Влияние ионно-звуковых солитонов на функции распределения по энергиям для холодных ионов в двухкомпонентной плазме
- Авторы: Трухачев Ф.М.1, Васильев М.М.1, Петров О.Ф.1, Могилевский М.М.2, Чугунин Д.В.2
-
Учреждения:
- Объединенный институт высоких температур РАН
- Институт космических исследований РАН
- Выпуск: Том 62, № 5 (2024)
- Страницы: 661–671
- Раздел: Исследования плазмы
- URL: https://journals.rcsi.science/0040-3644/article/view/280925
- DOI: https://doi.org/10.31857/S0040364424050038
- ID: 280925
Цитировать
Полный текст
Аннотация
В рамках одномерной двухкомпонентной МГД-модели плазмы с горячими электронами и холодными ионами получено аналитическое выражение, описывающее функции распределения ионов по энергиям, возмущенные ионно-звуковыми солитонами. В расчетах использовалось как усреднение по ансамблю ионов, так и усреднение по времени для одного иона. Показано, что ионно-звуковые солитоны сильно влияют на функцию распределения ионов, отклоняя ее от начального равновесного состояния. При этом после прохождения солитона функция распределения возвращается в первоначальное состояние. С использованием уравнения Кортевега–де Вриза получена явная формула для описания возмущенной функции распределения, которую можно применять на практике. Рассмотрена практически важная ситуация распространения большого ансамбля солитонов разной амплитуды. Детально промоделированы случаи малого и большого временного разрешения при измерении функций распределения. Проведено сравнение полученных теоретических результатов с известными экспериментальными данными.
Полный текст
Введение
Исследование неравновесных физических систем является актуальной проблемой для многих задач физической химии [1, 2], физики активных броуновских частиц [3–5], газовых разрядов [6–8], нелинейных плазменных волн [9–16] и др. Остановимся на последней проблеме подробнее. Влияние плазменных волн на функции распределения заряженных частиц представляет интересную физическую задачу [9–16], которая имеет как прикладное, так и фундаментальное значения. Главной целью настоящей работы является теоретический анализ возмущенных ионно-звуковыми солитонами функций распределения по энергиям ионов плазмы. Эксперименты, проведенные в магнитосфере Земли, свидетельствуют о неравновесности плазменных функций распределения в окрестности уединенных волн [17–27]. Часто нелинейные электростатические волны наблюдались в плазме, содержащей пучки заряженных частиц, которые, по-видимому, являются источником энергии для развития неустойчивостей. Важно отметить, что уединенные волны в космической плазме наблюдались как в виде изолированных структур, так и в виде больших ансамблей [28]. В работах [29–33] теоретически доказано, что солитоны акустического типа осуществляют перенос заряженных частиц на расстояние в несколько радиусов Дебая в направлении своего движения (для солитонов сжатия). В случае ансамбля солитонов перенос заряженных частиц может интерпретироваться как поток частиц [29–31]. Функции распределения по скоростям для плазмы, содержащей поток (пучок) заряженных частиц, должны иметь несимметричную относительно нуля форму [34]. Расчет возмущенных ионно-звуковыми солитонами функций распределения по скоростям для ионов в холодной плазме представлен в работах [32, 35–37]. В частности, показано, что функции распределения ионов по скоростям принимают форму, сходную с функцией распределения для плазмы, содержащей холодный ионных пучок. Другими словами, в областях плазмы, населенной ионно-звуковыми солитонами, функция распределения имеет два максимума (см. рис. 3а из [36]). Задача о влиянии пылеакустических солитонов на функции распределения по энергиям заряженных частиц обсуждалась в работе [38]. В данной работе аналогичная задача решена в отношении ионно-звуковых солитонов, а именно, найдены возмущенные функции распределения по энергиям для случая холодной плазмы. Рассмотрены случаи движения как одного, так и группы солитонов.
Теоретическая модель
Для исследования понадобятся профили ионно-звукового солитона, которые будут найдены из классических уравнений гидродинамики. Рассмотрим двухкомпонентную модель бесстолкновительной плазмы, содержащую холодные однозарядные ионы и горячие электроны с начальными концентрациями ni0 = ne0 = n0. Ионная динамика описана с помощью уравнений движения и непрерывности, для описания состояния электронов выбрано распределение Больцмана, электрическое поле волны описано уравнением Пуассона. В нормированном виде имеем [36]
, (1)
, (2)
Ne = exp(Φ), (3)
. (4)
Здесь Ni, Ne – концентрации ионов и электронов соответственно с нормировкой на невозмущенную концентрацию n0; υi – скорость ионов, нормированная на скорость ионного звука , Te – электронная температура, mi – масса иона; Φ = eϕ/Te – нормированный потенциал электрического поля волны, e – абсолютная величина заряда электрона. Время t нормировано на величину ωi–1, где – ионная плазменная частота; пространственная координата нормирована на радиус Дебая . В рассматриваемой модели Ti = 0, следовательно, необходимое условие существования ионно-звуковых волн (Te >> Ti) выполняется автоматически. Солитонные решения системы (1)–(4) можно найти несколькими способами. Интерес представляют только стационарные решения, описывающие волны, которые прошли все стадии эволюции и движутся с постоянной скоростью, амплитудой и формой. Для солитонов малой амплитуды можно воспользоваться уравнением Кортевега–де Вриза (КдВ) [37, 39]
, (5)
где η = ∈3/2X, ζ = ∈1/2(X – t). Как и в оригинальной работе [39], уравнение (5) записано для ионной скорости υi. Однако оно в неизменном виде может быть записано для всех неизвестных величин ne, ni, Φ. Солитонное решение (5) для потенциала Φ запишем в виде [37]
, (6)
где – амплитуда и ширина солитона, M = V/Cs – число Маха, V – скорость солитона в лабораторной системе координат.
Для анализа свойств солитонов произвольной амплитуды используется метод псевдопотенциала Сагдеева [40]. В этом случае, переходя в движущуюся вместе с волной систему координат и вводя новую переменную ξ = x – Mt, можно выразить нормированную ионную концентрацию в простом виде [30, 37, 40]. Далее система уравнений (1)–(4) сводится к единственному уравнению Пуассона [37]
. (7)
Уравнение (7) является обычным дифференциальным уравнением, оно описывает профиль потенциала солитона. Также оно допускает однократное интегрирование по Φ с учетом граничного условия dΦ/dξ = 0 при ξ = 0, в результате чего можно получить явную форму псевдопотенциала Сагдеева [40]
(8)
Решение (8) соответствует профилю потенциала ионно-звукового солитона Φ(ξ). Положительные корни (8) представляют амплитуду солитонов. Для солитонов произвольной амплитуды уравнение (8) требует численного решения (например, методом Рунге–Кутты). Также можно напрямую решать уравнение (7). Свойства солитонных решений подробно описаны в работах [30, 40]. В частности, в рамках рассматриваемой модели солитоны являются сверхзвуковыми (1 < M < 1.6), кроме того, с ростом скорости растет амплитуда солитонов и уменьшается их ширина. На рис. 1 представлены профили потенциала Φ. Результаты получены для разных значений М численным решением уравнения (7) и из приближенной формулы (6).
Рис. 1. Профили ионно-звукового солитона для значений числа Маха М = 1.05 (а) и 1.2 (б): штрихпунктирная кривая – метод КдВ (6), сплошная – метод псевдопотенциала (7).
Из рис. 1 видно, что уравнение КдВ хорошо описывает профиль потенциала ионно-звукового солитона для не очень больших амплитуд. Имея все необходимые данные, перейдем к анализу функций распределения по энергиям для ионов.
Функция распределения по энергиям
Будем искать распределение по энергиям для частиц в лабораторной (неподвижной) системе координат. В общем случае, задача о влиянии пламенных волн на функции распределения заряженных частиц решается в рамках кинетической теории [35]. В простейшем случае холодных ионов задача о движении частиц в электрическом поле солитонов из стохастической вырождается в детерминированную. Действительно начальная скорость холодных ионов равна нулю. Их начальное максвеловское распределение по компонентам скорости вырождается в δ-функцию Дирака. Решаемая задача представлена на рис. 2а. Будем считать, что в невозмущенном состоянии ионы равномерно распределены в пространстве (вдоль оси x в одномерном случае). В качестве возмущающего фактора выступает ионно-звуковой солитон. Если параметры возмущения известны, то динамические параметры всех ионов рассматриваемого ансамбля в любой момент времени можно точно определить (с помощью второго закона Ньютона). Следовательно, указанная задача является детерминированной. Стоит отметить, что для детерминированных величин формально можно найти некоторые статистические параметры (среднее значение, дисперсию, плотность вероятности и другие) [41]. В поставленной задаче представляет интерес функция распределения ионов ансамбля по кинетической энергии f(Wi), которую можно определить по известной формуле [34]
, (9)
где ∆N – количество ионов с кинетической энергией в интервале от Wi до Wi + ∆Wi, N – полное количество ионов в ансамбле. Вслед за [32, 36] cделаем ряд предположений. Во-первых, в используемой модели холодной плазмы ионы равномерно распределены в пространстве и имеют нулевые начальные скорости υi = 0 и энергии Wi = 0. Таким образом, в начальный момент времени положение ионов в фазовом пространстве отличается только положением в пространстве координат (на оси x). Во-вторых, в отсутствие возмущения распределение ионов по энергиям можно описать δ-функцией Дирака (предельный случай распределения Максвелла при нулевой ионной температуре). И наконец, в-третьих, солитоны возмущают скорость ионов только в своей окрестности (при этом скорость ионов принимает только положительные значения). Ионы при этом перемещаются на несколько радиусов Дебая в направлении движения волны. Движение ионов приводит к генерации ионных токов импульсного характера с постоянной составляющей [30] и к возмущению функции распределения по компонентам скоростей в окрестности солитона [35–38].
Рис. 2. Фазы процесса взаимодействия солитона с ансамблем ионов (а); (б)–(г) – кинетическая энергия ионов ансамбля в моменты времени t = 0, 50 и 100 соответственно, черные и белые точки соответствуют темной и светлой области и обозначают принадлежность к соответствующим интервалам ∆Wi; (д)–(ж) – дискретная функция распределения ионов ансамбля по энергиям в соответствии с (9).
Сначала рассмотрим принцип расчета функции распределения по энергиям на примере малого ансамбля ионов, содержащего N ионов фоновой плазмы. Из рис. 2а видно, что ионы равномерно расположены на прямой линии вдоль оси x с межчастичным расстоянием ∆x (ситуация наглядно представлена на рис. 2 в работе [36]). Будем считать, что в начальный момент времени солитон находится слева от ансамбля ионов, при этом он не возмущает их состояние. Положим, что волна движется слева направо. Через некоторое время солитон достигнет ионов ансамбля и начинает влиять на их динамику. Представляет интерес функция fN(Wi) именно в этот момент. Движение однозарядных ионов в лабораторной системе координат найдем из второго закона Ньютона в нормированном виде [32, 36]:
, (10)
где E(x,t) = –∂Φ/∂x – электрическое поле солитона. Функцию Φ(x,t) можно получить в явном виде, подставив ξ = x – Mt в (6), или численно из (7) или (8). Данная задача является несамосогласованной. Однако рассматриваемый ансамбль ионов представляет часть полной ионной фракции, участвующей в самосогласованном волновом процессе. Иными словами, динамика выбранных ионов описывает движение всей ионной популяции. И чем больше ансамбль, тем более точным является описание (см. вставку к рис. 12а из [30]).
Уравнение (10) описывает движение всех ионов ансамбля. Отличаются лишь начальные условия, которые описывают положение ионов в начальный момент времени. Кроме того, как показано в работе [30], траектории всех ионов, взаимодействующих с солитоном, идентичны (отличия состоят в пространственно-временном сдвиге). По аналогии с [36] выберем следующие начальные условия: N = 15, υi(0) = dx/dt = 0 . Начальное положение ионов ансамбля зададим выражением
x1 = x0, x2(0) = x0 + ∆x, ...,
xN(0) = x0 + ∆x(N – 1),
где x0 = 30 – начальное положение первой частицы ансамбля, ∆x = 3 – межчастичное расстояние. Начальное положение солитона xS(0) = 0, а его скорость соответствует M = 1.05 (указанный профиль отображен на рис. 1а).
Для решения уравнения (10) применялся метод Рунге–Кутты 4-го порядка. Перечислим основные фазы процесса взаимодействия солитона с заданным ионным ансамблем (для наглядности см. рис. 2 в [36]): фаза (а) – начальное состояние исследуемой системы; фаза (б) – состояние, при котором солитон находится внутри ансамбля ионов (около центра); фаза (в) – состояние релаксации системы, при котором солитон покидает рассматриваемый ансамбль. Из решения уравнения (10) кроме функций x(t) можно легко рассчитать величины υi для ионов ансамбля в любой момент времени, на основе которых строилась функция распределения по скоростям в работах [32, 36]. Здесь понадобится величина кинетической энергии ионов ансамбля Wi = 0.5υ2i. Величины Wi для ионов рассматриваемого ионного ансамбля отображены на рис. 2б–2г для разных фаз процесса взаимодействия. За основу выбраны значения υi, представленные на вкладках к рис. 2а–2в из работы [36]. Соответствующие дискретные функции распределения по энергиям f(Wi) отображены на рис. 2д–2ж. Шкала энергий разбита на интервалы с шагом ∆Wi = 5×10–3. Указанные интервалы использовались для расчета дискретной функции распределения по энергиям f(Wi) по формуле (9).
Как видно из рис. 2б, в начальном состоянии (t = 0, фаза (а)), скорость и кинетическая энергия всех ионов равна нулю. Как указывалось выше, функция распределения в этом случае стремится к δ-функции Дирака. Аналогичная ситуация наблюдается после того, как солитон покидает ансамбль ионов (t = 100, фаза (в)). Отметим, что после прохождения солитона все ионы ансамбля сдвигаются вправо на расстояние ℓ ~ 3λD, при этом скорость и межчастичное расстояние ионов принимают начальные значения υi = 0, ∆x = 3 . В работах [30, 32, 33] механизм солитонного переноса ионов описан подробно.
Рассмотренные случаи являются тривиальными, в отличие от ситуации при t = 50 (фаза (б)), которая в работе [36] получила название активной фазы взаимодействия солитон–частицы. В этой фазе солитон целиком помещается в пределах ансамбля ионов (находится примерно в его центре). За счет взаимодействия с солитоном ионы ансамбля приходят в движение. Как показано в [36], скорость ионов ансамбля в этой фазе принимает неотрицательные значения υi ≥ 0. Соответствующие значения кинетической энергии ионного ансамбля приведены на рис. 2в. Очевидно, что распределение по кинетическим энергиям в этом случае не будет таким тривиальным, как в начальном (невозмущенном) состоянии. Соответствующую дискретную функцию распределения по энергиям легко найти по формуле (9). Для этого достаточно подсчитать количество частиц в каждом интервале скоростей [Wi, Wi + ∆Wi]. Для наглядности на рис. 2б–2г соседние интервалы Wi + ∆Wi показаны разным цветом, а ионы имеют цвета, соответствующие своему интервалу. Искомая дискретная функция распределения представлена на рис. 2е, откуда видно, что распределение ионов по кинетическим энергиям имеет форму с локальным максимумом в положительной области.
В работах [32, 37] для функции распределения по скоростям было найдено аналитическое выражение на основе эргодической гипотезы. Если система эргодична, ее статистические характеристики, найденные усреднением по ансамблю и усреднением по времени для одной частицы, должны совпадать. Функция распределения по скоростям, полученная методом усреднения по времени, имела обозначение ft(υi) (нижний индекс указывает на метод усреднения). Согласно [32], имеем
,
где τ – интервал времени, на котором измеряется функция распределения, он выполняет роль нормировки и имеет физический смысл временного разрешения измерительных приборов. Чтобы рассчитать величину dυi /dt, необходимо знать скорость пробного иона как функцию времени, т.е. υi(t). Эта скорость является параметром в Лагранжевом описании движения (нужно помнить, что лагранжева и эйлерова скорости могут отличаться). В работе [32] зависимость υi(t) была найдена в рамках метода одночастичного приближения. Ее также можно найти путем перехода от Эйлерова к Лагранжеву описанию движения. Действуя по аналогии с методикой [32], можно получить аналитическое выражение для функции распределения по энергиям ft(Wi). Существует и альтернативный метод ее поиска. А именно, зная функцию ft(υi) можно найти ft(Wi), воспользовавшись выражением [38]
ft(υi)dυi = ft(Wi)dWi. (11)
Учитывая, что Wi = υ2i /2 , имеем
. (12)
В формуле (12) необходимо знать зависимость Wi(t) для пробного иона. Для ее поиска воспользуемся уравнением (10) для одного из ионов ансамбля (например, первого при x0 = 30). Как и ранее, в качестве профиля Ф(x, t) используем численное решение уравнения (7). Теперь численное решение (10) дает зависимости x(t) и υi(t) и далее Wi(t) = 0.5υ2i(t).
Перейдем к построению графиков функций f(Wi), начнем с усреднения по ансамблю (9). Очевидно, что точность расчета fN(Wi) будет возрастать при увеличении количества частиц в ансамбле N, а также при уменьшении приращений ∆x, ∆Wi. На рис. 3 отображены возмущенные функции распределения по энергиям для фазы (б) при размере ансамбля N = 1000 и для разных значений числа Маха и, соответственно, амплитуды солитонов. При расчете были выбраны следующие параметры: ∆x = 0.04; ∆Wi = 10–3. Таким образом, ионы ансамбля равномерно распределялись по отрезку X = 40. Схема расчета совпадала со схемой расчета fN(Wi), представленной на рис. 2. А именно, уравнение (10) решалось численно N раз для всех ионов рассматриваемого ансамбля. Таким образом, получен массив из N дискретных зависимостей функции Wi(t). Далее фиксировался момент времени t, в котором солитон находился внутри ансамбля ионов (например, t = 50 в случае, представленном на рис. 2в). Как результат, получался одномерный массив (строка) размером N, содержащий кинетические энергии всех ионов ансамбля в зафиксированный момент времени. Массив обрабатывался простым алгоритмом, подсчитывающим полное число ионов в каждом из интервалов энергии [Wi; Wi + ∆Wi). По аналогии с работами [32, 36] использовался численный профиль электрического поля солитона, потому что формула (6) является приближенной.
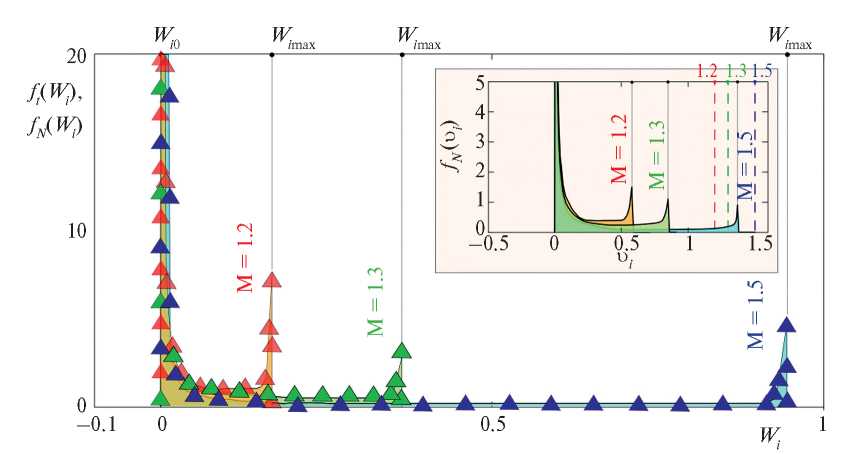
Рис. 3. Возмущенные функции распределения ионов по кинетическим энергиям для различных значений числа Маха M, полученные усреднением по ансамблю fN(Wi) (символы) по (9) и усреднением по времени ft(Wi) (сплошные кривые) по (11); параметры ансамбля: N = 103, ∆x = 0.04, ∆Wi = 4×10–3 для M = 1.2; на вставке – возмущенные функции распределения по скоростям fN(υi), полученные в соответствии с моделями [32, 36].
Для сравнения на вставке к рис. 3 отображены соответствующие функциям f(Wi) функции fN(υi), которые были рассчитаны по методике, представленной ранее в [32, 36]. Из рис. 3 видно, что возмущенная функция распределения по энергиям f(Wi) по форме похожа на функцию распределения по скоростям fN(υi). В частности, для заданного значения M она имеет два максимума. Первый расположен в окрестности Wi = 0, он определяется невозмущенными ионами ансамбля. В отсутствие солитонов этот максимум сохранится. Второй максимум появляется в положительной области Wi > 0, он определяется ионами, которые приобрели энергию при взаимодействии с солитоном. Стоит напомнить, что, после того как солитон покинет ансамбль, второй максимум исчезнет, поскольку возмущенные ионы находятся только в окрестности солитона. Поэтому если увеличить пространственную область X, которую занимает ансамбль ионов, то второй максимум не изменит своего положения, но уменьшится по высоте. Если солитон полностью помещается внутри ансамбля, то точное его положение не имеет особого значения, функция распределения будет соответствовать той, что представлена на рис. 3. Отметим, что максимумы функции fN(Wi) расположены дальше друг от друга по сравнению с функцией fN(υi), что объясняется соотношением Wi ~ υi2. Нормировка для fN(Wi) определяется формулой (9), таким образом, что ΣfN(Wi)∆Wi = 1.
Вернемся к усреднению по времени. На рис. 4 отображена искомая функции Wi(t) при разных M, необходимая для использования в уравнении (12). Поскольку профили Wi(t) являются симметричными, то достаточно использовать только их левую (или правую) часть в формуле (12). Для наглядности используемая область обозначена цветной заливкой. Такой выбор области профиля Wi(t) детально обоснован в работе [32]. Интервал времени τ выберем из следующих соображений: как указано выше, ширина ионного ансамбля при использовании формулы (9) составляла X = 40. Солитон пройдет указанную область за время τ = X/M. Таким образом, имеем τ = 33.3, 30.8 и 26.7 при M = 1.2, 1.3 и 1.5 соответственно. При таком выборе функции fN(Wi) и ft(Wi) должны совпадать. Это совпадение подтверждается на рис. 3, где зависимости ft(Wi) показаны сплошными кривыми (с цветной заливкой), а зависимости fN(Wi) – символами. Стоит отметить, что формула (12) впервые получена в работе [38] при анализе свойств пылеакустических солитонов.
Рис. 4. Кинетическая энергия как функция времени для пробного иона, взаимодействующего с солитоном при разных значениях M.
Формула (12) является точной для солитонов произвольной амплитуды. Она ограничена необходимостью применения численных расчетов для поиска зависимости Wi(t). Найдем область применимости формулы (12). Как показано в работе [37], область определения функции ft(υi) описывается неравенством 0 < υi < M. Тогда учитывая, что Wi = υ2i /2, можно утверждать, что область определения функции ft(Wi) описывается схожим неравенством 0 < Wi < M2/2.
Для солитонов малой амплитуды можно получить полностью аналитическую формулу, удобную для практического применения. В работе [37] с использованием уравнения КдВ (справедливого для малых амплитуд) получена следующая формула для ft(υi):
.
Используя (11) и учитывая, что Wi = υ2i /2, легко найти
(13)
Формула (13) проста в применении, однако она ограничена значениями числа Маха 1 < М < 1.2. Отметим, что усреднение по ансамблю хоть и является более трудоемким, но в то же время оно наиболее универсально. В частности, оно позволяет моделировать случай теплой плазмы, а также случай движения группы солитонов разной амплитуды. Как показано в работе [32], если внутри ансамбля помещается несколько солитонов одновременно, отличный от нуля максимум функции распределения по скоростям размывается. Такая ситуация хорошо описывает реальные процессы в космической плазме, где часто наблюдаются большие группы уединенных волн [28, 42–44]. Именно такой случай рассмотрен далее.
Моделирование ансамбля ионно-звуковых солитонов
Для анализа движения группы солитонов воспользуемся методикой, описанной в работе [32]. В частности, будем считать, что группа состоит из Ns солитонов с нормальным распределением по скоростям и, следовательно, по амплитудам. В рассматриваемом случае взаимное расположение солитонов в группе будет изменяться с течением времени. Расстояние между солитонами зададим так, чтобы в момент измерения функции распределения они не сталкивались (учет солитонных столкновений является отдельной интересной задачей). Группу солитонов с использованием уравнения (6) зададим выражением
где x* = x – ∆SjR1, ∆S – межсолитонное расстояние, R1 – случайная величина со средним значением R10 = 0 и стандартным отклонением σR1 = 5. Величина R1 служит для хаотизации расстояний между солитонами. Параметры распределения для M: среднее значение M0 = 1.2, стандартное отклонение σM = 0.02. На рис. 5а отображена группа из 100 солитонов в фиксированный момент времени (t = 0).
Рис. 5. Моделирование группы из 100 солитонов разной амплитуды: (а) – потенциал и электрическое поле; (б) – возмущенная ионная функция распределения по скоростям в области плазмы, содержащей первые десять солитонов; (в) – соответствующая возмущенная ионная функция распределения по энергиям.
Представленные на рис. 5б, 5в функции распределения соответствуют случаю, когда временного разрешения приборов недостаточно для анализа свойств отдельных солитонов. А именно, функции распределения измерены за время, в течение которого прибор пересекли 10 солитонов. Функция fN(υi) рассчитана усреднением по ансамблю частиц, в соответствии с методикой, описанной в [32]. В то же время функция fN(Wi) рассчитана по подобной методике, подробно описанной в разделе 2 данной работы. Эта методика отображена на рис. 2. Ансамбль ионов в данном случае содержит 104 частиц, а внутри него помещается 10 солитонов разной амплитуды. Как видно, функция распределения остается несимметричной, но справа наблюдается несколько максимумов. В рассмотренном случае холодной плазмы эти максимумы довольно узкие. В модели плазмы с теплыми ионами ожидается, что все максимумы уширятся и смогут объединиться в один широкий максимум. Стоит отметить, что в рассматриваемом случае для моделирования ансамбля солитонов использовалось уравнение КдВ (6), которое хоть и является приближенным, но все же точнее описывает профиль потенциала солитона по сравнению с методом разложения в ряд псевдопотенциала Сагдеева, который использовался в работе [32] (сравнение методов описано в [37]).
Если измерительный прибор регистрирует длинную последовательность уединенных волн (сто солитонов, как показано на рис. 5а), то результаты, как правило, представляют в виде временной развертки (подобной спектрограммам), пример которой отображен на рис. 6б и 6в. Рис. 6б получен следующим образом: последовательно анализировались области пространства x ∈ [0,400), x ∈ [400,800), …, x ∈ [3600,4000). Далее рассчитывались функции fN(υi), fN(Wi) для каждого участка. Затем полученные результаты последовательно накладывались на график уровня на рис. 6б. Каждый отсчет на графике отображает функции распределения для области плазмы, содержащей 10 солитонов. Такая ситуация соответствует низкому временному разрешению приборов. Ситуация, соответствующая более высокому временному разрешению (в 10 раз), когда удается разрешить каждый солитон, представлена на рис. 6в. На рис. 6б, 6в ось абсцисс является временной, в то время как на рис. 5а, 5б – пространственной. Так сделано для наглядности, нормированные временная и пространственная шкалы почти совпадают при околозвуковой (M ~ 1) скорости солитонов.
Рис. 6. Моделирование группы из 100 солитонов: (a) – профили электрического поля; (б), (в) – функции распределения по скоростям и энергиям fN(υi), fN(Wi), рассчитанные для случаев низкого и высокого временного разрешения соответственно.
Обсуждение результатов
Рис. 6 наглядно демонстрирует то, что ионно-звуковые солитоны в значительной мере возмущают ионные функции распределения по скоростям и по энергиям. Действительно, в отсутствие нелинейных волн функции распределения отличны от нуля только при υi = 0, Wi = 0, что соответствует плазме с холодными равновесными ионами. В области, населенной солитонами, у функций fN(υi), fN(Wi) появляется выраженный максимум в положительной области, υi > 0, Wi > 0, (очевидно, что функция fN(Wi) определена только при Wi ≥ 0). По основным признакам возмущенные солитонами функции распределения сходны с функциями распределения для плазмы с ионным пучком. Такие функции распределения часто наблюдаются в околоземной плазме, населенной нелинейными электростатическими структурами (см. рисунки в работах [17–26, 28]). Интерпретация указанных экспериментальных результатов была разнообразной. Часто наблюдаемые результаты связывались с электронными дырами, которые в ряде случаев можно считать солитонами, содержащими захваченные частицы [28]. В работе [28] обсуждалась возможная связь между солитонами и электронными дырами. Настоящая работа позволяет установить новую взаимосвязь между наблюдаемыми в экспериментах функциями распределения и уединенными волнами в плазме. В частности, в некоторых случаях появление дополнительных максимумов на функциях распределения можно объяснить наличием ансамблей уединенных волн. Другими словами, сами солитоны могут быть причиной возмущения функции распределения, а не наоборот, как считалось ранее. Кроме того, пучки могут приводить к возбуждению уединенных волн в плазме, однако и сами уединенные волны могут влиять на функцию распределения. Например, на рис. 4c в [24] видно, что функция распределения имеет большой максимум в положительной области (υz > 0), который соответствует пучку заряженных частиц. Однако при этом в ядре функции распределения (при υz ≈ 200–400 км/с) видны дополнительные узкие максимумы, преимущественно в положительной области. Эти максимумы могут быть связаны с движением уединенных волн, на графике они расположены левее значения скорости уединенной волны (обозначена штриховой линией на рис. 4с в [24]). Именно такая ситуация соответствует результатам представленной теоретической модели (см. вставку на рис. 3).
Стоит отметить, что представленная теоретическая модель для описания свойств ионно-звуковых солитонов является наиболее простой из всех возможных. Многокомпонентные модели с учетом захваченных частиц и теплых ионов могут значительно лучше описать реальную плазму. Развитие таких моделей является перспективной задачей.
Заключение
В рамках простой двухкомпонентной модели плазмы получено выражение для описания ионных функций распределения по энергиям в областях плазмы, населенных ионно-звуковыми солитонами. Анализ проведен как усреднением по большому ансамблю частиц, так и для одной частицы усреднением по большому промежутку времени (в рамках эргодической гипотезы). Показано, что ионно-звуковые солитоны в значительной мере отклоняют ионную функцию распределения от начального, равновесного состояния. После того как волны покидают исследуемую область, функция распределения возвращается к первоначальному состоянию. С использованием уравнения КдВ получено простое выражение для описания возмущенной функции распределения, которое удобно применять на практике. Рассмотрен случай движения ансамбля солитонов разной амплитуды. Смоделированы ситуации малого и большого временного разрешения. Проведено сравнение теоретических результатов с известными экспериментами.
Об авторах
Ф. М. Трухачев
Объединенный институт высоких температур РАН
Автор, ответственный за переписку.
Email: ftru@mail.ru
Россия, г. Москва
М. М. Васильев
Объединенный институт высоких температур РАН
Email: ftru@mail.ru
Россия, г. Москва
О. Ф. Петров
Объединенный институт высоких температур РАН
Email: ftru@mail.ru
Россия, г. Москва
М. М. Могилевский
Институт космических исследований РАН
Email: ftru@mail.ru
Россия, г. Москва
Д. В. Чугунин
Институт космических исследований РАН
Email: ftru@mail.ru
Россия, г. Москва
Список литературы
- Schmidt L.D. The Engineering of Chemical Reactions. 2nd ed. N.Y.: Oxford University Press, 2005.
- Herbst E. Chemistry of Star-Formi ng Regions // J. Phys. Chem. A. 2005. V. 109. № 18. P. 4017.
- Васильев М.М., Алексеевская А.А., Косс К.Г., Васильева Е.В., Пе тров О.Ф. Самоорганизация кластеров активных броуновских частиц в коллоидной плазме при воздействии лазерного излучения // ТВТ. 2023. Т. 61. № 6. C. 825.
- Petrov O.F., Statsenko K.B., Vasiliev M.М. Active Brownian Motion of Strongly Coupled Charged Gains Driven by Laser Radiation in Plasma // Sci. Rep. 2022. V. 12. P. 8618.
- Petrov O.F., Boltnev R.E., Vasiliev M.M. Experimental Evolution of Active Brownian Grains Driven by Quantum Effects in Superfluid Helium // Sci. Rep. 2022. V. 12. P. 6085.
- Райзер Ю.П. Физика газового разряда. М.: Наука, 1987.
- Райзер Ю.П., Шнейдер М.Н., Яценко Н.А. Высокочастотный емкостной разряд. М.: Наука, 1995.
- Велихов Е.П., Ковалев А.С., Рахимов А.Т. Физические явления в газоразрядной плазме. М.: Наука, 1987.
- Landau L. On the Vibrations of the Electronic Plasma // J. Phys. (USSR). 1946. V. 10. P. 25.
- Wang C., Wu C., Yoon P. Heating of Ions by Alfv é n Waves Via Nonresonant Interactions // Phys. Rev. Lett. 2006. V. 96. P. 125001.
- Singh N., Khazanov G., Mukhter A. Electrostatic Wave Generation and Transverse Ion Acceleration by Alfv é nic Wave Components of Broadband Extremely Low Frequency Turbulence // J. Geophys. Res.: Space Phys. 2007. V.112. A06210. https://doi.org/10.1029/2006JA011933
- Alberti S. Plasma Heating with Millimetre Waves // Nat. Phys. 2007. V. 3. P. 376.
- Esarey E., Schroeder C., Leemans W. Physics of Laser-driven Plasma-based Electron Accelerators // Rev. Mod. Phys. 2009. V. 81. P. 1229.
- Dong C., Singh N. Ion Pseudoheating by Low-frequency Alfv é n Waves Revisited // Phys. Plasmas. 2013. V. 20. P. 012121.
- Escande D., Gondret V., Sattin F. Relevant Heating of the Quiet Solar Corona by Alfv é n Waves: a Result of Adiabaticity Breakdown // Sci. Rep. 2019. V. 9. P. 14274.
- Seo J., Na Y.-S., Hahm T. Ion Heating by Nonlinear Landau Damping of High-n Toroidal Alfv é n Eigenmodes in ITER // Nucl. Fusion. 2021. V. 61. P. 096022.
- Shutte N., Prutensky I., Pulinets S., Klos Z., Rothka-ehl H. The Charged-particle Fluxes at Auroral and Polar Latitudes and Related Low-frequency Auroral Kilo Met ric Radiation-type and High-frequency Wideband Emission // J. Geophys. Res. 1997. V. 102. P. 2105.
- Sauvaud J.A., Barthe H., Aoustin C., Thocaven J.J., Rouzaud J. et al. The Ion Experiment Onboard the Interball-Aurora Satellite; Initial Results on Velocity-dispersed Structures in the Cleft and Inside the Auroral Oval // Ann. Geophys. Europ. Geosci. Union. 1998. V. 16. № 9. P. 1056.
- Strangeway R.J., Kepko L., El phic R. C. et al. FAST Observations of VLF Waves in the Auroral Zone: Eviden ce of Very Low Plasma Densities // Geophys. Res. Lett. 1998. V. 25. P. 2065.
- Pottelette R., Ergun R.E., Treumann R.A., Berthornier M., Ca rlson C.W., McFadden J.P., Roth I. Modulated Electronsacoustic Waves in Auroral Density Cavities’ FAST Observations // Geophys. Res. Lett. 1 999. V. 26. № 16. Р. 2629.
- Backrud-Ivgren M., Stenberg G., Andr é M. et al. Cluster Observations and Theoretical Identification of Broadband Waves in the Auroral Region // Ann. Geophys. 2005. V. 23. № 12. P. 3739.
- De Keyser J., Maggiolo R., Echim M., Dandouras I. Wave Signatures and Electrostatic Phenomena Above Aurora: Cluster Observations and Mo-deling // J. Geophys. Res. 2011. V. 116. A06224. doi: 10.1029/2010JA016004.
- Kamaletdinov S.R., Hutchinson I.H., Vasko I.Y., Artem yev A.V., Lotekar A., Mozer F. Spacecraft Observations and Theoretical Under standing of Slow Electron Holes // Phys. Rev. Lett. 2021. V. 127. P. 165101.
- Wang R., Vasko I.Y., Artemyev A.V., Holley L.C., Kamaletdinov S.R., Lotekar A., Mozer F.S. Multisatellite Observations of Ion Holes in the Earth’s Plasma Sheet // Geophys. Res. Lett. 2022. V. 49. № 8. e2022GL097919.
- Kamaletdinov S.R., Vasko I.Y., Wang R., Artemyev A.V., Yushkov E.V., Mozer F.S. Slow Electron Holes in the Earth’s Bow Shock // Phys. Plasmas. 2022. V. 29. P. 092303.
- Dong Y., Yuan Z., Huang S., Xue Z., Yu X., Pollock C.J., Torbert R.B., Burch J.L. Observational Evidence of Accelerating Electron Holes and Their Effects on Passing Ions // Nat. Commun. 2023. V. 14. P. 7276.
- Shaikh Z.I., Vasko I.Y., Hutchinson I.H., Kamaletdinov S.R., Holmes J.C., Newman D.L., Mozer F.S. Slow Electron Holes in the Earth’s Magnetosheath // J. Geophys. Res.: Space Phys. 2024. V. 129. e2023JA032059.
- Lakhina G.S., Singh S., Rubia R., Devanandhan S. Electrostatic Solitary Structures in Space Plasmas: Soliton Perspective // Plasma. 2021. V. 4. P. 681.
- Трухачев Ф.М., Томов А.В. Электрические токи в плазме, индуцированные солитонами // Космические исследования. 2016. Т. 54. № 5. С. 377.
- Трухачев Ф.М., Васильев М.М., Петров О.Ф. Солитонные токи (обзор) // ТВТ. 2020. T. 58. № 4. C. 563.
- Dubinov A.E., Lebedeva X.I. Ambiplasma Separation into Matter and Antimatter by a Train of Baryon-acoustic Solitons in the Problem of the Baryon Asymmetry of the Universe // Chaos, Solitons Fractals. 2021. V. 152. P. 111391.
- Trukhachev F.M., Gerasimenko N.V., Vasiliev M.M., Petrov O.F. Unidirectional Transport of Ions and Perturbation of Plasma Distribution Functions by Ion-acoustic Solitons: Numerical Simulation and Analytical Solution // Phys. Plasmas. 2023. V. 30. № 2. P. 022113.
- Trukhachev F.M., Gerasimenko N.V., Vasiliev M.M., Petrov O.F. Matter Transport as Fundamental Property of Acoustic Solitons in Plasma // Phys. Plasmas. 2023. V. 30. P. 112302.
- Яковлев В.Ф. Курс физики. Теплота и молекулярная физика. М.: Просвещение, 1976. 320 с.
- Алешин И.М., Перегудов Д.В. Некоторые новые свойства сильно нелинейного ионного звука // Вестник Моск. ун-та. Сер. 3. Физика. Астрономия. 2000. № 1. С. 8.
- Трухачев Ф.М., Васильев М.М., Петров О.Ф. Влияние ионно-звуковых солитонов на функции распределения фоновой плазмы // Физика плазмы. 2022. T. 48. № 10. С. 967.
- Трухачев Ф.М., Герасименко Н.В., Васильев М.М., Петров О.Ф. Возмущенная ионно-звуковыми солитонами функция распределения по скоростям ионов плазмы: аналитический расчет на базе КдВ-уравнения // Физика плазмы. 2023. Т. 49. № 10. С. 975.
- Трухачев Ф.М., Герасименко Н.В., Васильев М.М., Петров О.Ф. Особенности функций распределения по скоростям и энергиям для пылевой фракции в присутствии пыле-акустического солитона // Вестник ОИВТ РАН. 2022. Т. 7. С.15.
- Washimi H., Taniuti T. Propagation of Ion-Acoustic Solitary Waves of Small Amplitude // Phys. Rev. Lett. 1966. V. 17. P. 996.
- Вопросы теории плазмы. Сб. ст. Вып. 4 / Под ред. Леонтовича М.А. М.: Атомиздат, 1967. 342 с.
- Теория вероятностей и математическая статистика. Учеб. пособ. / Под общ. ред. Трофимовой Е.А. Екатеринбург: Изд-во Урал. ун-та, 2018. 160 с.
- Pickett J.S., Kahler S.W., Chen L.-J. et.al. Solitary Waves Observed in the Auroral Zone: the Cluster Multi-spacecraft Perspective // Nonlinear Processes in Geophysics. 2004. V. 11. P. 183.
- Matsumoto H., Kojima H., Miyatake T., Omura Y., Okada M., Nagano I., Tsutsui M. Electrostatic Solitary Waves (ESW) in the Magnetotail: BEN Wave Forms Observed by GEOTAIL // Geophys. Res. Lett. 1994. V. 21. P. 2915.
- Bounds S., Pfaff R., Knowlton S., Mozer F., Temerin M., Kletzing C. Solitary Potential Structures Associated with Ion and Electron Beams near 1 R E // J. Geophys. Res. 1999. V. 104. P. 28709.
Дополнительные файлы









