Расчет скорости, температуры и их флуктуаций в т-образном смесителе воды различной температуры с использованием вихреразрешающих подходов к моделированию турбулентности
- Authors: Гарбарук А.В.1, Грицкевич М.С.2
-
Affiliations:
- Санкт-Петербургский политехнический университет Петра Великого
- Санкт-Петербургский государственный морской технический университет
- Issue: Vol 62, No 3 (2024)
- Pages: 394-404
- Section: Heat and Mass Transfer and Physical Gasdynamics
- URL: https://journals.rcsi.science/0040-3644/article/view/276020
- DOI: https://doi.org/10.31857/S0040364424030094
- ID: 276020
Cite item
Full Text
Abstract
Проведено сравнительное исследование возможностей различных глобальных и зонных вихреразрешающих подходов к моделированию турбулентности для предсказания средних и пульсационных характеристик теплообмена в трубопроводах с T-образными соединениями. Показано, что наилучшее согласие с экспериментальными данными обеспечивает зонный RANS–IDDES-подход. Продемонстрировано, что этот метод применим для расчета более сложных конфигураций с поворотами магистральной трубы, расположенными против потока от Т-образного соединения. Проведено параметрическое исследование таких конфигураций.
Full Text
Введение
Турбулентное перемешивание жидкостей разной температуры в Т-образных соединениях труб может привести к интенсивным низкочастотным колебаниям температуры на прилегающих к соединению стенках и, как следствие, к циклическим термическим напряжениям, термической усталости и последующему разрушению трубопровода (см., например, [1]). Эти явления характерны для контуров ядерных реакторов, в связи с чем изучение данного класса течений имеет большое значение для безопасности АЭС. В том случае, когда диаметр патрубка меньше диаметра магистральной трубы (типичная конфигурация), картина течения определяется несколькими важными факторами. Во-первых, из-за различия диаметров труб поток имеет особенности, характерные для струи в поперечном потоке, которые аналогичны срыву вихрей при поперечном обтекании цилиндра. Хотя из-за незначительного различия диаметров этот эффект выражен не так сильно, как в струе, он все же играет заметную роль. Во-вторых, в слое смешения, формирующемся на границе потока, втекающего из патрубка в магистральную трубу, возникает неустойчивость Кельвина–Гельмгольца, приводящая к интенсификации теплопереноса. Наконец, третьим существенным фактором является образование подковообразного вихря перед вытекающей из патрубка струей. Общая картина течения определяется взаимодействием этих явлений друг с другом и с турбулентностью в набегающем потоке, структура которой может быть весьма сложной из-за наличия изгибов магистральной трубы против потока от патрубка [2–6]. Это делает точное предсказание полей скорости и температуры в окрестности Т-образного соединения весьма сложной задачей вычислительной гидродинамики (computational fluid dynamics – CFD). Так, подходы к ее решению, основанные на осредненных по Рейнольдсу уравнениях Навье–Стокса (RANS), которые обычно используются в промышленных приложениях, не обеспечивают приемлемой точности. Более того, высокие значения турбулентной вязкости, предсказываемые RANS-моделями турбулентности в области перемешивания потоков из-за высоких локальных скоростей сдвига, зачастую приводят к подавлению нестационарных возмущений и к получению стационарного решения (см., например, [7]). Это противоречит экспериментальным наблюдениям, согласно которым на стенках магистральной трубы по потоку от Т-образного соединения имеют место сильные пульсации температуры. Данный эффект можно описать только с помощью вихреразрешающих подходов (scale-resolving simulation–SRS) [3, 4, 8–12]. Наиболее перспективными SRS-подходами являются гибридные RANS–LES-методы, такие как detached eddy simulation (DES) [13], delayed DES (DDES) [14], improved DDES (IDDES) [15, 16] и scale-adaptive simulation (SAS) [17]. Хотя эти подходы и являются более трудоемкими, чем RANS, они требуют несопоставимо меньших вычислительных затрат, чем метод моделирования крупных вихрей (large eddy simulation – LES) и вполне могут применятся на практике уже в настоящее время. Однако для определения границ применимости и точности подобных подходов требуются дополнительные исследования.
Гибридные RANS–LES-подходы можно разделить на глобальные и зонные. К первым относятся подходы, в которых граница между областями RANS и LES определяется автоматически в процессе расчета на основе локальной информации о шагах расчетной сетки, расстоянии до ближайшей стенки и параметрах потока. К этой категории относятся вышеупомянутые методы DES, DDES, IDDES и SAS. В зонных подходах разделение на RANS- и LES-подобласти производится пользователем по тем или иным соображениям априори (до начала расчета). Следует отметить, что в LES-подобласти зонных подходов могут использоваться не только классические модели LES, но и глобальные гибридные подходы. Преимущество зонных подходов состоит в их гибкости, благодаря которой появляется возможность повысить точность описания тех или иных течений, однако для реализации этого преимущества необходимы априорные представления о структуре рассматриваемого потока.
Целью настоящей работы являются определение наиболее надежного гибридного RANS–LES-подхода для рассматриваемого класса течений и исследование чувствительности гидродинамики и теплообмена в Т-образных соединениях к неоднородности потока в магистральной трубе.
1. Валидация различных гибридных RANS-LES-подходов на тестовом течении Vattenfall
1.1. Постановка задачи и метод решения.
Эксперимент, проведенный в компании Vattenfall в 2009 г. [18], использовался в качестве теста OECD в [19–21]. Схема установки в [18] представлена на рис. 1. Она состоит из горизонтальной пластиковой магистральной трубы и вертикального стального патрубка с внутренними диаметрами 1.4D0 и D0 соответственно. Длина основной трубы до соединения составляет более 110D0, а вертикального патрубка – около 20D0. Постоянная среднерасходная скорость воды в магистральной трубе и патрубке во всех экспериментах равна 0.76U0 и U0 соответственно. Температура воды в патрубке составляла T0 = 309 К, а в магистральной трубе – T0 – ∆T (∆T = 17К). Эти параметры соответствуют числу Рейнольдса Re = ρU0D0/µ = 8 × 104 и числу Прандтля Pr = µCp /λ = 5. Здесь ρ – плотность; µ – динамическая вязкость, рассчитанная по температуре воды в патрубке согласно [19]; Cp – удельная теплоемкость; λ – теплопроводность воды.
Рис. 1. Вид сбоку испытательного стенда Т-образного соединения Vattenfall [18].
Расчеты проводились с использованием трех глобальных гибридных RANS–LES-подходов, а именно SAS [18], SST DDES [14] и SST IDDES [16], наряду с ними были выполнены расчеты зонным RANS–IDDES-методом. В последнем случае для активации режима wall-modeled LES (WMLES) и обеспечения быстрого перехода от полностью моделируемой турбулентности в RANS-подобласти к преимущественно разрешенной турбулентности в IDDES-подобласти в районе RANS–IDDES-интерфейса использовался генератор синтетической турбулентности STG [22].
Во всех расчетах использовалось постоянное значение турбулентного числа Прандтля, традиционно используемое в расчете пристеночных течений, а его значение в соответствии с рекомендациями [23] было выбрано равным Prt = 0.85. Такой подход справедливо критикуется во многих работах (см., например, [9]), более того, к настоящему времени для расчета турбулентного числа Прандтля предложено множество моделей различной степени сложности, однако ни одна из них не стала к настоящему времени общепринятой.
Схема расчетной области представлена на рис. 2. Входные сечения расположены на расстояниях z/D0 = 3.1 для патрубка и x/D0 = –4.2 для магистральной трубы, а выходное сечение – при x/D0 = 28.0.
Рис. 2. Схема расчетной области, граничные условия (а) и расчетная сетка (б) для течения в Т-образном соединении труб.
Граничные условия задаются следующим образом (рис. 2). На стенках обеих труб задаются условия прилипания и непроницаемости для скорости и адиабатические условия для температуры. На выходной границе задается постоянное давление, а все остальные величины экстраполируются изнутри расчетной области. На входных границах задаются профили скорости, температуры и турбулентных характеристик, полученные на основе предварительных RANS-расчетов течения в трубе с использованием модели SST [24]. При этом течение в магистральной трубе считается полностью развитым, а толщина пограничного слоя во входном сечении патрубка соответствует экспериментальному значению δ0 = 0.22D0.
Отметим, что на входной границе не задаются возмущения скорости и температуры, при этом в случае использования глобальных гибридных подходов разрешенные турбулентные пульсации отсутствуют в трубах до T-образного соединения, а в его окрестности естественным образом возникают за счет неустойчивости слоев смешения. При использовании зонного RANS–IDDES, как уже было сказано, на границах RANS-и IDDES-областей задаются турбулентные пульсации, при этом интерфейсы RANS–IDDES в магистральной трубе и патрубке расположены при x/D0 = –1.4 и z/D0 = –1.0 соответственно (рис. 2). Расстояние от интерфейсов до начала слоя смешения в соединении составляло не менее 1.5 локальных толщин пограничного слоя в каждой из труб, что при использовании STG достаточно для релаксации турбулентности к развитому состоянию [22] (здесь и далее полагается, что при развитом течении в трубе толщина пограничного слоя равна радиусу трубы). Предварительные расчеты с увеличенным расстоянием между интерфейсом и T-образным соединением показали, что структура рассматриваемого течения на зависит от этого расстояния.
Что касается интерфейса IDDES-RANS, расположенного при x/D0 = 9.8, то на нем никаких специальных действий не требуется, поскольку IDDES автоматически переходит в режим RANS при увеличении шага сетки, а возникающая при этом погрешность практически не влияет на течение в окрестности Т-образного соединения.
Расчетная сетка (рис. 2) содержит примерно 4.9 × 106 шестигранных ячеек и удовлетворяет требованиям к сеткам для IDDES [15]. В частности, максимальные шаги сетки в осевом и азимутальном направлениях составляют ∆a/D0 = 0.036 и ∆c/D0 = 0.018, а первый пристеночный шаг по нормали к стенкам удовлетворяет условию ∆yw+ < 1 в большей части расчетной области. Переключение между RANS- и LES-ветвями в методе IDDES происходит на расстоянии d ≈ ∆a, при этом величина d+ не превышает 140.
Шаг интегрирования по времени во всех расчетах равен ∆t = 0.016D0 /U0 и соответствует максимальному числу Куранта около 4. Время установления статистически зрелого решения составляет 100D0 /U0, после чего для определения статистических характеристик потока проводится осреднение нестационарных полей скорости, давления и температуры в течение временного интервала 640D0 /U0 (40 000 временных шагов).
В CFD-коде ANSYS-FLUENTCFD [23] используется метод конечных объемов на неструктурированных сетках с хранением данных в центрах ячеек. В настоящей работе для решения исходных нестационарных уравнений движения и теплопереноса для несжимаемой жидкости применялся метод SIMPLEC. При этом для аппроксимации производных по времени использовалась трехслойная схема второго порядка. Для подавления нефизических осцилляций давления при аппроксимации невязких потоков применялась поправка Rhie–Chow [25]. Градиенты переменных рассчитывались в центрах ячеек с использованием теоремы Гаусса. Интерполяция скорости на грань ячейки осуществлялась с использованием центрально-разностной схемы второго порядка, а интерполяция давления – с помощью схемы «Standard» (взвешенная интерполяция на основе центральных коэффициентов). Наконец, для аппроксимации конвективных слагаемых в уравнении энергии и в уравнениях переноса турбулентных характеристик использовалась противопоточная схема второго порядка.
Полученные дискретные уравнения решались итерационно с использованием неявного метода Гаусса–Зейделя в сочетании с алгебраическим многосеточным подходом (использовалось 10 итераций на шаг по времени). Подробное описание методов, применяющихся в ANSYS-FLUENT, можно найти в [23].
1.2. Результаты расчетов.
На рис. 3 представлена визуализация течения – изоповерхности Q-критерия (Q = 200 с–2)
Q = (1/2)(Ω2 – S2),
где Ω и S – инварианты тензоров завихренности и скорости деформации. Окраска изоповерхностей соответствует x-компоненте скорости, полученной при расчетах, выполненных с использованием глобальных подходов (DDES, SAS и IDDES) и зонного RANS–IDDES-метода. Все глобальные подходы предсказывают сходные вихревые структуры, появляющиеся в начале зоны смешения двух потоков. Эти структуры развиваются по течению, распадаются на более мелкие хаотичные вихри и постепенно занимают все сечение трубы. Аналогичная картина наблюдается и при использовании зонного RANS–IDDES-подхода. Однако в этом случае описанные вихревые структуры затухают и превращаются в мелкомасштабную турбулентность намного быстрее за счет взаимодействия с разрешенной турбулентностью, возникающей в обеих трубах непосредственно за соответствующими RANS–IDDES-интерфейсами.
Рис. 3. Изоповерхности критерия Q (Q = 200 c-2), их окраска соответствует величине x-компоненты вектора скорости: (а) – вид сбоку, (б) – вид сверху.
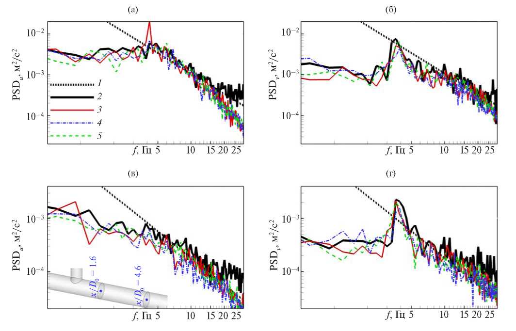
На рис. 4 приведено сравнение расчетных и экспериментальных спектров пульсаций скорости в двух точках, расположенных на оси магистральной трубы. Видно, что в соответствии с визуализацией течения эти спектры имеют протяженный инерционный интервал, удовлетворяющий закону Колмогорова «–5/3», и что все рассмотренные подходы обеспечивают достаточно хорошее согласие с экспериментом в диапазоне частот до 15 Гц. Это подтверждает достаточно высокое разрешение, обеспечиваемое сеткой, и низкую диссипацию численной схемы, используемой в расчетах. Кроме того, в расчетах хорошо воспроизводится наблюдаемый в эксперименте пик в спектре v-компоненты скорости вблизи f = 4 Гц, которая примерно соответствует первой моде неустойчивости сдвигового слоя. Отметим также, что в экспериментальных спектрах наблюдается подъем на высоких (>15 Гц) частотах, что свидетельствует о наличии в эксперименте не связанного с турбулентными пульсациями источника высокочастотных колебаний.
Рис. 4. Сравнение расчетных и экспериментальных узкополосных спектров пульсаций u- (а), (в) и v-компонент (б), (г) скорости с полосой пропускания 0.3 Гц в точках, показанных на вставке на части (в); (а), (б) – x/D0 = 1.6; (в), (г) –4.6; 1 – f-5/3, 2 – эксперимент, 3 – расчет по DDES, 4 – SAS, 5 – зонной IDDES.
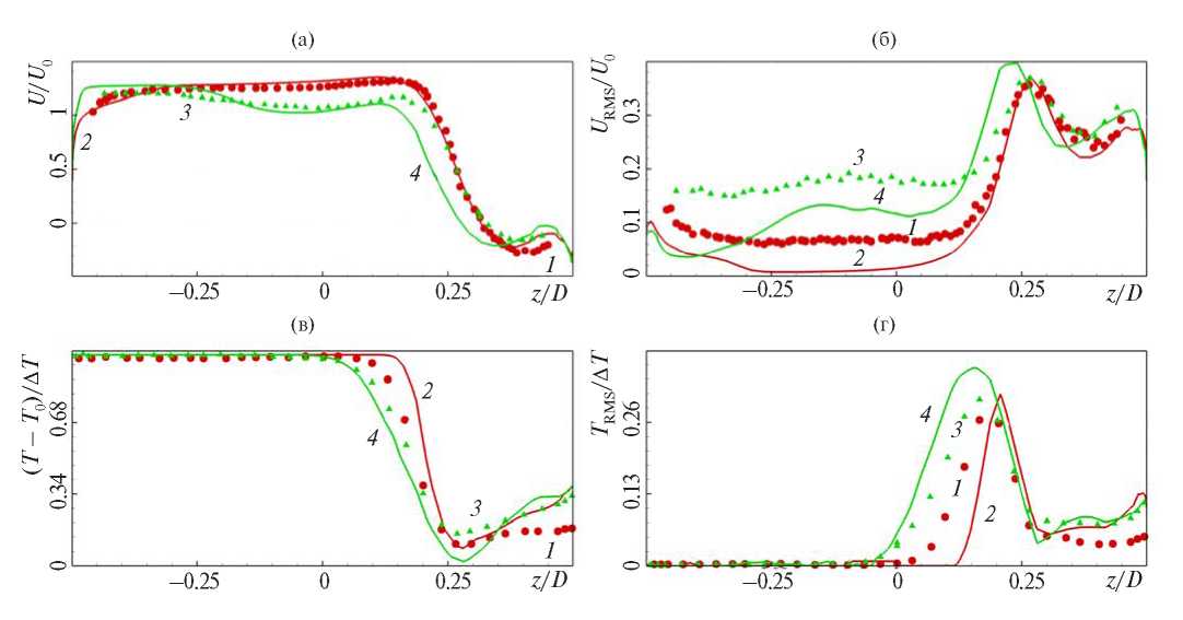
Наконец, из рис. 5 видно хорошее согласие расчетных и экспериментальных профилей скорости осредненного течения и ее среднеквадратичного отклонения.
Рис. 5. Сравнение профилей средней скорости (а), (б) и ее среднеквадратичного отклонения (в), (г) вдоль вертикальных линий в плоскости симметрии xz при x/D0 = 1.6, 2.6, 3.6 и 4.6: 1 – эксперимент, 2 – расчет по DDES, 3 – SAS, 4 – IDDES, 5 – зонной IDDES.
Таким образом, все рассмотренные модели обеспечивают надежное предсказание как гидродинамических характеристик среднего течения, так и пульсационных.
На рис. 6 представлено сравнение профилей средней температуры стенки T* = (T0 – T)/∆T и ее среднеквадратичного отклонения T*RMS = = TRMS/∆T с соответствующими экспериментальными данными. Эти величины оказываются более чувствительными к используемому подходу моделирования турбулентности, чем гидродинамические параметры течения, а результаты, полученные с использованием зонного RANS–IDDES-подхода, в целом заметно лучше согласуются с экспериментальными данными, чем результаты, полученные с использованием глобальных подходов. Основное различие между распределениями температуры, полученными в рамках глобальных подходов, от результатов зонного RANS–IDDES-расчета наблюдается на верхней линии, где профили, полученные с использованием DDES, SAS и IDDES, не только сильно отклоняются от профилей, полученных с помощью зонного подхода, но и имеют нефизический минимум вблизи x/D0 = 1. Преимущество зонного RANS–IDDES видно и вдоль других линий, однако там оно выражено не столь явно. Такой же вывод можно сделать и в отношении среднеквадратичного отклонения температуры. Хотя все рассмотренные подходы достаточно хорошо предсказывают эту величину (рис. 6), наилучшее согласие с экспериментом достигается при использовании зонного RANS–IDDES. Следует также отметить, что, в отличие от глобальных подходов, зонный RANS–IDDES предсказывает наличие пульсаций температуры на стенке, начиная с x/D0 = 0, что обеспечивается благодаря присутствию разрешенной турбулентности против потока от Т-образного соединения (см. нижнюю рамку на рис. 6). Хотя экспериментальные данные по величине среднеквадратичного отклонения температуры при x/D0 < 1.5 отсутствуют, ненулевой уровень T *RMS в этой области представляется физически правильным.
Рис. 6. Сравнение продольных распределений средней температуры (а) и ее среднеквадратичного отклонения (б) на стенке магистральной трубы (в), рассчитанных с помощью различных вихреразрешающих подходов, с экспериментальными данными: 1–5 – см. рис. 5.
Подводя итог, можно заключить, что для тестового течения Vattenfall [18] все рассмотренные подходы обеспечивают приемлемую точность. Однако наилучшее согласие с экспериментальными данными достигается при использовании зонного RANS–IDDES-подхода в сочетании с генератором синтетической турбулентности STG [22]. Для того чтобы проверить, применим ли этот подход и для более сложных конфигураций, включающих, в частности, поворот магистрального трубопровода против потока от T-образного соединения, были проведены расчеты для одной из таких конфигураций, соответствующей эксперименту [2].
2. Тестирование зонного RANS–IDDES для течения с поворотом магистральной трубы вверх по потоку от Т-образного соединения
2.1. Постановка задачи и метод решения.
На рис. 7 представлены геометрии двух рассмотренных в эксперименте [2] конфигураций, соответствующих трубопроводам, для которых в легководном реакторе наблюдалась течь из-за термической усталости материала стенок [26]. Они включают магистральную трубу и патрубок с внутренними диаметрами D и D/3 соответственно. В первом случае длина магистральной трубы до T-образного соединения составляет 2D, а во втором магистральная труба с радиусом поворота 1.5D и дополнительным прямолинейным участком длиной D располагается на расстоянии 2D против потока от соединения. Среднерасходная скорость одинакова для обоих экспериментов, а объемная скорость поддерживается постоянной на протяжении всех экспериментов и составляет U0 и 0.68U0 в магистральной трубе и патрубке соответственно. Температура воды на входе в патрубок равна T0, а на входе в магистральную трубу T0 + ∆T. Стенки обеих труб теплоизолированы. Соответствующее число Рейнольдса, построенное по U0 и D, равно 390000, а число Прандтля Pr = 3.7.
Рис. 7. Расчетная область и граничные условия для прямой (а) и поворотной (б) геометрий; начало координат находится в точке пересечения осей магистральной трубы и патрубка.
Расчетная сетка состоит из примерно 4.4 × 106 и 6.6 × 106 шестигранных ячеек для прямой и поворотной конфигураций. Шаги сетки в продольном и азимутальном направлениях составляют 10% и 5% от толщины пограничного слоя, что соответствует рекомендациям для IDDES-расчетов [15]. Шаг по нормали к стенке изменяется от пристеночного значения, обеспечивающего выполнение условия ∆yw+ < 1, до 5% толщины пограничного слоя в ядре течения. Шаг по времени составляет ∆t = 0.004D/U0, что обеспечивает максимальное число Куранта меньше единицы в большей части области.
Граничные условия задаются следующим образом. На стенках используются условия прилипания и непроницаемости для скорости и адиабатические условия для температуры. Граничные условия на входных границах базируются на предварительных расчетах течения в трубе до сечения, в котором толщина пограничного слоя совпадает с экспериментальной. Задаваемые на входе нестационарные профили скорости являются суммой стационарного профиля скорости и турбулентных пульсаций, рассчитанных с помощью STG [22]. Для температуры на входе задаются стационарные входные профили, извлеченные из тех же RANS-решений. Наконец, на выходе задавалось постоянное давление, а остальные величины вычислялись путем линейной экстраполяции изнутри расчетной области.
2.2. Результаты расчетов.
На рис. 8 приведено сравнение расчетных и экспериментальных радиальных профилей средних скорости и температуры и их среднеквадратичных отклонений в сечении x/D = 0.5 (рис. 7) для прямой и поворотной конфигураций. Максимальное различие результатов расчетов и экспериментальных данных наблюдается для среднеквадратичного отклонения скорости в нижней части магистральной трубы (при –0.5 < z/D < 0.15), т.е. вне зоны смешения (аналогичные результаты получены с использованием LES в [4]). В то же время для обеих конфигураций как расчетные профили средней температуры, так и ее среднеквадратичного отклонения, которые являются наиболее важными величинами с точки зрения термической усталости, хорошо согласуются с соответствующими экспериментальными профилями. Таким образом, полученные результаты свидетельствуют о том, что зонный RANS–IDDES-подход обеспечивает инженерную точность расчета теплообмена в Т-образных соединениях как с прямой, так и с изогнутой магистральной трубой, что оправдывает его применение для параметрических исследований этого типа течений.
Рис. 8. Сравнение профилей средней продольной скорости (а), ее среднеквадратичного отклонения (б) и профилей средней температуры (в) и ее среднеквадратичного отклонения (г) при x/D = 0.5: 1 – эксперимент, прямая конфигурация; 2 – расчет по зонной IDDES, прямая; 3 – эксперимент, поворотная; 4 – расчет по зонной IDDES, поворотная.
3. Параметрическое исследование влияния направления изгиба магистральной трубы и расстояния от изгиба до Т-образного соединения
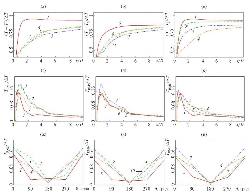
Для оценки этих эффектов было выбрано девять конфигураций входной части магистральной трубы, характеризующихся различными углами между коленом и патрубком в плоскости YZ (φ = 0°, 90°, 180°) и расстояниями от колена до патрубка (L/D = 1, 2, 4). Конфигурация с φ = 0° и L/D = 2 соответствует экспериментальной установке [2], представленной в предыдущем разделе. Постановки задач в этих расчетах идентичны постановке, представленной в разд. 2.1.
Анализ контуров мгновенной завихренности, наложенных на линии тока осредненного течения (рис. 9), свидетельствуют о том, что с увеличением угла – слой смешения, отрывающийся от внутренней поверхности колена, внутри магистральной трубы удаляется от патрубка и происходит заметное уменьшение размеров зоны смешения потоков за T-образным соединением. Что касается влияния параметра L/D, то его увеличение приводит к утолщению упомянутого слоя смешения и к уменьшению зоны смешения за Т-образным соединением.
Рис. 9. Влияние угла φ и расстояния L/D между коленом и патрубком на контуры мгновенной завихренности и линии тока осредненного течения в плоскости y = 0.
Описанные выше изменения структуры течения оказывают значительное влияние на средние и мгновенные поля температуры, которое наиболее сильно проявляется в области Т-образного соединения. Как видно из продольных распределений средней температуры при L/D = 1 (рис. 10а), увеличение угла φ от 0° до 90° приводит к сильному падению температуры до уровня, соответствующего прямой магистральной трубе. При дальнейшем увеличении φ (от 90° до 180°) эта тенденция не меняется, но становится значительно менее выраженной (рис. 10б). Наконец, при фиксированном значении угла φ температура снижается с увеличением L/D и постепенно приближается к соответствующему профилю в асимптотическом случае L/D → ∞ (прямая магистральная труба) – рис. 10в.
Рис. 10. Влияние параметров φ и L/D на распределения средней температуры (a)–(в) и ее среднеквадратичного отклонения (г)–(е) вдоль линии z = 0.5 в плоскости y = 0, а также на азимутальные распределения максимальных среднеквадратичных отклонений температуры (ж)–(и): 1 – L/D = 1, φ = 0°; 2 – 1, 90°; 3 – 1, 180°; 4 – прямая конфигурация; 5 – 4, 0°; 6 – 4, 90°; 7 – 4, 180°; 8 – 2, 0°; 9 – 2, 90°; 10 – 2, 180°.
Влияние увеличения угла φ на среднеквадратичное отклонение температуры (рис. 10г, 10д) противоположно влиянию на температуру (среднеквадратичное отклонение увеличивается с ростом φ) и менее выражено. Это также верно для влияния расстояния L/D: его увеличение приводит к росту среднеквадратичного отклонения температуры (рис. 10е).
Представленные данные свидетельствуют о том, что конфигурации с φ = 180° и малыми значениями L/D являются наиболее опасными с точки зрения термической усталости конструкции. Этот вывод наглядно иллюстрируют рис. 10ж–10и, на которых представлены азимутальные распределения максимальных среднеквадратичных отклонений температуры стенки при различных значениях φ и L/D. Данное обстоятельство следует учитывать при проектировании трубопроводов.
Заключение
Проведено сравнительное исследование возможностей различных глобальных (DDES, IDDES, SAS) и зонных (RANS–IDDES) вихреразрешающих подходов к моделированию турбулентности для предсказания средних и пульсационных характеристик теплообмена в трубопроводах с T-образными соединениями. Результаты моделирования тестового течения Vattenfall, экспериментально изученного в [18], свидетельствуют о том, что все рассмотренные подходы обеспечивают весьма точное предсказание мгновенных и средних полей скорости и температуры за Т-образным соединением. Однако по точности предсказания среднеквадратичного отклонения температуры глобальные подходы несколько уступают зонному RANS–IDDES-подходу, обеспечивающему значительно лучшее согласие с экспериментальными данными. Этот метод также оказывается вполне применимым для расчета более сложных конфигураций, в том числе конфигураций с поворотами магистральной трубы, расположенными выше по потоку от Т-образного соединения. С использованием зонного RANS–IDDES проведено параметрическое исследование таких конфигураций. Результаты расчетов свидетельствуют о том, что азимутальный угол между патрубком и коленом магистральной трубы, расположенным выше Т-образного соединения, сильно влияет на флуктуации температуры на стенке магистральной трубы. В частности, если патрубок и колено магистральной трубы направлены в противоположные стороны, максимум среднеквадратичного отклонения температуры на стенке магистральной трубы примерно на 40% превышает эту величину для геометрии с сонаправленными патрубком и коленом, что свидетельствует о большей опасности таких конфигураций с точки зрения термической усталости. Расстояние между коленом и патрубком оказывает относительно слабое (менее 25%) влияние на пульсации температуры на стенке, но заметно влияет на тепловое перемешивание потоков за стыком: его эффективность возрастает с увеличением расстояния между коленом и патрубком.
Расчеты проведены с использованием вычислительных ресурсов суперкомпьютерного центра СПбПУ «Политехнический» при финансовой поддержке Минобрнауки России в рамках реализации программы Научного центра мирового уровня по направлению «Передовые цифровые технологии» СПбПУ (соглашение № 075-15-2022-311 от 20.04.2022 г.).
About the authors
А. В. Гарбарук
Санкт-Петербургский политехнический университет Петра Великого
Author for correspondence.
Email: agarbaruk@cfd.spbstu.ru
Russian Federation, Санкт-Петербург
М. С. Грицкевич
Санкт-Петербургский государственный морской технический университет
Email: agarbaruk@cfd.spbstu.ru
Russian Federation, Санкт-Петербург
References
- Boley B.A., Weiner J.W. Theory of Thermal Stresses. N.Y.: John Wiley, 1960. 586 p.
- Kimura N., Ogawa H., Kamide H. Experimental Study on Fluid Mixing Phenomena in T-pipe Junction with Upstream Elbow // Nucl. Eng. Des. 2010. V. 240. P. 3055.
- Tunstall R., Laurence D., Prosser R., Skillen A. Large Eddy Simulation of a T-Junction with Upstream Elbow: The Role of Dean Vortices in Thermal Fatigue // Appl. Therm. Eng. 2016. V. 107. P. 672.
- Lu T., Attinger D., Liu S.M. Large-eddy Simulations of Velocity and Temperature Fluctuations in Hot and Cold Fluids Mixing in a Tee Junction with an Upstream Straight or Elbow Main Pipe // Nucl. Eng. Des. 2013. V. 263. P. 32.
- Харламов С.Н., Фатьянов Д.С. Моделирование пространственных течений вязких сред в системе каналов с участками соединений сложной формы // Изв. Томск. политехн. ун-та. Инжиниринг георесурсов. 2021. Т. 332. № 5. С. 70.
- Курносов М.М. Разработка расчетной модели для определения локальных параметров теплоносителя в тройниковых соединениях трубопроводов реакторных установок ВВЭР. Дис. … канд. техн. наук. Подольск: ОАО ОКБ «Гидропресс», 2014. 162 с.
- Тупоносов Ф.В., Артемов В.И., Яньков Г.Г. и др. Моделирование процессов смешения однофазных сред в тройниковых соединениях // Теплоэнергетика. 2023. № 9. С. 45.
- Braillard O., Jarny Y., Balmigere G. Thermal Load Determination in the Mixing Tee Impacted by a Turbulent Flow Generated by Two Fluids at Large Gap of Temperature // Proc. 13th Int. Conf. on Nuclear Engineering (ICONE13-50361). Beijing. China. 16–20 May. 2005.
- Frank T., Lifante C., Prasser H.-M., Menter F. Simulation of Turbulent and Thermal Mixing in T-junctions Using URANS and Scale-resolving Turbulence Models in ANSYS CFX // Nucl. Eng. Des. 2010. V. 240. P. 2313.
- Hu L.-W., Kazimi M.S. Large Eddy Simulation of Water Coolant Thermal Striping in a Mixing Tee Junction // Proc. 10th Int. Topical Meeting in Nuclear Reactor Thermal Hydraulics (NURETH-10). Seoul. Korea. 5–9 Oct. 2003. 10 p.
- Igarashi M., Tanaka M., Kimura N., Kamide H. Study on Fluid Mixing Phenomena for Evaluation of Thermal Striping in a Mixing Tee // Proc. 10th Int. Topical Meeting in Nuclear Reactor Thermal Hydraulics (NURETH-10). Seoul. Korea. 5–9 Oct. 2003. 12 p.
- Ohtsuka M., Kawamura T., Fukuda T., Moriya S., Shiina K., Kurosaki M., Minami Y., Madarame H. LES Analysis of Fluid Temperature Fluctuations in a Mixing Tee Pipe with the Same Diameters // Proc.11th Int. Conf. on Nuclear Engineering (ICONE 11-36064). Tokyo. Japan. 20–23 Apr. 2003.
- Spalart P.R., Jou W.H., Strelets M., Allmaras S.R. Comments on the Feaslibility of LES for Wings, and on a Hybrid RANS/LES Approach // Proc. 1st AFOSR Int. Conf. on DND/LES. 1997. 11 p.
- Spalart P.R., Deck S., Shur M.L., Squires K.D., Strelets M.K., Travin A. A New Version of Detached-eddy Simulation, Resistant to Ambiguous Grid Densities // Theor. Comput. Fluid Dyn. 2006. V. 20. P. 181.
- Shur M.L., Spalart P.R., Strelets M.Kh., Travin A.K. A Hybrid RANS-LES Approach with Delayed-DES and Wall-modeled LES Capabilities // Int. J. Heat Fluid Flow. 2008. V. 29. P. 1638.
- Gritskevich M.S., Garbaruk A.V., Schütze J., Menter F.R. Development of DDES and IDDES Formulations for the k–ω Shear Stress Transport Model // Flow Turbul. Combust. 2012. V. 88. P. 431.
- Menter F.R., Egorov Y. The Scale-adaptive Simulation Method for Unsteady Turbulent Flow Predictions. Part 1: Theory and Model Description // Flow Turbul. Combust. 2010. V. 85.P. 113.
- Odemark Y., Green T.M., Angele K., Westin J., Alavyoon F., Lundström S. High-cycle Thermal Fatigue in Mixing Tees: New Large-eddy Simiulations Validated Against New Data Obtained by PIV in the Vattenfall Experiment // Proc. 17th Int. Conf. on Nuclear Engineering. Brussels. Belgium. 12–16 July. 2009.
- Mahaffy J. Synthesis of Results for the T-Junction Benchmark // Proc. CFD4NRS-3 Conf. on Experimental Validation of CFD and CMFD Codes to Nuclear Reactor Safety Issues. Washington. DC. USA. 14–16 Sept. 2010.
- OECD/NEA T-Junction Benchmark Specifications // OECD/NEA & Vattenfall. 2009.
- Smith B.L., Mahaffy J.H., Angele K., Westin J. Report of the OECD/NEA-Vattenfall T-Junction Benchmark Exercise. Report No. NEA/CSNI/R(2011)-5. 2011. 92 p.
- Shur M.L., Spalart P.R., Strelets M. Kh., Travin A.K. Synthetic Turbulence Generator for RANS-LES Interfaces in Zonal Simulations of Aerodynamic and Aeroacoustic Problems // Flow Turbul. Combust. 2014. V. 93(1). P. 63.
- ANSYS Fluent Manual: Release 16.0. ANSYS Inc. Canonsburg. 2016.
- Menter F.R., Kuntz M., Langtry R. Ten Years of Experience with the SST Turbulence Model // Proc. 4th Int. Symp. on Turbulence, Heat and Mass Transfer. 2003. P. 625.
- Rhie C.M., Chow W.L. Numerical Study of the Turbulent Flow Past an Airfoil with Trailing Edge Separation // AIAA J. 1983. V. 21. P. 1525.
- Faidy C. Thermal Fatigue in Mixing Tees: Status and Justification of French Assessment Method // 12th Int. Conf. on Nuclear Engineering. 25–29 Apr. 2004. 8 p.
Supplementary files












