Подавление волн неустойчивости в стохастически возбужденной турбулентной низкоскоростной струе с использованием упреждающего управления
- Authors: Моралев И.А.1, Котвицкий А.Я.1, Бычков О.П.2
-
Affiliations:
- Объединенный институт высоких температур РАН
- Центральный аэрогидродинамический институт им. Н.Е. Жуковского
- Issue: Vol 62, No 4 (2024)
- Pages: 632-636
- Section: Short Communications
- URL: https://journals.rcsi.science/0040-3644/article/view/276898
- DOI: https://doi.org/10.31857/S0040364424040161
- ID: 276898
Cite item
Full Text
Abstract
Впервые продемонстрирована возможность упреждающего управления когерентными структурами (волнами неустойчивости) в низкоскоростной стохастически возбужденной турбулентной струе при числах Маха M = 0.11 и Рейнольдса Re = 1.2 × 105. Управляющие возмущения вводились в струю с помощью плазменного актуатора на основе барьерного разряда, размещенного на кромке сопла. Возбуждение струи осуществлялось естественными широкополосными возмущениями. Сигнал для управления был получен с помощью термоанемометра, установленного внутри сопла. Получено снижение пульсаций скорости, ассоциированных с волнами неустойчивости, на 2 дБ по всей длине струи в области чисел Струхаля 0.2 ≤ Sh ≤ 2. Показано, что подавление возмущений приводит к некоторому уменьшению толщины сдвигового слоя на границе струи.
Full Text
По материалам XXIII Международного совещания по магнитоплазменной аэродинамике, Москва, 23–25 апреля 2024 г.
ВВЕДЕНИЕ
Волны неустойчивости (ВН) – это крупные когерентные структуры, возбуждаемые в турбулентной струе в результате развития неустойчивости Кельвина–Гельмгольца [1]. В затопленных дозвуковых струях волны неустойчивости сами по себе не приводят к существенному излучению звука. Однако в некоторых случаях ВН могут быть источниками акустического шума, регистрируемого в дальнем поле [2, 3], и, соответственно, вносить свой вклад в общий акустический шум самолета. Такая ситуация реализуется для сверхзвуковых струй [3] и сильно нагретых струй, когда фазовая скорость возмущений превышает скорость звука во внешнем потоке. Кроме того, в случае, когда в ближнем поле струи расположена рассеивающая поверхность (например, отклоненный закрылок [2]), происходит переизлучение энергии гидродинамических пульсаций из ближнего поля в акустические возмущения. Наличие когерентных структур на начальном участке дозвуковой струи делает ее чувствительной к различного рода периодическим воздействиям. Так, известно [4], что дополнительное возбуждение возмущений при числах Струхаля Sh = 0.3–0.6 способствует уменьшению дальнобойности струи за счет роста турбулентной вязкости. При этом высокочастотное возбуждение (Sh > 2) приводит к увеличению толщины сдвигового слоя струи на начальном участке, уменьшению инкрементов нарастания для длинноволновых возмущений и, как следствие, к росту длины потенциального участка струи [4, 5].
С точки зрения теории управления, сдвиговый слой турбулентной струи является устойчивой системой, обеспечивающей усиление модальных возмущений (волн неустойчивости), а также различных немодальных структур, таких как моды Орра и полосчатые структуры [6]. При этом в области потенциального участка струи (течение безвихревое) именно пакеты волн неустойчивости вносят основной вклад в гидродинамические пульсации давления на небольшом удалении от струи (в ближнем поле). В естественных условиях эти возмущения могут быть вызваны рассеянием нестационарных возмущений на кромке сопла либо возникать в результате распределенной восприимчивости сдвигового слоя к мелкомасштабным турбулентным пульсациям и акустическим волнам. В конвективно-неустойчивых системах возможно противофазное подавление волн с помощью возмущений, вводимых актуатором. Эффективность возбуждения искусственных волн неустойчивости максимальна, когда оно реализуется непосредственно у кромки сопла, в высокоскоростной части течения. Для плазменных актуаторов на основе барьерного разряда показано в [7, 8], что при достаточно высокой скорости истечения основной механизм воздействия связан с тепловыделением в разряде, которое приводит к колебаниям давления у кромки сопла и далее формирует в асимптотической области волну неустойчивости.
Противофазное управление волнами неустойчивости в турбулентной струе было реализовано в работах [2, 9]. Сигнал управления был получен с микрофона ближнего поля, в качестве актуатора использован высокочастотный диэлектрический барьерный разряд, организованный на кромке сопла. Показано, что существует возможность подавления как искусственных, так и естественных волн неустойчивости в узком диапазоне частот.
В описанных выше работах микрофон располагался по потоку от точки воздействия, т.е. данная система является системой с обратной связью (сигнал распространяется от выхода ко входу). При подавлении выходного сигнала устойчивой системы с помощью обратной связи существует известное ограничение на интегральное снижение мощности выхода, известное также как теорема Боде [10]. Можно сказать, что возможность предсказания фазы случайного сигнала определяется шириной его спектра.
В реальных авиационных приложениях струи редко бывают невозбужденными. Крупномасштабные пульсации скорости на выходе из сопла могут создаваться акустическими возмущениями, приходящими из камеры сгорания, от лопаток вентилятора и т.д. Это означает, что в таких струях возможно получение информации о возмущениях против потока от кромки сопла, и для таких струй имеет смысл задача упреждающего управления волнами неустойчивости, которая может быть реализована в широкой полосе частот независимо от спектра усиления возмущений в струе. Реализации такого подхода и посвящена данная работа.
ОПИСАНИЕ ЭКСПЕРИМЕНТА
Экспериментальные исследования проводились в лаборатории 21.3 в ОИВТ РАН. Схема эксперимента показана на рис. 1а. Турбулентная струя со скоростью U = 40 м/с формировалась на выходе из круглого конического сопла диаметром D = 45 мм при комнатной температуре воздуха и давлении порядка 1 атм. Соответствующее число Рейнольдса составляло Re = 1.2 × 105. Воздух подавался от нагнетающего вентилятора, из-за чего струя оказывалась достаточно возбужденной; пульсации продольной скорости составляли порядка 1.5% от скорости струи, в то время как в невозбужденных струях это значение измеряется долями процента. Измерения парой термоанемометров показали, что существенная часть этого сигнала (около 50% по мощности) скоррелирована по сечению струи. Измерения пульсаций выполнялись с помощью термоанемометров постоянной температуры Dantec c размером чувствительного элемента 5 × 1000 мкм2 при коэффициенте перегрева чувствительного элемента 0.8 (показаны зелеными прямоугольниками на рис. 1а).
Рис. 1. Схема эксперимента и принципиальная схема системы управления (а); конструкция плазменного актуатора (б): 1 – керамическое напыление, 2 – внутренний электрод (основание), 3 – коронирующий электрод; (в) – фотография сопла с разрядом на кромке.
Электродная система была сформирована на кромке сопла методом холодного газодинамического напыления. Кромка алюминиевого сопла была покрыта корундом 1 толщиной 0.5 мм, на его поверхности был сформирован коронирующий электрод 2 для формирования барьерного разряда (рис. 1б, 1в). Нижняя кромка коронирующего электрода располагалась на расстоянии 3 мм от кромки сопла, верхняя отстояла от нее более чем на 15 мм. Напряжение прикладывалось между коронирующим электродом и металлическим основанием 3. Разряд питался переменным напряжением частотой 150 кГц и амплитудой до 8 кВ, формируемым на выходе генератора с выходным резонансным фильтром. Средняя мощность, вложенная в разряд, не превышала 100 Вт. Модуляция разряда достигалась отстройкой частоты возбуждения от резонанса, величина отстройки пропорциональна сигналу управления.
Принципиальная схема системы управления приведена на рис. 1а. Струя, как объект управления, может быть в данном случае представлена как комбинация двух подсистем P0 и P1, соответствующих распространению возмущений от первого термоанемометра до кромки сопла и от кромки до второго датчика. Цилиндрическая система координат (R, X, ϕ) связана с центром выходного сечения сопла. Обратная связь реализована по сигналу первого термоанемометра y1, расположенного в ядре струи в точке X/D = –0.1, R/D = 0.1 (рис. 1а). Предполагается, что этот сигнал линейно связан с возмущением w, приходящим на кромку сопла из форкамеры. Входной сигнал задерживался, инвертировался с помощью цифрового сигнального процессора модуля LCard E14-440D (С на рис. 1а) и подавался на вход модуляции источника высокочастотного напряжения, управляя напряжением разряда (сигнал u). Пульсации в ближнем поле регистрировались с использованием второго термоанемометра y2, устанавливаемого на оси струи на различном удалении от сопла. При таком расположении датчик регистрирует только осесимметричные пакеты волн неустойчивости (с азимутальным числом m = 0). Подстройка системы производилась вручную варьированием задержки сигнала и коэффициента пропорциональности между амплитудой напряжения разряда u и сигналом y1. Наконец, в сигнале второго термоанемометра присутствует добавленное возмущение v1, не коррелированное с исходными волнами неустойчивости w. Эта добавка ограничивает возможность подавления сигнала на больших расстояниях от сопла.
РЕЗУЛЬТАТЫ И ОБСУЖДЕНИЕ
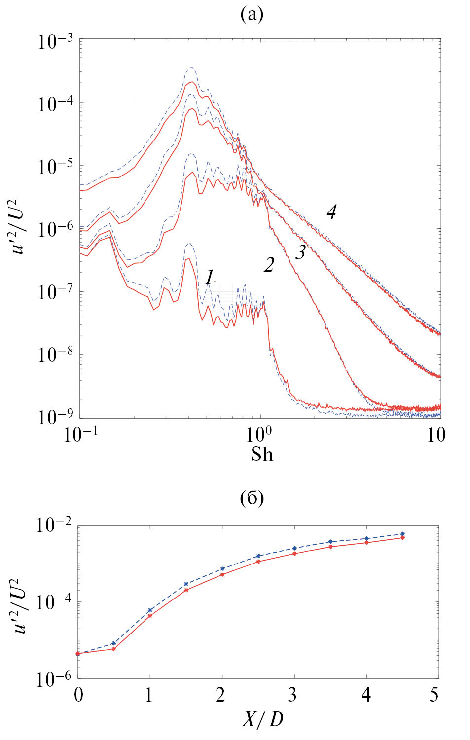
На рис. 2а показаны спектры пульсаций продольной компоненты скорости u' на разном удалении от сопла в контрольном эксперименте и при оптимальном управлении. Видно, что на срезе сопла наблюдается широкополосный максимум в полосе до 1 кГц, соответствующий возмущениям, приходящим из форкамеры (в то время как спектр невозбужденной струи имеет плоскую форму). По потоку этот максимум попадает в область 0.1 < Sh < 2, соответствующую усилению пакетов волн неустойчивости в турбулентной струе.
Рис. 2. Спектры, измеренные термоанемометром на оси струи (а): 1 – в сечении X/D = 0.5, 2 – 1.5, 3 – 2.5, 4 – 3; (б) – кривые нарастания суммарных пульсаций продольной скорости в полосе 10–2000Гц (0.2 ≤ Sh ≤ 2): штриховая кривая – контрольные измерения, сплошная – с управлением.
Видно, что при подавлении волнами неустойчивости естественных возмущений, инициированных на кромке сопла разрядом, происходит снижение величины пульсаций в максимуме примерно на 37% по мощности, что соответствует 2 дБ. На рис. 2б показаны кривые нарастания суммарных пульсаций продольной скорости, по которым можно оценить величину снижения мощности пульсаций на оси струи на различных расстояниях от кромки сопла. Снижение величины пульсаций наблюдается во всей пространственной области доминирования линейных гидродинамических возмущений, что позволяет говорить об управлении крупномасштабными структурами, сходящими с кромки сопла.
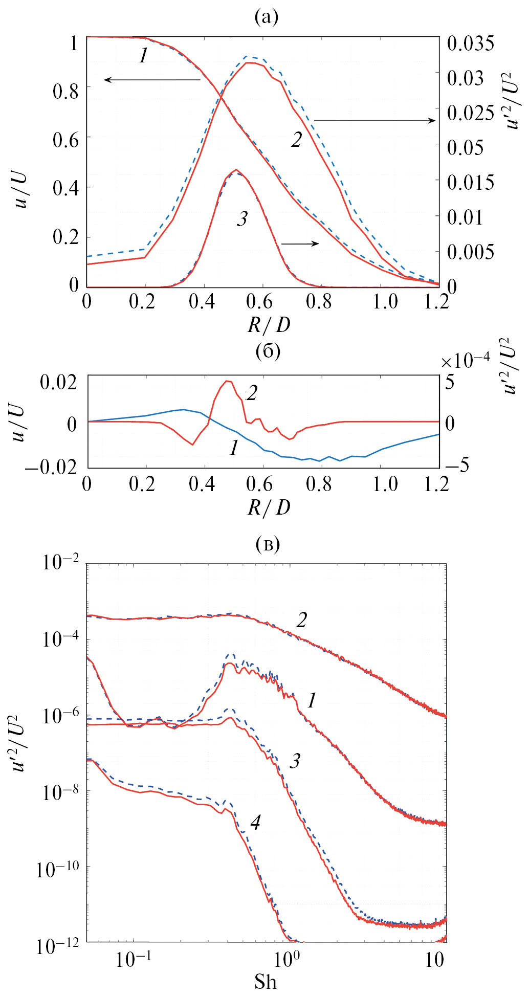
Были исследованы профили средней скорости и пульсаций скорости в сдвиговом слое струи (рис. 3а, 3в). Можно отметить, что низкочастотное снижение пульсаций продольной скорости наблюдается не только на оси струи, но и во всем потенциальном ядре, сдвиговом слое и ближнем поле вне струи. При этом полученное снижение сосредоточено в низкочастотной области спектра и не затрагивает область мелкомасштабной турбулентности. Обнаружено, что подавление естественной волны неустойчивости в данных условиях приводит также к небольшому уменьшению толщины сдвигового слоя, что видно на профилях как средней скорости, так и высокочастотных пульсаций (рис. 3б). Оценка по уровню 25–75% скорости струи показывает уменьшение толщины сдвигового слоя на 5%. Предполагается, что данный эффект обусловлен ослаблением кинематического переноса на больших масштабах, которое вызвано снижением амплитуды волн неустойчивости.
Рис. 3. Профили скорости (а) в положении X/D = = 2 (1), пульсаций в полной полосе частот (2) и в полосе Sh = 3–9 (3); (б) – разность профилей скорости (1) и высокочастотных пульсаций (2) при управлении и без него; (в) – спектры пульсаций в положении X/D = 2: 1 – R/D = 0, 2 – 0.5, 3 – 1, 4 – 1.5; штриховая кривая – контрольные измерения, сплошная – с управлением.
ЗАКЛЮЧЕНИЕ
Таким образом, для стохастически возбужденных турбулентных струй при доминировании в сдвиговом слое возмущений, зарождающихся на кромке сопла, возможно использование упреждающего управления для снижения амплитуды волн неустойчивости в широкой полосе частот. Такая возможность обусловлена высокой когерентностью пульсаций скорости на срезе сопла и порождаемых в струе волновых пакетов. Подавление волн неустойчивости приводит к уменьшению толщины сдвигового слоя и, предположительно, к некоторому увеличению дальнобойности струи.
Работа выполнена в рамках госзадания ОИВТ РАН № 075-00270-24-00.
About the authors
И. А. Моралев
Объединенный институт высоких температур РАН
Author for correspondence.
Email: morler@mail.ru
Russian Federation, Москва
А. Я. Котвицкий
Объединенный институт высоких температур РАН
Email: morler@mail.ru
Russian Federation, Москва
О. П. Бычков
Центральный аэрогидродинамический институт им. Н.Е. Жуковского
Email: morler@mail.ru
Russian Federation, Жуковский
References
- Jordan P., Colonius T. Wave Packets and Turbulent Jet Noise // Annu. Rev. Fluid Mech. 2013. V. 45. P. 173.
- Копьев В.Ф., Бычков О.П., Копьев В.А., Фараносов Г.А., Моралев И.А., Казанский П.Н. Активное управление шумом взаимодействия струи и крыла с помощью плазменных актуаторов в узкой полосе частот // Акуст. журн. 2023. Т. 69. № 2. С. 177.
- Копьев В.Ф., Битюрин В.А., Беляев И.В., Годин С.М., Зайцев М.Ю., Климов А.И., Копьев В.А., Моралев И.А., Остриков Н.Н. Управление шумом струи с помощью плазменных актуаторов диэлектрического барьерного разряда // Акуст. журн. 2012. Т. 58. № 4. С. 473.
- Власов Е.В., Гиневский А.С. Акустическое воздействие на аэродинамические характеристики турбулентной струи // Изв. АН СССР. МЖГ. 1967. № 4. С. 133.
- Samimy M., Webb N., Esfahani A. Reinventing the Wheel: Excitation of Flow Instabilities for Active Flow Control Using Plasma Actuators // J. Phys. D. Appl. Phys. 2019. V. 52. P. 354002.
- Pickering E., Rigas G., Nogueira P.A., Cavalieri A.V., Schmidt O.T., Colonius T. Lift-up, Kelvin–Helmholtz and Orr Mechanisms in Turbulent Jets // J. Fluid. Mech. 2020. V. 896. № A2. P. 1.
- Kopiev V.F., Akishev Y.S., Belyaev I.V. et al. Instability Wave Control in Turbulent Jet by Plasma Actuators // J. Phys. D: Appl. Phys. 2014. V. 47. P. 505201.
- Стариковский А.Ю., Александров Н.Л. Управление газодинамическими потоками с помощью сверхбыстрого локального нагрева в сильнонеравновесной импульсной плазме // Физика плазмы. 2021. Т. 47. С. 126.
- Копьев В.Ф., Бычков О.П., Копьев В.А., Фараносов Г.А., Моралев И.А., Казанский П.Н. Управление волнами неустойчивости в невозбужденной турбулентной струе с помощью плазменных актуаторов в узкой полосе частот // Акуст. журн. 2021. Т. 67. № 4. С. 431.
- Åström K.J., Murray R.M. Feedback Systems: An Introduction for Scientists and Engineers. Princeton: University Press, 2008. 408 p.
Supplementary files





