Интенсификация гидратообразования при распространении слабой волны давления в пузырьковой жидкости
- Authors: Чиглинцев И.А.1, Лепихин С.А.2,3, Гималтдинов И.К.4
-
Affiliations:
- Уфимский университет науки и техники
- Сургутский государственный педагогический университет
- Сургутский государственный университет
- Уфимский государственный нефтяной технический университет
- Issue: Vol 62, No 5 (2024)
- Pages: 713–721
- Section: Heat and Mass Transfer and Physical Gasdynamics
- URL: https://journals.rcsi.science/0040-3644/article/view/280989
- DOI: https://doi.org/10.31857/S0040364424050094
- ID: 280989
Cite item
Full Text
Abstract
В работе представлена численная модель, описывающая распространение волны давления ступенчатого профиля малой амплитуды в пузырьковой среде, содержащей газ фреон-12, при условиях гидратообразования. Рассмотрена динамика волн в каналах постоянного и переменного сечения. Проанализировано влияние поверхностно-активных веществ на склонность дробления пузырьков в соответствии с механизмом неустойчивости Кельвина–Гельмгольца.
Full Text
Введение
Повышенное внимание к газовым гидратам обусловлено рассмотрением их в качестве возможного источника энергии, а также удобного и экономичного способа хранения и транспортировки больших объемов газа [1–8], что также может стать одним из решений проблемы утилизации образующихся на планете парниковых газов. В сфере нефтегазопромыслового хозяйства наличие газогидратных отложений является негативным фактором, который осложняет добычу и транспортировку энергетических углеводородов, а в некоторых случаях может стать причиной развития аварий [9–13].
Известны различные способы получения гидратов, однако большинство из них являются довольно медленными. Интенсивность роста газогидрата зависит от состояния воды и газа, наличия центров кристаллизации и различных солей, примесных частиц, капиллярных добавок, воздействия физических полей и т.д. Все это позволяет создавать условия для значительного увеличения интенсивности гидратообразования.
Одним из методов синтеза газогидрата является пропускание газа через слой воды. При этом процесс образования гидрата на поверхности газовых пузырьков может занимать десятки секунд [14]. Данный способ можно значительно ускорить, воздействуя на пузырьковую жидкость ударной волной, а также применяя специальные физико-химические добавки. В работах [15, 16] на основе проведенных экспериментов в ударной трубе установлено, что основной причиной, влияющей на рост интенсивности гидратообразования, является процесс дробления пузырьков за фронтом ударной волны, в результате чего соответствующее время гидратообразования сокращается до долей секунды.
В [17] построена теоретическая модель воздействия ударной волной на пузырьковую жидкость с гидратообразующим газом. В данной модели интенсивность гидратообразования определяется по аналогии с теорией неравновесных фазовых переходов в парожидкостных системах [18], а также рассматривается механизм дробления пузырька за фронтом волны, который показывает сильную зависимость этого процесса от ее амплитуды. Результаты данной модели хорошо согласуются с имеющимися экспериментальными данными [15], что в свою очередь позволяет делать параметрический анализ для интенсификации процесса гидратообразования. Одним из таких параметров является амплитуда волны давления в канале, заполненном пузырьковой жидкостью. Так, гидродинамические эффекты, возникающие при распространении волн давления в каналах переменного сечения, могут применяться для создания областей повышенного давления [19, 20], что в свою очередь может инициировать процесс гидратообразования посредством даже слабых волн [21].
Применение поверхностно-активных веществ (ПАВ), влияющих на поверхностное натяжение воды, может быть дополнительным катализатором для дробления пузырьков в волне. В [22] описаны результаты исследований по снижению поверхностного натяжения воды в зависимости от строения молекул ПАВ и их состава при различных концентрациях ПАВ. Показано, что поверхностное натяжение воды при постоянной температуре в зависимости от различных смесей, в состав которых входит неонол и синтаф, может быть снижено почти в два раза. В [23] установлено, что применение додециламидоэтилдиметилбензиламмония позволяет уменьшить поверхностное натяжение водного раствора при температуре 20°С с 73 × 10–3 до 30 × 10–3 Н/м, тогда как повышение температуры чистой воды от 20 до 35°С приводит к снижению поверхностного натяжения всего на (2–3) × 10–3 Н/м.
В данной работе, которая является продолжением и развитием работ [17, 21], изучается динамика распространения волн давления в жидкости с пузырьками газа фреон-12, анализируется интенсивность гидратообразования при распространении волны давления в канале переменного сечения и добавлении ПАВ с учетом воздействия их только на поверхностное натяжение воды без влияния на другие механизмы гидратообразования.
Постановка задачи и основные уравнения
Экспериментальные исследования для анализа воздействия ударных волн на пузырьковую жидкость с гидратообразующим газом проводятся на установке «ударная труба», представляющей собой стальную трубу диаметром 0.53 м, разделенную на камеры высокого давления (КВД) и низкого давления (КНД). Газ фреон-12 поступает снизу в КНД через систему капилляров, образуя газожидкостную пузырьковую смесь. В начальный момент пузырьковая система находится под давлением p0. После разрыва диафрагмы, разделяющей КВД и КНД, давление в среде повышается до значения pе, и по трубе начинает распространяться волна давления заданной амплитуды. Этот процесс способствует созданию благоприятных условий для гидратообразования при постоянной текущей температуре в воде из-за повышения давления и процесса дробления пузырьков. В результате на межфазной границе происходит рост гидрата. В экспериментах [15] в исходном состоянии пузырьковой системы образование газогидрата не учитывалось, а сам рабочий участок (КНД), в котором осуществлялся синтез гидрата, имел длину 1.5 м. Для регистрации профилей волн давления использовались два пьезоэлектрических датчика давления и тензодатчик, расположенные по длине рабочего участка и установленные заподлицо с его внутренней стенкой. Тензодатчик позволял измерять профиль давления на временах порядка 1 с. Профиль объемного газосодержания за ударной волной измерялся датчиком проводимости, расположенным в средней части рабочего участка. Датчик измерял осредненное по сечению рабочего участка и высоте 20 мм значение объемного газосодержания. Характерное время осреднения определялось временем прохождения датчика волной и составляло менее 0.2 мс.
В теоретическом исследовании для получения профилей волн давления и объемного газосодержания рассматривался датчик, положение которого показано на рис. 1.
Рис. 1. Схема «ударной трубы»: 1 – рабочий участок (КНД), 2 – камера высокого давления, 3 – диафрагма, 4 – датчик.
Рассмотрим задачу в плоскоодномерном приближении. При записи основных законов сохранения предполагается, что весь газ при фазовом переходе полностью идет на образование гидрата на поверхности пузырька. Основываясь на допущениях волновой динамики пузырьковых жидкостей [18], запишем уравнения сохранения масс и числа пузырьков с возможностью учета геометрии канала:
, ,
, ,
, , ,
, ,
αl + αg + αh = 1,
jh = jg + jl , jg = Gjh , jl = (1 – G)jh .
Здесь G – постоянная величина, характеризующая массовое содержание газа в гидрате; ρi, ρi0, αi, υ, n, a и ∆ah – средние и истинные плотности фаз, объемные концентрации, скорость, число пузырьков в единице объема, радиус пузырьков и приведенная толщина гидратной пленки; ji – удельная интенсивность массопереноса; S = S(x) – площадь поперечного сечения канала; индексы i = l, g и h обозначают параметры жидкости, газа и гидрата.
Уравнение сохранения импульсов для жидкости имеет вид
,
где pl – давление в жидкости.
Для описания изменения давления газа в пузырьках в ходе распространения волны давления необходимо записать первое начало термодинамики в виде
.
Здесь eg и ega – средняя по пузырьку и на его поверхности удельная внутренняя энергия газа; q(ga) – удельный тепловой поток, направленный от пузырька к межфазной поверхности; w – скорость радиального движения пузырьков.
Если записать состояние газа как
eg = cgVTg,
где Tg – средняя температура газа в пузырьке, cgV – удельная теплоемкость при постоянном объеме, то, учитывая записанные выше уравнения сохранения масс, можно получить
.
Скорость радиального движения пузырька запишем в виде [24]
w = wR + wA,
где wR и wA определяются как
, .
В данном выражении Cl соответствует скорости звука в жидкости. Жидкость считается акустически сжимаемой, а газ калорически совершенным:
, .
На поверхности пузырьков при температуре и плотности газа ρ0ga имеем
.
Межфазный тепломассообмен
В ходе образования гидрата происходит выделение тепла на границе пузырька, которое передается жидкости, поэтому необходимо записать соответствующие выражения, описывающие эти процессы. Для баланса тепла получим
– q(ga) + q(al) = jhlh,
где lh – удельное количество теплоты, выделяемое при фазовом переходе газа в гидрат; q(al) – тепловой поток от поверхности пузырька в жидкость.
Для описания тепловых потоков от газа к межфазной границе и от нее в жидкость запишем [18]
,
,
где – коэффициент температуропроводности газа, Ре – число Пекле. Для q(al) имеем
. (1)
Здесь – распределение температуры в жидкости вокруг пузырьков, r и r0 – эйлеровы и лагранжевы радиальные микрокоординаты. Для того чтобы в соответствии с (1) определить тепловые потоки вокруг пузырьков, необходимо решить уравнение теплопроводности, записанное в лагранжевых переменных:
, a0 < r0 <∞;
r3 = r 30 – a30 + a3,
при граничных условиях
= Ta при r0 = a0, = T0 при r0 → ∞.
Согласно оценкам [17] и расчетам, проведенным на основе данных [15], для граничных условий на межфазной поверхности выполняется равенство температур на границе и в жидкости и температуру можно считать постоянной:
Ta = T0.
Для замыкания системы необходимо записать выражения для удельной интенсивности фазового перехода. Гидратообразование является сложным процессом, зависящим от множества факторов: состояния воды, наличия примесей, степени метастабильности [15, 25], воздействия энергетических полей и т.д. Существуют различные способы описания его кинетики, среди которых можно выделить диффузионный механизм и механизм на основе отвода тепла от пузырька. Интенсивность гидратообразования в данном случае описывается по аналогии с фазовым переходом пара на межфазной границе по неравновесной схеме [18]:
, ,
ps0 = ps(T0),
где β – единый эмпирический параметр, отвечающий за диффузионные явления, а также особенности зарождения центров кристаллизации и их роста; ps(Ta) – равновесное давление гидратообразования, соответствующее температуре Ta.
Дробление пузырька
Процесс дробления пузырька является сложным и реализуется в результате действия сил инерции, вязкости и поверхностного натяжения. Если рассматривать сферическую поверхность границы между газом и жидкостью в виде плоской схемы, то в этом случае дробление описывается неустойчивостями Рэлея–Тейлора и Кельвина–Гельмгольца, для которых критерием дробления являются числа Бонда и Вебера [18]. В первом случае дробление пузырька происходит по причине ускорения радиального движения пузырька, а во втором определяющую роль играет скорость относительного движения пузырька. Чем больше значения этих чисел, тем быстрее происходит дробление. Также важно, чтобы возмущение, приводящее к дроблению, действовало достаточно долгое время.
В ходе распространения волны давления в пузырьковой жидкости наибольшие значения чисел Бонда и Вебера наблюдаются в момент максимального сжатия пузырька, так как и ускорение, и относительная скорость в этот момент принимают максимальные значения. На основе данных [15] за основной механизм дробления примем неустойчивость Кельвина–Гельмгольца и будем полагать, что в момент максимального сжатия пузырек мгновенно делится на фрагменты.
Так как скорость движения газовой фазы относительно жидкой в данном случае играет определяющую роль, необходимо записать уравнение для ее определения. Для этого воспользуемся уравнением импульсов для пузырька
,
где fm, fA, fS – соответственно силы тяжести, Архимеда и Стокса, действующие на пузырек. В остальном же относительностью движения фаз пренебрегаем.
Так как , получаем [18]
,
где cμ – коэффициент вязкого сопротивления, который определяется следующим образом:
Re ≤ 10.9: ;
10.9 < Re ≤ 1000: ;
Re >1000: cμ = 4.466 × 10–2;
.
Согласно [18], если , то условие для дробления пузырька по неустойчивости Кельвина–Гельмгольца находится неравенством
,
где σ – коэффициент поверхностного натяжения воды, определяющий стабилизирующий эффект, который в данном случае при использовании ПАВ принимает различные значения в зависимости от концентрации раствора; χ – параметр, определяемый из эксперимента, принятый здесь равным 2 [17].
Как было сказано выше, максимальное значение числа Вебера We(m) наблюдается в момент первого максимального сжатия пузырька до радиуса a(m) на переднем фронте волны давления. Если это число превысит критическое We*, то пузырек мгновенно разделится на фрагменты. Для определения их радиуса и количества запишем выражение для момента первого максимального сжатия в виде
,
где и –
пиковые значения плотности газа в пузырьке и его относительной скорости на фронте волны; a*(m) – наибольший радиус фрагмента раздробившегося пузырька, устойчивого при данной амплитуде волны и значении σ.
Для анализа динамики волны давления и интенсивности гидратообразования рассмотрим простой случай более мелкодисперсной пузырьковой жидкости, в которой начальный радиус пузырька соответствует максимальному радиусу фрагмента, устойчивому к дроблению на всем протяжении волны давления данной амплитуды при значении σ. Количество фрагментов, на которые происходит дробление, можно определить исходя из условия равенства объема пузырька с радиусом a(m) в момент максимального сжатия и суммы объемов всех фрагментов радиусом a*(m):
Результаты расчетов
При проведении численного анализа для начального состояния пузырьковой жидкости с гидратообразующим газом приняты следующие значения параметров системы: p0 = = 105 Па, a0 = 2 × 10–3 м, ρ0g0 = 5.3 кг/м3, αg0 = 10–1, T0 = 274 К. Термодинамические параметры для газа фреон-12 равны λg = 8.76 × 10–3 Вт/(м К), cg = 590 Дж/(кг К), γ = 1.14, Rg = 68.76 Дж/ (кг К). Параметры процесса гидратообразования: ps0 = 0.42 × 10–5 Па, G = 0.3, lh = 3 × 105 Дж/кг, T * = 5.2 К, β = 3 × 10–5. Значение коэффициента β выбрано в соответствии с наилучшим согласованием экспериментальных и расчетных данных. В частности, значения β = 10–4 и 10–5 дают явно завышенную и заниженную степени гидратообразования по сравнению с экспериментом [17]. В расчетах наличие ПАВ в воде рассматривалось в концентрации, при которой коэффициент поверхностного натяжения принимал три разных значения: σ = 73 × 10–3, 55 × 10–3 и 40 × 10–3 Н/м. Первому значению соответствует отсутствие ПАВ в воде, второму и третьему – наличие ПАВ определенной концентрации. Значения σ подобраны согласно результатам исследования [23] с учетом заметного различного влияния на процесс гидратообразования в пузырьковой жидкости.
Существующие эксперименты по гидратообразованию в пузырьковых жидкостях посредством волнового воздействия повышенным давлением проводились только в цилиндрических трубах постоянного диаметра. В рамках численного анализа в настоящей работе дополнительно исследована возможность гидратообразования волнами давления малой начальной амплитуды в сужающемся коническом канале. В расчетах приняты следующие параметры труб: длина обеих труб L = 1.5 м, диаметр цилиндрической трубы d0 = dL = 0.053 м (рис. 2а), торцевые диаметры конусной трубы d0 = 0.053, dL = 0.033 м (рис. 2б). Начальное объемное газовое содержание пузырьковой системы в обоих случаях было одинаковым.
Рис. 2. Схема расчетной области.
Волна давления ступенчатого профиля в пузырьковой жидкости создавалась внезапным повышением давления до значения pе на входе в трубу (x = 0); на другом конце канала (x = L) принималось условие равенства нулю скорости жидкости. Амплитуда ударной волны при проведении расчетов принята равной ∆pl = pе – p0 = = 0.05 МПа.
Исследовалось влияние формы канала и наличие ПАВ в газожидкостной системе на дробление пузырьков и интенсивность гидратообразования.
На рис. 3 представлены кривые максимальных значений числа Вебера по длине канала при трех различных значениях коэффициента поверхностного натяжения жидкости. Видно, что при отсутствии ПАВ пузырьки в жидкости при заданной амплитуде волны остаются устойчивыми к дроблению, так как максимальное значение числа Вебера не превышает его критического значения (We < We* = 2πχ ≈ 12). При наличии ПАВ в жидкости склонность пузырьков к дроблению возрастает. Так, при концентрации ПАВ, обеспечивающей уменьшение коэффициента поверхностного натяжения до 40 × 10–3 Н/м, максимальное значение числа Вебера превышает его критическое значение примерно в 2 раза (точечная кривая).
Рис. 3. Кривые максимальных значений числа Вебера в цилиндрическом канале: 1 – при отсутствии ПАВ в воде (σ = 73 × 10–3 Н/м), 2 – при наличии ПАВ (σ = 55 × 10–3), 3 – 40 × 10–3; горизонтальная линия – критическое значение числа Вебера.
Исходя из полученных результатов, можно отметить, что максимальный радиус пузырька, устойчивого к дроблению при заданной амплитуде волны давления и использовании ПАВ, принимает значения a*(m) = 1 мм при σ = 55 × 10–3 и a*(m) = 0.7 мм при σ = 40 × 10–3 Н/м, что соответствует дроблению исходного пузырька в момент его максимального сжатия на 4 и 10 фрагментов соответственно.
На рис. 4 представлена динамика волны давления и радиуса пузырька в цилиндрическом канале. Пузырьки меньшего радиуса, устойчивые к дроблению, получаются в результате дробления исходного пузырька за фронтом волны давления из-за снижения коэффициента поверхностного натяжения на фрагменты радиусами 1 и 0.7 мм.
Рис. 4. Эволюция волн давления и радиуса пузырька в цилиндрическом канале: (а) – при отсутствии ПАВ, (б), (в) – более мелкодисперсная пузырьковая жидкость с пузырьками меньшего радиуса, устойчивыми к дроблению; числа у кривых – моменты времени в мс.
Верхний ряд графиков на рис. 4 показывает эпюры волны давления, которая в моменты времени 4 и 16 мс движется в прямом направлении, а через 45 мс возвращается после отражения от дна канала. За фронтом волны реализуются благоприятные условия для гидратообразования, в результате чего часть газа переходит в гидратное состояние, о чем свидетельствует уменьшение радиуса пузырьков с течением времени. При этом относительное изменение радиусов пузырьков за один и тот же промежуток времени больше в случае дробления пузырьков на большее число фрагментов, что означает более высокую интенсивность гидратообразования. Также в этом случае наблюдается более сильное затухание амплитуды волны давления по мере ее распространения по каналу, что обусловлено более интенсивным процессом образования гидрата.
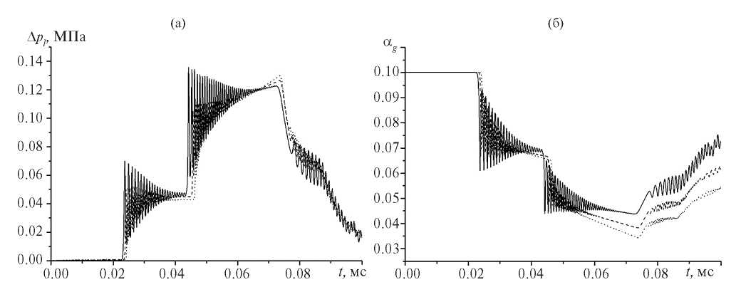
На рис. 5 представлены показания регистрирующего датчика, описывающие изменения давления в жидкости, и кривые объемного газосодержания среды. Добавление ПАВ в систему и, как следствие, дробление пузырьков волной давления на более мелкие фрагменты приводят к большему уменьшению концентрации газовой фазы и переводу ее в гидратное состояние, чем при отсутствии ПАВ в среде и дробления пузырьков. Это в свою очередь приводит к повышению акустической упругости среды и увеличению давления в жидкости за фронтом отраженной от жесткого дна канала волны. Натурные эксперименты по исследованию влияния добавления ПАВ в несущую фазу пузырьковой системы на синтез гидрата в ударной трубе пока не проводились, поэтому сравнение полученного решения с экспериментальными данными не может быть осуществлено. Однако в [17] был представлен сравнительный анализ результатов расчетов по полученной численной модели и экспериментов [15] и отмечено хорошее согласие экспериментальных и теоретических данных, что позволяет обоснованно считать полученные в настоящей работе результаты в достаточной степени достоверными.
Рис. 5. Эпюры давления (а) и объемного газосодержания (б) в цилиндрическом канале: сплошная линия – без дробления пузырьков в волне, пунктирная и точечная линии – дробление пузырьков на 4 и 10 фрагментов из-за добавления ПАВ, σ снижается до 55 × 10–3 и 40 × 10–3 Н/м.
Распространение нестационарных возмущений в пузырьковых системах в канале с изменяемой геометрией может быть использовано для создания областей высокого давления, которые реализуются в узких участках канала в результате аккумулирования энергии волны. Такой результат может привести к достижению необходимых условий гидратообразования в пузырьковой жидкости или увеличению его интенсивности вследствие дробления пузырьков даже посредством волн малой амплитуды. Рассмотрим распространение волны давления амплитудой ∆pl = 0.05 МПа по сужающемуся каналу (рис. 2б) при отсутствии и наличии ПАВ в среде. На рис. 6 представлены кривые максимальных значений числа Вебера при распространении падающей волны давления в коническом канале в случае использования ПАВ и без него. Результаты показывают, что геометрия канала приводит к возрастанию амплитуды распространяющейся в канале волны, вследствие чего условие дробления пузырьков (We > We*) достигается даже при отсутствии ПАВ. Прямая горизонтальная линия соответствует критическому значению числа Вебера We*.
Рис. 6. Кривые максимальных значений числа Вебера в коническом канале: точечная линия – при наличии ПАВ (σ = 40 × 10–3 Н/м), сплошная – без ПАВ; горизонтальная линия – критическое значение числа Вебера.
На рис. 7 показан сравнительный анализ результатов расчета динамики волны давления в коническом канале. Из графиков давления в жидкости и радиуса пузырьков видно, что распространение волны давления в коническом канале во всех рассматриваемых случаях происходит практически без затухания. Аккумуляция энергии волны, обусловленная геометрией канала, компенсирует энергетические потери волны вследствие дробления пузырьков и гидратообразования. При этом увеличение интенсивности образования гидрата, обусловленное дроблением волной давления пузырьков газа на фрагменты, может быть реализовано как изменением профиля канала, так и добавлением в пузырьковую жидкость ПАВ. Оценочные расчеты, произведенные по значениям объемного газосодержания, полученным в результатах численного эксперимента, показывают, что дробление пузырьков, обусловленное только геометрией канала без добавления ПАВ, увеличивает интенсивность гидратообразования почти в два раза. Применение ПАВ в данной системе приводит к возрастанию быстроты образования гидратов за фронтом волны в коническом канале еще в 1.5 раза.
Рис. 7. Эпюры волн давления (верхний ряд), радиуса пузырька (средний ряд) и объемного газосодержания (нижний ряд) в коническом канале: (а) – без учета дробления пузырьков и при отсутствии в системе ПАВ, (б) – с учетом дробления пузырьков только из-за сужения канала, (в) – при дроблении пузырьков и добавлении в среду ПАВ; числа у кривых – моменты времени в мс.
Таким образом, интенсификация гидратообразования в пузырьковой жидкости, содержащей гидратообразующий газ, посредством ударной волны возможна не только путем увеличения амплитуды воздействующей волны, но и управлением геометрией канала и добавлением в газожидкостную систему поверхностно-активных веществ, способствующих дроблению пузырьков.
Заключение
В работе исследована динамика волны давления малой амплитуды в пузырьковой жидкости, содержащей газ фреон-12, в каналах постоянного и переменного сечений. Рассмотрено влияние геометрии канала и добавления в газожидкостную систему поверхностно-активных веществ, снижающих значение коэффициента поверхностного натяжения жидкости, на склонность пузырьков к дроблению согласно механизму неустойчивости Кельвина–Гельмгольца и, как следствие, на интенсивность гидратообразования за фронтом волны давления. Показано, что применение ПАВ и изменение профиля канала может значительно увеличить интенсивность процесса образования гидрата в пузырьковых жидкостях при воздействии волной давления, что в свою очередь позволяет использовать в подобных технологических процессах для синтеза газогидратов волновые воздействия малой амплитуды.
Работа выполнена при поддержке госзадания Минобрнауки РФ на тему «Разработка и создание малотоннажных продуктов и реагентов (ингибиторы коррозии и солеотложения, антиоксиданты, биоциды, присадки и др.) для процессов нефтегазохимии и очистки водных сред от загрязнений, замещающих импортные вещества и материалы. Теоретические и экспериментальные подходы» (FEUR –2023–0006).
About the authors
И. А. Чиглинцев
Уфимский университет науки и техники
Email: sg81@bk.ru
Russian Federation, г. Уфа
С. А. Лепихин
Сургутский государственный педагогический университет; Сургутский государственный университет
Author for correspondence.
Email: sg81@bk.ru
Russian Federation, г. Сургут; г. Сургут
И. К. Гималтдинов
Уфимский государственный нефтяной технический университет
Email: sg81@bk.ru
Russian Federation, г. Уфа
References
- Sloan E.D., Koh C.A. Clathrate Hydrates of Natural Gases. CRC Press, Taylor & Francis, 2008. 119 p.
- Kuhs W.F., Genov G., Staykova D.K., Hansen T. Ice Perfection and Onset of Anomalous Preservation of Gas Hydrates // J. Phys. Chem. 2004. V. 6. P. 4917.
- Stern L.A., Circone S., Kirby S.H., Durham W.B. Anomalous Preservation of Pure Methane Hydrate at 1 atm // J. Phys. Chem. B. 2001. V. 105. P. 1756.
- Бык С.Ш., Макагон Ю.Ф., Фомина В.И. Газовые гидраты. М.: Химия, 1980. 296 с.
- Хавкин A.Я. Перспективы создания газогидратной промышленности // Вестн. РАЕН. 2010. Т. 10. № 1. С. 42.
- Шагапов В.Ш., Нурисламов О.Р., Хабибуллина А.Р. Отбор газа из гидратосодержащего пласта депрессионным воздействием // Вестн. ТГУ. Матем. и мех. 2012. № 4(20). С. 119.
- Вахидова Л.М., Молотов С.А., Смирнова Т.С., Мирабидинов Ш.Н. Особенности освоения газовых гидратов криолитозоны // Вестн. ПНИПУ. Геология. Нефтегаз. и горн. дело. 2013. Т. 12. № 6. С. 23.
- Мусакаев Н.Г., Хасанов М.К., Бородин С.Л., Бельских Д.С. Численное исследование процесса разложения гидрата метана при закачке теплого газа в гидратонасыщенную залежь // Вестн. ТГУ. Матем. и мех. 2018. № 56. С. 88.
- Уразов Р.Р. Динамика накопления и диссоциации газогидратных отложений в действующих газопроводах. Дис. … канд. физ.-мат. наук. Тюмень: ТГУ, 2005. 121 с.
- Шабаров А.Б., Ширшова А.В., Гашева С.С. Влияние физико-химических свойств нефти на газогидратообразование в водонефтяных эмульсиях // Изв. вузов. Нефть и газ. 2014. № 2(104). С. 88.
- Молчанов Д.А., Ширшова А.В., Политова С.С. Определение глубины газогидратообразования в нефтяных скважинах с учетом режима ее работы и состава попутного газа // Вестн. ТюмГУ. Физ.-мат. моделирование. Нефть, газ, энергетика. 2015. Т. 1. № 2. С. 22.
- Шагапов В.Ш., Галиакбарова Э.В., Хакимова З.Р. К теории определения месторасположения гидратных отложений в газопроводах акустическим зондированием // Многофазные системы. 2019. Т. 14. № 3. С. 157.
- Чиглинцева А.С., Насыров А.А., Чиглинцев И.А., Лепихин С.А. Исследование процесса гидратообразования в откачивающем трубопроводе с теплоизоляционным покрытием при отборе газа из «купола-сепаратора» // Вестн. ТГУ. Матем. и мех. 2020. № 67. С. 144.
- Rehder G., Brewer P.W., Peltzer E.T. Enhanced Lifetime of Methane Bubble Streams within the Deep Ocean // Geophys. Res. Lett. 2002. № 29. P. 21.
- Донцов В.Е., Накоряков В.Е., Чернов А.А. Ударные волны в воде с пузырьками фреона-12 с образованием гидрата газа // ПМТФ. 2007. Т. 48. № 3. С. 58.
- Донцов В.Е., Чернов А.А., Донцов Е.В. Ударные волны и образование гидрата углекислого газа при повышенном начальном давлении в газожидкостной среде // Теплофизика и аэромеханика. 2007. Т. 14. № 1. С. 23.
- Шагапов В.Ш., Лепихин С.А., Чиглинцев И.А. Распространение волн сжатия в пузырьковой жидкости // Теплофизика и аэромеханика. 2010. Т. 17. № 2. С. 247.
- Нигматулин Р.И. Динамика многофазных сред. Ч. 1. М.: Наука, 1987. 360 с.
- Суров В.С. Влияние геометрического фактора на распространение ударных волн в дисперсных средах // ТВТ. 1998. Т. 36. № 6. С. 1001.
- Галимзянов М.Н., Гималтдинов И.К., Лепихин С.А. Инициирование детонационных волн в каналах переменного сечения, заполненных жидкостью с пузырьками горючего газа // ТВТ. 2010. Т. 48. № 2. С. 234.
- Галимзянов М.Н., Лепихин С.А., Чиглинцев И.А. Распространение нелинейных волн в каналах переменного сечения, сопровождаемое образованием гидрата газа // Вестн. СамГУ. Естественнонаучн. сер. 2012. № 3/1(94). С. 103.
- Агеев А.А., Волков В.А. Зависимость поверхностного натяжения водных растворов от строения молекул поверхностно-активных веществ и состава адсорбционных слоев // Вестн. Ассоциации вузов туризма и сервиса. 2008. Т. 2. № 4. С. 55.
- Кочурова Н.Н., Коротких О.П., Дмитровская М.В. Поверхностное натяжение водных растворов хлорида додециламидоэтилдиметилбензиламмония // ЖПХ. 2004. Т. 77. № 5. С. 853.
- Нигматулин Р.И., Шагапов В.Ш., Вахитова Н.К. Проявление сжимаемости несущей фазы при распространении волн в пузырьковой среде // ДАН СССР. 1989. Т. 304. № 35. С. 1077.
- Гумеров Н.А. Автомодельный рост слоя газового гидрата, разделяющего газ и жидкость // Изв. РАН. МЖГ. 1992. № 5. С. 78.
Supplementary files









