Теплопроводность жидких сплавов системы Na–Pb
- Authors: Агажанов А.Ш.1, Абдуллаев Р.Н.1, Хайрулин А.Р.1, Станкус С.В.1
-
Affiliations:
- Институт теплофизики им. С.С. Кутателадзе СО РАН
- Issue: Vol 62, No 4 (2024)
- Pages: 500-504
- Section: Thermophysical Properties of Materials
- URL: https://journals.rcsi.science/0040-3644/article/view/276870
- DOI: https://doi.org/10.31857/S0040364424040034
- ID: 276870
Cite item
Full Text
Abstract
Методом лазерной вспышки измерена теплопроводность λ жидких сплавов натрий–свинец (10, 21, 31, 41, 50 и 63 ат. % Pb) в интервале температуры от линии ликвидуса до 1070 К с неопределенностью 4–6%. Построены температурные и концентрационные зависимости λ. Установлено, что для большинства исследованных сплавов теплопроводность с температурой растет монотонно и имеет довольно низкие значения по сравнению с чистыми расплавами Na и Pb: от 3.7 до 12.0 Вт/ (мК). На концентрационной зависимости λ выявлен пологий минимум в интервале концентрации свинца XPb≈ 20–50 ат. %. Отмечены корреляции между полученными результатами по теплопроводности и другими теплофизическими свойствами, которые косвенно подтверждают существующие в литературе представления о формировании в жидкой системе Na–Pb ионных комплексов.
Full Text
ВВЕДЕНИЕ
Жидкие сплавы натрия со свинцом относятся к интересному классу расплавов, у которых помимо металлической связи между атомами есть тенденция к образованию ионной (или ионно-ковалентной) связи вследствие большой разницы в электроотрицательности компонентов [1–5]. Это приводит к локализации электронов проводимости и появлению ярко выраженных экстремумов на концентрационных зависимостях многих теплофизических свойств [6–14] жидкой системы Na–Pb. Согласно [1–5], подобные явления свидетельствуют о химическом упорядочивании в расплавах этой системы в виде образования двух типов комплексов Na4Pb и Na4Pb4 с частично ионной межатомной связью. Некоторое прямое подтверждение существования этих структурных единиц получено из нейтронографических исследований [1, 15].
С практической точки зрения жидкие сплавы Na–Pb интересны тем, что расплавы с малым содержанием свинца (до 10 ат. %) рассматриваются как перспективные теплоносители для ядерных реакторов на быстрых нейтронах [16], поскольку являются существенно менее пожароопасными по сравнению с чистым натрием. В [17] установлено, что сплав с 10 ат. % свинца не горит на воздухе вплоть до 973 К и обладает пониженной взрывоопасностью при контакте с водой. Однако многие физические свойства жидкой системы Na–Pb, в особенности теплопроводность λ, изучены недостаточно надежно и подробно, что не позволяет в полной мере оценить перспективы применения этих расплавов в ядерной энергетике. В литературе имеется лишь одна экспериментальная работа [18] по измерению λ расплава Na20Pb80 с погрешностью 15%, а также оценочные значения λ [17] для составов с концентрацией Pb до 10 ат. %. Таким образом, получение достоверной экспериментальной информации по теплопроводности жидких сплавов Na–Pb в широких интервалах температуры и концентрации является актуальной задачей для обновления и расширения существующей научной базы по теплофизическим свойствам подобных жидкометаллических систем.
МЕТОДИКА И ЭКСПЕРИМЕНТАЛЬНАЯ ТЕХНИКА
В настоящей работе проведены измерения теплопроводности жидких сплавов Na–Pb с содержанием свинца XPb=10, 21, 31, 41, 50 и 63 ат. % в интервале температуры от линии ликвидуса до Tmax= 1070 К. Величина λ определялась методом лазерной вспышки на установке LFA-427 с использованием герметичных измерительных ампул из нержавеющей аустенитной стали марки 12Х18Н10Т. Подробное описание расчетной модели для определения λ жидких образцов с учетом реальной геометрии ампулы приведено в [19].
Исходными компонентами для сплавов являлись свинец марки С0 чистотой не менее 99.992 вес.% и натрий чистотой не менее 99.9 вес.%. Для предотвращения загрязнения образцов, особенно Na, все этапы приготовления сплавов проводились в атмосфере высокочистого аргона (99.999 об.%) внутри перчаточного бокса. Поверхности свинцового слитка предварительно механически отчищались от окислов. Натрий поставлялся в запаянной ампуле из стекла «пирекс», заполненной аргоном. Ампула разбивалась с одного конца и нагревалась до жидкого состояния Na. Последний выливался через стальную сетку с мелкими отверстиями в специальный тигель. Готовые куски Na и Pb взвешивались на электронных весах с точностью 2–3 мг и закладывались в измерительную ампулу. Далее стальная ампула вместе с навесками Na и Pb герметизировалась электродуговой сваркой внутри бокса и нагревалась в муфельной печи до 700 К, при этом ампула некоторое время встряхивалась для хорошей гомогенизации сплава. В итоге фактическое содержание Pb в приготовленных таким образом сплавах составляло 10.00±0.03, 21.01±0.05, 30.71±0.09, 41.12±0.12, 49.98±0.22 и 63.38±0.37 ат.%.
Перед началом измерений на LFA-427ампула с расплавом выдерживалась в течение часа при максимальной температуре эксперимента Tmax. Проведенные оценки с учетом данных о коэффициентах взаимной диффузии в расплавах натрий–свинец [13] и небольшого объема сплава в ампуле (порядка 1 мл) показали, что этого времени достаточно для получения практически однородного по составу жидкого образца. Измерения λ проводились в режиме охлаждения от Tmax до температуры ликвидуса TL. Температуры TL для каждого состава определялись с точностью ±1.5 К по результатам проведения термического анализа на массивном изопериболическом калориметре смешения, как описано в [14]. В расчетных уравнениях для λ [19] привлекались численные данные по теплофизическим свойствам материала ампулы 12Х18Н10Т [19], а также значения плотности [13] и теплоемкости [14] исследуемых расплавов. Толщина зондируемого слоя сплава в ампуле при комнатной температуре составляла ~2.5 мм, а ее изменение при нагреве в жидком состоянии учитывалось по тепловому расширению стали 12Х18Н10Т [19]. Неопределенность полученных данных по λ оценивается в 4.2–5.3% для интервала 600–1100 К. Данная неопределенность включает случайные погрешности (0.6–2.4%) и неисключенные систематические ошибки, основной вклад в которые вносит неопределенность температуропроводности ампул. Следует отметить, что измерения термических [13], калорических [14] свойств жидкой системы Na–Pb и теплопроводности в настоящей работе осуществлялись в одной лаборатории Института теплофизики CО РАН, а исследуемые сплавы готовились из исходных металлов Na и Pb из одной партии.
РЕЗУЛЬТАТЫ И ОБСУЖДЕНИЕ
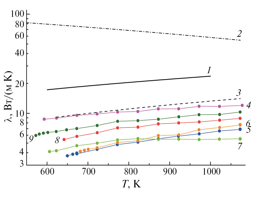
Результаты измерений теплопроводности представлены на рис. 1, из которого видно, что величина λ для большинства жидких сплавов Na–Pb с температурой растет монотонно и имеет довольно низкие значения. Измеренные значения теплопроводности лежат в диапазоне от 3.7 до 12.0 Вт/(м К) во всем исследованном интервале температуры, что в среднем примерно в 3 и 9 раз меньше, чем у чистых расплавов свинца и натрия соответственно. Таким образом, смешение двух жидких металлов Na и Pb с относительно хорошей теплопроводностью [20, 21] приводит к существенному падению λ полученного раствора. Такие низкие значения сопоставимы со значениями λ подобных жидкометаллических систем (K–Pb [22] и Cs–Pb [23]) и прямо указывают на существенную локализацию электронов проводимости в этой системе. Это хорошо сопоставляется с представлениями авторов [1–5] о формировании в жидких сплавах M–Pb (M – щелочной металл) химического ближнего порядка в виде ассоциированных ионных комплексов. Тенденция к возникновению этих комплексов в расплавах M–Pb обусловлена тем, что разница в электроотрицательности между M и Pb оказывается достаточной для частичного смещения валентных электронов атомов M к атомам Pb. Согласно модельным представлениям [1–5], четыре катиона М+ располагаются вокруг аниона Pb4– или тетраэдрического кластера [Pb4]4– и удерживаются ими кулоновскими силами. В итоге часть валентных электронов M и Pb оказывается запертой в этих комплексах, а химическая связь между ионами M+ и Pb– и структура расплава становятся солеподобными. Это приводит к аномальным особенностям на зависимостях физических свойств M–Pb [6–14, 22–25]. Так, удельное электросопротивление ρel у расплавов M–Pb относительно аддитивных значений может меняться на порядок в зависимости от концентраций компонентов [7–10, 24, 25]. Например, у эквиатомного состава Cs–Pb [25] величина электросопротивления примерно в 70 раз больше значения ρel для расплава свинца, а добавка 20 ат.% Pb к Na увеличивает ρel почти в 17 раз по сравнению с чистым Na [7]. Предполагается [1–5], что в жидких сплавах тяжелых щелочных металлов (K, Rb, Cs) со свинцом формируются полианионные структуры вида M4Pb4, а в сплавах Li–Pb и Na–Pb преобладают октетные соединения вида M4Pb. Последний вид сохраняет стабильность лишь в случае малых размеров катионов [26] (таких как Li+ и Na+) и теряет ее в случае достаточно больших катионов (таких как K+, Rb+ или Cs+).
Рис. 1. Теплопроводность жидких сплавов Na–Pb: 1 – данные для Pb [20], 2 – Na [21], 3 – Na20Pb80 [18], 4 – Na90Pb10, 5 – Na79Pb21, 6 – Na69Pb31, 7 – Na59Pb41, 8 – Na50Pb50, 9 – Na37Pb63; ось ординат представлена в логарифмическом масштабе.
Наименее теплопроводными расплавами являются сплавы с концентрациями XPb = = 21–41 ат. %, а для крайних составов XPb = 10 и 80 ат.% кривые λ(T) лежат выше остальных сплавов (рис. 1). Такое поведение кривых λ(T) может косвенно указывать на наличие в жидкой системе Na–Pb двух типов комплексов M4Pb4 и M4Pb с большей относительной долей последних. Следует отметить, что вблизи температур ликвидуса сплавов наименьшее значение λ наблюдалось для состава XPb = 21 ат.%. Это хорошо коррелирует с результатами исследований электросопротивления расплавов Na–Pb [7–9], для которых величина ρel на концентрационной зависимости имеет ярко выраженный пик с максимумом в диапазоне концентраций XPb ≈ 20–23 ат.%.
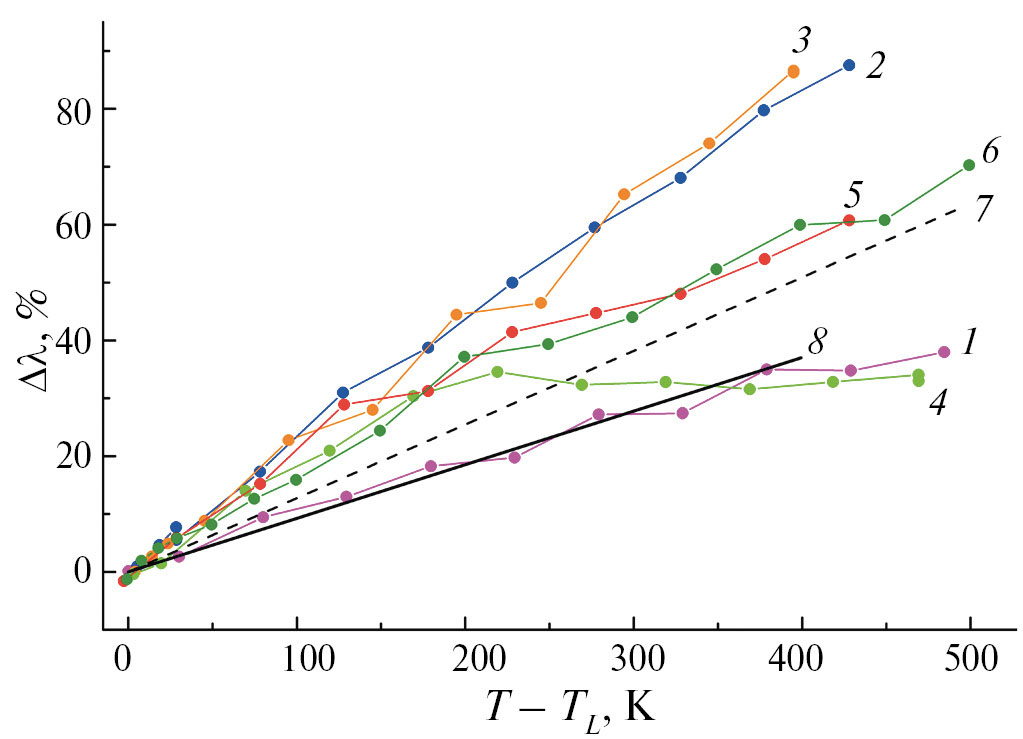
На рис. 2 представлены изменения теплопроводности ∆λ сплавов относительно значения λ при температуре ликвидуса TL. Видно, что наибольший относительный рост λ с температурой наблюдался у составов Na79Pb21 и Na69Pb31. Величина λ для этих расплавов увеличилась более чем на 80% при нагреве на 400 К выше TL, тогда как у других составов ∆λ не превышает 60%. Это хорошо согласуется с результатами исследования температурного коэффициента удельного электросопротивления в [7–9]. Так, в этих работах было выявлено, что величина на концентрационной зависимости имеет минимум вблизи XPb = 20 ат. % и принимает отрицательные значения для расплавов, содержащих ~ 15–30 ат.% Pb. Рост кривых λ(T) с увеличением температуры в совокупности с отрицательными значениями может свидетельствовать о диссоциации упорядоченных структур в расплавах Na–Pb с высвобождением все большего числа свободных электронов. Вероятно, более резкий рост λ для Na79Pb21 и Na69Pb31 указывает на максимальную относительную долю ионных комплексов типа M4Pb, разрушение которых более активно восстанавливает металлическое поведение данных расплавов по сравнению с другими.
Рис. 2. Изменение теплопроводности сплавов относительно значения λ при температуре ликвидуса TL: 1 – Na90Pb10, 2 – Na79Pb21, 3 – Na69Pb31, 4 – Na59Pb41, 5 – Na50Pb50, 6 – Na37Pb63, 7 – Na20Pb80, 8 – Pb.
Полученные данные по λ сплавов аппроксимировались методом наименьших квадратов в интервале от температуры ликвидуса до 1073 К полиномом следующего вида:
λ(T) = λ(TL) + A(T – TL) + B(T – TL)2, (1)
где A, B – константы. Величина λ в уравнении (1) рассчитывается в единицах Вт/(м К). Коэффициенты полинома приведены в таблице. Среднеквадратичные отклонения экспериментальных точек от аппроксимационных зависимостей не превышают 0.8–2.2%.
Коэффициенты полинома (1) для теплопроводности жидких сплавов Na–Pb
XPb, ат. % | TL, К | λ(TL), Вт/(м К) | A × 103 | B × 106 |
10 | 593.1 | 8.706 | 9.575 | –5.57 |
21 | 644.5 | 3.688 | 8.736 | –2.87 |
31 | 677.5 | 4.126 | 8.380 | 1.48 |
41 | 603.3 | 4.128 | 8.587 | –12.43 |
50 | 644.5 | 5.523 | 11.996 | –10.43 |
63 | 573.3 | 6.048 | 10.961 | –5.32 |
На рис. 3 приведены концентрационные зависимости теплопроводности жидких сплавов Na–Pb при температуре ликвидуса TL и при 1000 К вместе с литературными данными [18] для расплава Na20Pb80. Видно, что на линии ликвидуса и на изотерме имеется широкий минимум в области концентрации XPb ≈ 20–50 ат. %, в котором величина теплопроводности жидкого сплава в 4–22 раз меньше λ чистых Na и Pb и примерно в 7 раз меньше аддитивных значений. Полученные концентрационные зависимости λ(XPb) хорошо коррелируют с результатами для других теплофизических свойств исследуемой системы. Так, например, при изучении термических свойств жидких сплавов Na–Pb был установлен эффект «химического сжатия» [13]: величина относительного избыточного мольного объема ∆Vm составила –17% при концентрации XPb = 30 ат.% с широким минимумом на концентрационной зависимости ∆Vm(XPb) в интервале XPb ≈ 25–50 ат.%. В [12] на концентрационной зависимости теплоемкости системы Na–Pb наблюдался размытый максимум в диапазоне XPb ≈ 30–50 ат.%.
Рис. 3. Концентрационные зависимости теплопроводности жидких сплавов Na–Pb: 1 – при TL, 2 – при 1000 К, 3 – Na20Pb80 при TL [18], 4 – Na20Pb80 при 1000 К [18]; пунктирная линия – расчет по правилу аддитивности.
ЗАКЛЮЧЕНИЕ
Проведено экспериментальное исследование теплопроводности жидких сплавов Na–Pb в интервале температуры от линии ликвидуса до 1070 К. Расплавы Na–Pb рассматриваются как перспективные жидкометаллические теплоносители для ядерных реакторов на быстрых нейтронах [16]. Однако, как видно по полученным температурным λ(T) и концентрационным λ(XPb) зависимостям, использование расплавов Na–Pb с концентрацией Pb больше 10 ат. % в качестве теплоносителя крайне невыгодно ввиду аномально низких значений теплопроводности. Такие значения λ для рассматриваемых расплавов могут свидетельствовать о наличии химического ближнего порядка в жидкой системе Na–Pb.
Исследование выполнено в рамках госзадания ИТ СО РАН (№ 121031800219-2).
About the authors
А. Ш. Агажанов
Институт теплофизики им. С.С. Кутателадзе СО РАН
Author for correspondence.
Email: scousekz@gmail.com
Russian Federation, Новосибирск
Р. Н. Абдуллаев
Институт теплофизики им. С.С. Кутателадзе СО РАН
Email: scousekz@gmail.com
Russian Federation, Новосибирск
А. Р. Хайрулин
Институт теплофизики им. С.С. Кутателадзе СО РАН
Email: scousekz@gmail.com
Russian Federation, Новосибирск
С. В. Станкус
Институт теплофизики им. С.С. Кутателадзе СО РАН
Email: scousekz@gmail.com
Russian Federation, Новосибирск
References
- Van der Lugt W. Zintl Ions as Structural Units in Liquid Alloys // Phys. Scr. 1991. V.39. P. 372.
- Van der Lugt W. Polyanions in Liquid Ionic Alloys: A Decade of Research // J. Phys. Condens. Matter. 1996. V. 8. № 34. P. 6115.
- Saboungi M.L., Geertsma W., Price D.L. Ordering in Liquid Alloys // Annu. Rev. Phys. Chem. 1990. V. 41.№ 1. P. 207.
- Reijers H.T.J., Saboungi M.L., Price D.L., Richardson Jr. J.W., Volin K.J., van der Lugt W. Structural Properties of Liquid Alkali-metal–Lead Alloys: NaPb, KPb, RbPb, and CsPb // Phys. Rev.B. 1989. V. 40. № 9. P. 6018.
- Гантмахер В.Ф. Химическая локализация // УФН. 2002. Т. 172. № 11. С. 1283.
- Морачевский А.Г. Физико-химические свойства, структура и электрохимическое поведение жидких сплавов системы натрий–свинец (обзор) // Журн. прикл. химии. 1997. Т. 70. № 7. С. 1057.
- Calaway W.F., Saboungi M.-L. Electrical Resistivity of the Na–Pb System: Measurements and Interpretation // J. Phys. F: Met. Phys. 1983. V. 13. № 6. P. 1213.
- Meijer J.A., Geertsma W., van der Lugt W. Electrical Resistivities of Liquid Alkali–Lead and Alkali–Indium Alloys // J. Phys. F: Met. Phys. 1985. V. 15. № 4. P. 899.
- Van der Marel C., van Oosten A.B., Gertsma W., van der Lugt W. The Electrical Resistivity of Liquid Li–Sn, Na–Sn, and Na–Pb Alloys: Strong Effects of Chemical Interactions // J. Phys. F: Met. Phys. 1982. V. 12. № 10. P. 2349.
- Matsunaga S., Tamaki S. Compound-forming Effect in the Resistivity of Liquid Na–Pb Alloys // J. Phys. Soc. Jpn. 1983. V. 52. № 5. P. 1725.
- Matsunaga S., Ishiguro T., Tamaki S. Thermodynamic Properties of Liquid Na–Pb Alloys // J. Phys. F: Met. Phys. 1983. V. 13. № 3. P. 587.
- Ruppersberg H., Jost J. Determination of the Heat Capacity of Liquid Alloys According to the (∂p/∂T)s Procedure: Pb/Na // Thermochim. Acta. 1989. V. 151. P. 187.
- Khairulin R.A., Stankus S.V., Abdullaev R.N. Density, Thermal Expansion and Binary Diffusion Coefficients of Sodium–Lead Melts // High Temp. – High Press. 2013. V. 42. № 6. P. 493.
- Хайрулин А.Р., Станкус С.В. Энтальпия и теплоемкость жидких сплавов Na15Pb4 и Na50Pb50 // Теплофизика и аэромеханика. 2023. Т. 30. № 6. С. 1223.
- Takeda S., Harada S., Tamaki S., Matsubara E., Waseda Y. Structural Study of Liquid Na–Pb Alloys by Neutron Diffraction // J. Phys. Soc. Jpn. 1987. V. 56. № 11. P. 3934.
- Efanov A.D., Loginov N.I., Morozov V.A., Morozov A.V., Mikheyev A.S. Investigation of Thermodynamic Properties of Sodium–Lead System // J. Phys.: Conf. Ser. 2008. V. 98. № 032013. P. 1.
- Засорин И.И., Кузнецова Л.М., Кумской В.В., Логинов Н.И., Михеев А.С., Морозов А.В., Морозов В.А., Плетенец С.С., Тихомиров А.А. Исследование свойств сплава натрий-свинец с целью выбора состава пожаробезопасного теплоносителя // ВАНТ. Cер. Физика ядерных реакторов. 2008. № 4. С. 72.
- Круглов А.Б., Коновалов И.И., Тарасов Б.А., Харитонов В.С., Паредес Л.П. Теплопроводность сплавов Pb–Na, Pb–Bi–Na при температурах 350–800°C // Теплофизика и аэромеханика. 2023. Т. 30. № 1. С. 133.
- Agazhanov A.Sh., Abdullaev R.N., Samoshkin D.A., Stankus S.V. Thermal Conductivity and Thermal Diffusivity of Li–Pb Eutectic in the Temperature Range of 293–1273 K // Fusion Eng. Des. 2020. V. 152. 111456.
- Савченко И.В., Станкус С.В., Агажанов А.Ш. Измерение тепло- и температуропроводности жидкого свинца в интервале 601–1000 К //Атомная энергия. 2013. Т. 115. № 2. С. 74.
- Agazhanov A.Sh., Abdullaev R.N., Samoshkin D.A., Stankus S.V. Thermal Conductivity of Lithium, Sodium, and Potassium in the Liquid State // Phys. Chem. Liq. 2020. V. 58. № 6. P. 760.
- Agazhanov A.Sh., Khairulin A.R., Abdullaev R.N., Stankus S.V. Thermophysical Properties of Liquid K–Pb Alloys // J. Eng. Thermophys. 2021. V. 30. № 3. P. 365.
- Agazhanov A.Sh., Abdullaev R.N., Stankus S.V., Khairulin A.R. Thermal Conductivity of the Cs–Pb System Liquid Alloys // Phys. Chem. Liq. 2023. V. 61. № 4. P. 253.
- Nguyen V.T., Enderby J.E. The Electronic Structure of Lithium-based Liquid Semiconducting Alloys // Phil. Mag. 1977. V. 35. № 4. P. 1013.
- Meijer J.A., Vinke G.J.B., van der Lugt W. Resistivity of Liquid Rb–Pb and Cs–Pb Alloys // J. Phys. F: Met. Phys. 1986. V. 16. № 7. P. 845.
- Geertsma W., Dijkstra J., van der Lugt W. Electronic Structure and Charge-transfer-induced Cluster Formation in Alkali-group-IV Alloys // J. Phys. F: Met. Phys. 1984. V. 14. № 8. P. 1833.
Supplementary files





