Пикосекундная динамика и морфология тыльного откола нанослоя в пленке ванадия при ударно-волновом нагружении субпикосекундными лазерными импульсами
- Авторы: Комаров П.С.1, Ромашевский С.А.1, Струлева Е.В.1, Ашитков С.И.1
-
Учреждения:
- ФГБУН Объединенный институт высоких температур РАН (ОИВТ РАН)
- Выпуск: Том 62, № 5 (2024)
- Страницы: 698–703
- Раздел: Теплофизические свойства веществ
- URL: https://journals.rcsi.science/0040-3644/article/view/280986
- DOI: https://doi.org/10.31857/S0040364424050071
- ID: 280986
Цитировать
Полный текст
Аннотация
Методами высокоскоростной лазерной интерферометрии, сканирующей электронной и атомно-силовой микроскопии исследована временная динамика и морфология откольного разрушения пленочного образца ванадия микронной толщины при ударно-волновом нагружении фемтосекундными лазерными импульсами в различных условиях фокусировки излучения. Показано, что вблизи порога разрушения при длительности генерируемого импульса сжатия 50 пс и скорости деформирова ния 1.4 × 10 9 с –1 на тыльной поверхности формируется кратер глубиной 170–190 нм с наноразмерной шероховатостью. Результаты могут представлять интерес для изучения физики и моделирования процессов высокоскоростного разрушения металлов.
Полный текст
Введение
Исследование ударно-волновых явлений в конденсированных средах позволяет получить новые данные для уравнений состояния [1–3], сведения о полиморфных превращениях [4, 5], деформации и разрушении вещества [1, 6–15]. Важной задачей является прогнозирование поведения материалов в широком диапазоне длительности импульсных механических нагрузок. Известно, что сопротивление деформированию и разрушению металлов (динамическая прочность) увеличивается с ростом скорости деформирования. В последние годы применение лазеров фемтосекундной длительности для генерации ультракоротких ударных волн (УВ) пикосекундного диапазона позволило получить данные о поведении ряда материалов вблизи теоретического предела прочности при предельно высоких скоростях деформирования (~109 с–1) [5, 10, 14–16].
С ростом скорости растяжения происходят изменения в механизме откольного разрушения. Вместо разрушения посредством роста отдельных катастрофических трещин в субмикросекундном диапазоне нагружения в пикосекундном диапазоне имеет место эволюция рассеянных разрушений, при которой активизируются все более мелкие и многочисленные центры разрушения. Релаксация возникающих при этом глубоко метастабильных состояний происходит путем зарождения и роста зародышевых пузырьков или пор, которые появляются благодаря тепловым флуктуациям плотности (гомогенное зарождение) или благодаря примесям и структурным неоднородностям в веществе [16]. Несмотря на вполне удовлетворительное общее понимание физики и механики высокоскоростного деформирования и разрушения, полного согласия моделирования этих явлений с имеющимися экспериментальными данными пока не достигнуто.
При отражении импульса сжатия от тыльной свободной поверхности образца при ударно-волновом нагружении в результате интерференции падающей и отраженной волн внутри вещества формируются растягивающие напряжения, максимум которых находится на некотором расстоянии от тыльной поверхности [16]. При превышении величины растягивающих напряжений объемной прочности материала внутри него возникает откольное разрушение. Глубина, на которой возникает разрушение Lspall, и морфология откола зависят от параметров нагрузки и свойств материала.
Измерение величины растягивающего напряжения непосредственно перед откольным разрушением в ударно-волновых экспериментах осуществляется путем регистрации волновых профилей скорости свободной поверхности испытуемого образца ufs(t) по величине декремента скорости ∆ufs. Положение поверхности откола при этом оценивается по времени выхода откольного импульса. В большом числе случаев непосредственно исследовать морфологию разрушения после воздействия не представляется возможным из-за полного разрушения образца. В частности, это имеет место в лазерных экспериментах при предельно высоких скоростях деформирования, где в качестве экспериментальных образцов применяются тонкие металлические пленки микронной толщины на прозрачных (стеклянных) подложках [4]. Сфокусированный через стекло в пятно диаметром 50–100 мкм мощный фемтосекундный лазерный импульс (ФЛИ), нагревая слой металла толщиной порядка 100 нм, граничащий с подложкой, генерирует плоскую ультракороткую ударную волну длительностью десятки пикосекунд, которая вызывает откольное разрушение вблизи холодной тыльной поверхности пленочного образца на глубине 100–200 нм. При этом параметры волновых профилей скорости свободной поверхности при выходе УВ регистрируются методом высокоскоростной лазерной интерферометрии с пространственным и временным разрешением [17, 18]. Однако генерируемые в образце напряжения и нарушение адгезии с подложкой при плавлении части нагретого металлического слоя вблизи контакта металл–стекло приводят к последующему полному разрушению пленочного образца в области воздействия на более поздних (наносекундных) временах [19].
В настоящей работе приведены результаты исследований откольных явлений при одноосном сжатии в пленочном образце ванадия толщиной 1.3 мкм при различных условиях фокусировки лазерного излучения. При острой фокусировке фемтосекундного импульса в пятно диаметром 8.6 мкм по уровню е–1 вблизи порога разрушения впервые удалось исследовать остаточную морфологию откола на тыльной поверхности сохраненного пленочного образца ванадия методами сканирующей электронной (СЭМ) и атомно-силовой (АСМ) микроскопии. Измеренная методом АСМ глубина откольного кратера при этом хорошо согласуется с оценкой глубины откольного разрушения, полученной в результате анализа волновых профилей скорости, измеренных методом высокоскоростной интерферометрии в аналогичных условиях нагружения.
Эксперимент
Исследования проводились на пленочном образце ванадия толщиной 1320 ± 20 нм, нанесенного на тонкую подложку (покровное стекло толщиной 180 мкм) методом магнетронного напыления ванадия чистотой 99.8%. Перед напылением пленок установка откачивалась до 10–5 Торр. Образец представлял собой поликристаллическую пленку с характерными размерами зерен около 100 нм. Толщина пленки ванадия измерялась с помощью атомно-силового микроскопа.
Методом высокоскоростной спектральной интерферометрии в режиме непрерывной регистрации во временном интервале 0–200 пс были получены данные о динамике движения тыльной поверхности образца вблизи порога откола при лазерном ударно-волновом нагружении. Источником ФЛИ являлась титан-сапфировая лазерная система Coherent с длиной волны λ1 = 800 нм. Нагревающее лазерное излучение фокусировалось в пятно с гауссовым распределением радиусом r0x = 25 мкм по уровню е–1 и длительностью импульса τ1 = 700 фс. Диагностическая часть представляла собой интерферометр Майкельсона с переносом изображения поверхности мишени на входную щель дифракционного спектрометра и последующей цифровой регистрацией сигнала в виде двумерных интерферограмм с помощью ПЗС-камеры. Лазерный нагрев мишени осуществлялся со стороны стеклянной подложки, диагностика ударно-волновых процессов проводилась на тыльной поверхности. Длительность одновременно регистрируемого временного интервала была ограничена длительностью чирпированного импульса, которая составляла 300 пс. Временное разрешение определялось шириной входной щели и дисперсией спектрометра и не превышало 1 пс для используемой решетки 600 штрих/мм.
При измерениях записывались три интерферограммы: начальная (невозмущенной поверхности до воздействия), временная (во время воздействия) и финальная (спустя несколько секунд после воздействия). Результатом обработки интерферограмм с помощью фурье-анализа были двумерные распределения изменения фазы отраженного сигнала ∆ϕ(x, t), описывающие динамику пространственно-неоднородного движения тыльной свободной поверхности пленочного образца. Одна ось распределения соответствовала координате, вторая – времени. Применяемый алгоритм фурье-анализа двумерных интерферограмм [20] с процедурой нормировки на начальное распределение фазы обеспечивает погрешность измерения фазы диагностического импульса на уровне δϕ = 0.01 рад, что соответствует погрешности определения величины смещения поверхности δz ≤ 1–2 нм. Подробное описание экспериментальной схемы и методики обработки приведено в работах [17, 18, 20].
Также для изучения морфологии откольного разрушения ванадия была использована экспериментальная схема с острой фокусировкой нагревающего излучения [21]. В качестве основного элемента схемы использовался инвертированный оптический микроскоп Olympus IX-71. Источником ФЛИ являлся иттербиевый волоконный лазер ТЕТА (Авеста, Россия) со следующими параметрами импульсов: длительность τ2 = 350 фс, длина волны λ2 = 1028 нм, энергия E = 100 мкДж. Для плавной регулировки энергии лазерного импульса в схеме применялся поляризационный ослабитель, состоящий из фазовой пластины толщиной λ/2 и призмы Глана. Часть излучения отражалась от поверхности плоскопараллельной тонкой стеклянной пластины и попадала в узел контроля энергии, представляющего собой фотодиод, подключенный к цифровому осциллографу. Калибровка фотодиода осуществлялась с помощью измерителя мощности Ophir NOVA II.
Лазерное излучение вводилось в оптический тракт через порт микроскопа с помощью диэлектрического зеркала. Излучение лазерного пучка фокусировалось на поверхность образца через стеклянную подложку в пятно с гауссовым распределением с радиусом 4.3 мкм по уровню е–1 с помощью микрообъектива Olympus 20х с числовой апертурой NA = 0.5, через который также осуществлялась подсветка мишени лампой. Визуальный контроль за состоянием поверхности проводился с помощью ПЗС-камеры. Лазерное излучение падало по нормали к поверхности мишени. Мишень устанавливалась на трехкоординатном трансляторе с шагом перемещения 1.25 мкм по оси Z и 2.5 мкм по осям X, Y.
Исследования морфологии и рельефа тыльной поверхности экспериментального образца проводились с помощью сканирующего электронного (модель MIRA3, TESCAN) и атомно-силового микроскопов (модель MultiMode V, Veeco).
Результаты и их обсуждение
На рис. 1 приведено пространственно-временное распределение изменения фазы зондирующего импульса, полученное после фурье-анализа интерферограмм, при плотности энергии нагревающего импульса в центре пятна F0 = 1.6 Дж/см2. Пунктирной линией на рис. 1 показано выбранное сечение вблизи порога откола при F = 0.72 Дж/см2.
Рис. 1. Пространственно-временное распределение изменения фазы зондирующего импульса ∆ϕ(x, t) при выходе ударной волны на свободную тыльную поверхность образца; калибровочный коэффициент для оси времени – 0.164 пс/пкс, для пространственной оси – 0.3 мкм/пкс.
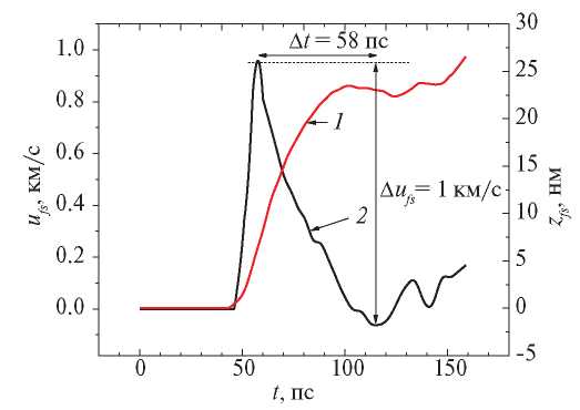
На рис. 2 представлена эволюция скорости движения тыльной поверхности пленки ванадия ufs(t) вблизи порога откола при плотности энергии F = 0.72 Дж/см2. Смещение поверхности zfs(t) связано с изменением фазы ∆ϕ(t) соотношением zfs(t) = ∆ϕ(t)λ/4π. Профиль скорости ufs(t) получен в результате дифференцирования экспериментальной зависимости смещения zfs(t). Нулевой момент времени на графике выбран произвольно.
Рис. 2. Эволюция смещения (1) и скорости движения (2) свободной поверхности пленочного образца ванадия толщиной 1320 нм вблизи порога откола при плотности энергии нагревающего импульса F = 0.72 Дж/см2.
Результаты измерений показали отсутствие расщепления ударной волны на упругую и пластическую при данной длине распространения и величине напряжения сжатия σ. Оценка напряжения сжатия для параметров приведенного на рис. 2 эксперимента и данных измерений ударной адиабаты ванадия [10] дает значение σ = ρ0US up ≈ 20 ГПа (здесь ρ0 = 6 г/см3 – начальная плотность [22], US – скорость УВ, up = ufs /2 – массовая скорость). Как видно, значение σ более чем в 2 раза меньше динамического предела упругости ванадия, измеренного в [10] при аналогичной длине распространения УВ. Поэтому в рассматриваемом случае ультракороткая волна сжатия в ванадии является упругой. Профиль скорости свободной поверхности ufs(t) имеет характерную треугольную форму с длительностью по основанию примерно 50 пс. Время нарастания ufs(t) составляет 12 пс. На графике наблюдается повторное увеличение скорости (откольный импульс) спустя 70 пс после момента выхода УВ на тыльную поверхность. При меньших значениях F откольный импульс не регистрировался.
Оценка непосредственно перед разрушением величины растягивающего напряжения в образце в ударно-волновых экспериментах осуществляется по декременту скорости ∆ufs между ее максимальным и минимальным значениями (перед откольным импульсом) [16]. Для импульсов нагрузки треугольной формы с учетом возможных упругопластических эффектов при отколе используется формула в виде [23, 24]
(1)
где cl = 6.07 км/с, cb = 4.56 км/с – продольная и объемная скорости звука в ванадии [10].
Под скоростью деформирования в ударно-волновых экспериментах понимается скорость расширения вещества в волне разряжения, она определяется соотношением [16]
(2)
где ∆t = tmax – tmin – разность между временами достижения минимального и максимального значений скорости.
Из рис. 2 следует, что для F = 0.72 Дж/см2 при ∆ufs = 1 км/с и интервала времени ∆t ≈ 58 пс, согласно (1) и (2), откольная прочность составляет σspall = 15.6 ± 2 ГПа при скорости деформирования ≈ 1.4 × 109 с–1.
Откольное разрушение, согласно формуле Lspall ≈ cl ∆t/2 [25], происходит на глубине Lspall ≈ 180 нм от тыльной поверхности образца.
В геометрии острой фокусировки нагревающего излучения на тыльной стороне пленки был получен откольный кратер. На рис. 3 представлены СЭМ- и АСМ-изображения свободной поверхности пленочного образца ванадия вблизи порога разрушения после воздействия ФЛИ с плотностью энергии в центре пятна F0 = 0.76 Дж/ см2. На рис. 4 показан профиль сечения кратера, полученного с помощью АСМ (рис. 3б), построенного по центру области взаимодействия.
Рис. 3. Изображения тыльной поверхности пленочного образца ванадия толщиной 1320 нм, полученные с помощью СЭМ (а) и АСМ (б) после лазерного воздействия при плотности энергии нагревающего импульса F0 = 0.76 Дж/см2 в геометрии острой фокусировки.
Рис. 4. Профиль кратера на тыльной поверхности образца ванадия в эксперименте с острой фокусировкой лазерного импульса при F0 = 0.76 Дж/см2.
Из рис. 3 и 4 следует, что диаметр откольного разрушения составляет примерно 3 мкм при глубине около 170–190 нм. На поверхности вне кратера наблюдаются отдельные дефекты размером до 500 нм, обусловленные особенностями процесса напыления. Также вероятно, что наряду с дефектами на поверхности после воздействия могли осаждаться продукты откольного разрушения. Однако вопрос исследования продуктов разрушения выходит за рамки настоящей работы и детально не изучен.
Поверхность образца в области воздействия вспученная. Высота выпуклости достигает 200 нм, а ее диаметр, равный примерно 15 мкм, коррелирует с размером фокального пятна. На поверхности видны радиальные трещины. Очевидно, что, наряду с тыльным наноотколом под действием УВ, также имела место деформация образца, по-видимому, являющаяся следствием отслоения пленки от подложки в области воздействия.
С учетом наличия выпуклой деформации поверхности образца можно считать, что поверхность откольного разрушения близка к плоской. Выраженная зернистая структура дна кратера с размером зерна порядка 50–100 нм (рис. 3а) свидетельствует о том, что откол нанослоя в пленке ванадия происходил в твердом состоянии. По данным АСМ-измерений, шероховатость (rms) исходной тыльной поверхности образца равнялась 4 нм, в то время как шероховатость (rms) поверхности внутри кратера составляла 12 нм, т.е. механизм откола являлся диффузным с одновременной активизацией многочисленных очагов разрушения, приводящих к образованию кратера с наноразмерной шероховатостью его поверхности.
Важно отметить, что глубина откольного кратера по данным АСМ-измерений хорошо коррелирует с результатом оценки глубины откольного разрушения по данным измерений волнового профиля скорости свободной поверхности.
Заключение
В настоящей работе проведено исследование временной динамики и морфологии откола нанослоя на тыльной стороне пленочного образца ванадия толщиной 1320 нм в пикосекундном диапазоне ударно-волнового нагружения. Нагружение осуществлялось лазерными импульсами ближнего инфракрасного диапазона фемтосекундной длительности при нагреве образца через стеклянную подложку при различной фокусировке излучения. При острой фокусировке лазерного излучения в пятно радиусом 4.3 мкм вблизи порога разрушения впервые удалось исследовать морфологию сохранившегося на пленочном образце ванадия наноразмерного откольного кратера. Измеренные методом АСМ глубина кратера и шероховатость его дна составили 170–190 нм и 12 нм соответственно. Выраженная зернистая структура дна кратера по данным СЭМ-исследований свидетельствует о твердотельном характере откольного разрушения.
Интерферометрическим методом непрерывной регистрации с пикосекундным разрешением были исследованы параметры применяемых ультракоротких импульсов упругого сжатия вблизи порога разрушения. По данным измерений волновых профилей скорости свободной поверхности, нагружение осуществлялось импульсами треугольной формы с длительностью порядка 50 пс. Измеренный порог разрушения составил 16 ГПа при скорости деформирования 1.4 × 109 с–1. Оцененная по времени выхода откольного импульса глубина возникновения разрушения составила 180 нм, что совпадает с данными АСМ-измерений глубины кратера. Отсюда следует, что оценка глубины возникновения откольного разрушения в микронных металлических пленках может быть проведена с помощью соотношений, полученных для макроскопических образцов.
Результаты настоящей работы могут представлять интерес для изучения воздействия сверхкоротких лазерных импульсов на пленочные материалы, а также для развития методов молекулярно-динамического моделирования высокоскоростного разрушения металлов.
Данная работа выполнена при финансовой поддержке Министерства науки и высшего образования РФ (соглашение с ФГБУН ОИВТ РАН № 075-00270-24-00).
Исследование проводилось на оборудовании ЦКП «Лазерный фемтосекундный комплекс» ОИВТ РАН.
Об авторах
П. С. Комаров
ФГБУН Объединенный институт высоких температур РАН (ОИВТ РАН)
Email: struleva.evgenia@yandex.ru
Россия, г. Москва
С. А. Ромашевский
ФГБУН Объединенный институт высоких температур РАН (ОИВТ РАН)
Email: struleva.evgenia@yandex.ru
Россия, г. Москва
Е. В. Струлева
ФГБУН Объединенный институт высоких температур РАН (ОИВТ РАН)
Автор, ответственный за переписку.
Email: struleva.evgenia@yandex.ru
Россия, г. Москва
С. И. Ашитков
ФГБУН Объединенный институт высоких температур РАН (ОИВТ РАН)
Email: struleva.evgenia@yandex.ru
Россия, г. Москва
Список литературы
- Семенов А.Ю., Абросимов С.А., Стучебрюхов И.А., Хищенко К.В. Изучение динамики волновых процессов сжатия и расширения в палладии при пикосекундном лазерном воздействии // ТВТ. 2023. Т. 61. № 4. С. 542.
- Хищенко К.В. Уравнение состояния алюминия при высоких давлениях // ТВТ. 2023. Т. 61. № 3. С. 477.
- Хищенко К.В. Уравнение состояния циркония при высоких давлениях // ТВТ. 2023. Т. 61. № 5. С. 783.
- Crowhurst J.C., Reed B.W., Armstrong M.R. et al. The Phase Transition in Iron at Strain Rates up to ~10 9 s –1 // J. Appl. Phys. 2014. V. 115. № 11. P. 113506.
- Мурзов С.А., Ашитков С.И., Струлева Е.В., Комаров П.С., Хохлов В.А., Жаховский В.В., Иногамов Н.А. Упругопластические и полиморфные превращения в пленках железа при нагрузке ультракороткими лазерными ударными волнами // ЖЭТФ. 2022. T. 161. № 3. C. 315.
- Whitley V.H., McGrane S.D., Eakins D.E. et al. The Elastic-plastic Response of Aluminum Films to Ultrafast Laser-Generated Shocks // Appl. Phys. 2011. V. 109. № 1. P. 013505.
- Crowhurst J.C., Armstrong M.R., Knight K.B. et al. Invariance of the Dissipative Action at Ultrahigh Strain Rates above the Strong Shock Threshold // Phys. Rev. Lett. 2011. V. 107. P. 144302.
- Demaske B.J., Zhakhovsky V.V., Inogamov N.A., Oleynik I.I. Ultrashort Shock Waves in Nickel Induced by Femtosecond Laser Pulses // Phys. Rev. B. 2013. V. 87. № 5. P. 054109.
- Абросимов С.А., Бажулин А.П., Воронов В.В., Гераськин А.А., Красюк И.К., Пашинин П.П., Семенов А.Ю., Стучебрюхов И.А., Хищенко К.В., Фортов В.Е. Особенности поведения вещества в области отрицательных давлений, создаваемых действием лазерного импульса пикосекундной длительности // Квантовая электроника. 2013. Т. 43. № 3. С. 246.
- Ашитков С.И., Комаров П.С., Струлева Е.В., Агранат М.Б., Каннель Г.И. Механические и оптические свойства ванадия под действием ударных нагрузок пикосекундного диапазона // Письма в ЖЭТФ. 2015. Т. 101. № 4. С. 294.
- Беликов Р.С., Красюк И.К., Ринеккер Т., Семенов А.Ю., Розмей О.Н., Стучебрюхов И.А., Томут М., Хищенко К.В., Шенляйн А. Отрицательные давления и откол в мишенях из графита при нано- и пикосекундном лазерном воздействии // Квантовая электроника. 2015. Т. 45. № 5. С. 421.
- Канель Г.И., Гаркушин Г.В., Савиных А.С., Разоренов С.В., Атрошенко С.А. Высокоскоростная деформация и разрушение стали 15Х2НМФА под действием ударной нагрузки при нормальной и повышенной температурах // ЖТФ. 2020. Т. 90. № 3. С. 441.
- Канель Г.И., Гаркушин Г.В., Савиных А.С., Разоренов С.В., Атрошенко С.А. Исследование скоростных зависимостей напряжения пластического течения и разрушения стали 09Г2СА-А при нормальной и повышенной температурах // ЖТФ. 2021. Т. 91. № 11. С. 1698.
- Струлева Е.В., Комаров П.С., Евлашин С.А., Ашитков С.И. Поведение магниевого сплава при высокоскоростной деформации под действием ударно-волновой нагрузки // ТВТ. 20 22. Т. 60. № 5. С. 793.
- Ашитков С.И., Струлева Е.В., Комаров П.С., Евлашин С.А. Ударное сжатие молибдена при воздействии ультракороткими лазерными импульсами // ТВТ. 2023. Т. 61. № 5. С. 790.
- Канель Г.И., Фортов В.Е., Разоренов С.В. Ударные волны в физике конденсированного состояния // УФН. 2007. Т. 177. № 8. С. 809.
- Струлева Е.В., Комаров П.С., Ашитков С.И. Интерферометрическая диагностика нанодеформаций поверхности мишени в пикосекундном диапазоне при импульсном лазерном воздействии // Вестник ОИВТ. 2018. T. 1. № 1. С. 130.
- Ashitkov S.I., Komarov P.S., Romashevskiy S.A., Struleva E.V., Evlashin S.A. Destruction of a Magnesium Alloy Film in the Condensed State by an Ultrashort Laser-Driven Shock Wave // Phys. Fluids. 2023. V. 35. P. 107107.
- Domke M., Rapp S., Schmidt M., Huber H.P. Ultra-Fast Movies of Thin-Film Laser Ablation // Appl. Phys. A. 2012. V. 109. № 2. P. 409.
- Temnov V.V., Sokolovski-Tinten K., Zhou P., von der Linde D. Ultrafast Imaging Interferometry at Femtosecond Laser-Excited Surfaces // J. Opt. Soc. Am. B. 2006. V. 23. № 9. P. 1954.
- Romashevskiy S.A., Ashitkov S.I., Ovchinnikov A.V., Kondratenko P.S., Agranat M.B. Formation of Periodic Mesoscale Structures Arranged in a Circular Symmetry at the Silicon Surface Exposed to Radiation of a Single Femtosecond Laser Pulse // Appl. Surf. Sci. 2016. V. 374. P. 12.
- Физические величины. Спр. / Под ред. Григорьева И.С., Мейлихова Е.З. М.: Энергоатомиздат, 1991.
- Kanel G.I. Spall Fracture: Methodological Aspects, Mechanisms, and Governing Factors // Int. J. Fract. 2010. V. 163. P. 173.
- Степанов Г.В. Откольное разрушение металлов плоскими упругопластическими волнами нагрузки // Проблемы прочности. 1976. № 8. С. 66.
- Канель Г.И. Искажение волновых профилей при отколе в упругопластическом теле // ПМТФ. 2001. Т. 42. № 2. С. 194.
Дополнительные файлы







