2000. Ligand binding to integrins. J. Biol. Chem. V. 275. P. 21785.
- Reichmann D., Rahat O., Cohen M., Neuvirth H., Schreiber G. 2007. The molecular architecture of protein-protein binding sites. Curr. Opin. Struct. Biol. V. 17. P. 67.
- Reuter M., Schwieger C., Meister A., Karlsson G., Blume A. 2009. Poly-L-lisines and poly-L-arginines induce leakage of negatively charged phospholipid vesicles and translocate through the lipid bilayer upon electrostatic binding to the membrane. Biophys. Chem. V. 144. P. 27.
- Selhuber-Unkel C., Lopez-Garcia M., Kessler H., Spatz J.P. 2008. Cooperativity in adhesion cluster formation during initial cell adhesion. Biophys. J. V. 95. P. 5424.
- Takada Y., Ye X., Simon S. 2007. The integrins. Genome Biol. V. 8. 215. https://doi.org/10.1186/gb-2007-8-5-215
- Tompa P., Fuxreiter M., Oldfield C.J., Simon I., Dunker A.K., Uversky V.N. 2009. Close encounters of the third kind: disordered domains and the interactions of proteins. Bioessays. V. 31. P. 328.
- Wells R.G. 2008. The role of matrix stiffness in regulating cell behavior. Hepatology. V. 47. P. 1394.
- Wolfenson H., Iskratsch T., Sheetz M.P. 2014. Early events in cell spreading as a model for quantitative analysis of biomechanical events. Biophys. J. V. 107. P. 2508.
- Xu J., Mosher D. 2011. Fibronectin and other adhesive glycoproteins. In: The extracellular matrix: an overview. Berlin: Springer-Verlag. P. 41.
- Yakuwa N., Inoue T., Watanabe T., Takashi K., Sendo F. 1989. A novel neutrophil adherence test effectively reflects the activated state of neutrophils. Microbiol. Immunol. V. 33. P. 834.
- Yamada K.M., Pankov R., Cukierman E. 2003. Dimensions and dynamics in integrin function. Braz. J. Med. Biol. Res. V. 36. P. 959.
- Yeung T., Georges P.C., Flanagan L.A., Marg B., Ortis M., Funaki M., Zahir N., Ming W., Weaver V., Janmey P.A. 2005. Effects of substance stiffness on cell morphology, cytoskeletal structure and adhesion. Cell Motil. Cytoskeleton. V. 60. P. 24.
- Zemljic J.S., Znidarcic T., Svetina S., Batista U. 2007. The effect of substrate and adsorbed proteins on adhesion, growth and shape of CaCo-2 cells. Cell Biol. Int. V. 31. P. 1097.
- Ziegler W.H., Gingras A.R., Critchley D.R., Emsley J. 2008. Integrin connections to the cytoskeleton through talin and vinculin. Biochem. Soc. Trans. V. 36. P. 235.
Arquivos suplementares




