Влияние добавки олова на теплофизические свойства и термодинамические функции алюминиевого сплава AlFe5Si10
- Авторы: Ганиев И.Н.1, Холмуродов Ф.2, Сафаров А.Г.2, Нуров Н.Р.2, Якубов У.Ш.1, Ботуров К.2
-
Учреждения:
- Институт химии им. В.И. Никитина НАН Таджикистана
- Физико-технический институт им. С.У. Умарова НАН Таджикистана
- Выпуск: Том 62, № 1 (2024)
- Страницы: 48-55
- Раздел: Теплофизические свойства веществ
- URL: https://journals.rcsi.science/0040-3644/article/view/272366
- DOI: https://doi.org/10.31857/S0040364424010075
- ID: 272366
Цитировать
Полный текст
Аннотация
В режиме охлаждения исследована температурная зависимость удельной теплоемкости и изменения термодинамических функций алюминиевого сплава AlFe5Si10 с оловом в интервале температур 300–800 К. Показано, что с увеличением концентрации олова теплоемкость, коэффициент теплоотдачи алюминиевого сплава AlFe5Si10 уменьшаются, а с увеличением температуры растут. Установлено, что с возрастанием температуры энтальпия и энтропия сплавов увеличиваются, энергия Гиббса уменьшается, а при повышении содержания олова в сплаве наблюдается обратная зависимость.
Полный текст
ВВЕДЕНИЕ
В современных материалах должны сочетаться высокие значения свойств и качество для обеспечения необходимого ресурса и надежности работы изделий авиационно-космической техники, машиностроения, атомной энергетики, радиотехники, электроники и т.д. В связи с этим особое значение приобретают производство и использование сплавов алюминия, обладающих высокой коррозионной стойкостью, механической прочностью и другими специфическими свойствами.
Особый интерес для современного машиностроения представляют высокопрочные литейные алюминиевые сплавы со свойствами идентичных деформируемых сплавов. Основным фактором, определяющим механические и технологические свойства литейного сплава, является состав, в том числе и содержание вредных примесей и газов, зависящее от технологии плавки, а также состава исходных материалов и флюсов [1, 2].
К настоящему времени значительно возросли требования к новым конструкционным материалам с высокими эксплуатационными характеристиками, в частности коррозионной устойчивостью. Следовательно, разработка таких материалов на основе сплавов алюминия с малыми добавками модифицирующих элементов, обладающих повышенными показателями коррозионной устойчивости, является требованием времени и новой техники. Большой интерес к сплавам системы Al–Fe связан с высоким содержанием во вторичном алюминии железа (5–6%) и с тем, что он не находит широкого применения из-за низких прочностных характеристик [3].
Примеси железа в алюминии оказывают существенное влияние на качество алюминия. С увеличением их количества значительно ухудшается коррозионная стойкость. При этом уменьшаются электропроводность и пластичность, повышается прочность металла. Такой металл по примесям не укладывается в рамки требований ГОСТ Р 55375–2012 на первичный алюминий и не находит потребителя, за исключением использования для раскисления и дегазации стали [4, 5].
Следовательно, разработка прецизионных сплавов на основе некондиционного алюминия путем его легирования третьим элементом является актуальной задачей. Подобный подход позволяет превратить некондиционный металл в нужный и полезный продукт для техники. Иногда для блокировки отрицательного влияния железа сплавы легируют марганцем в количествах 0.5–1.0%. В фазе до 1/10 часть атомов железа может замещаться атомами марганца. В результате образуется новая фаза (Fe, Mn)Al3. Кристаллы указанной фазы отличаются более компактной формой, в отличие от игольчатой структуры фазы FeAl3 [6, 7].
Для изменения формы кристаллов интерметаллида в эвтектике α-Al + FeAl3, т.е. ее модификации, в качестве модифицирующего элемента выбрано металлическое олово как поверхностно активный компонент тройного сплава. Подобный подход позволяет разработать новые композиции сплавов на основе алюминия. Выбор исходного сплава Al + 5 мас. % Fe + + 10 мас. % Si объясняется тем, что состав данного сплава включает эвтектики α-Al + FeAl3 и α-Al + Si + FeSiAl5, которые примыкают к алюминиевому углу системы Al–Fe–Si и плавятся при температуре 670–727°С [6, 7].
Одной из важнейших характеристик сплавов является теплоемкость. Данные о теплоемкости дают возможность решать насущные задачи фундаментальной термодинамики конденсированных сред, особенно если учесть их исключительную важность с научно-технической точки зрения [8–14].
Эти сведения позволяют определить области практического использования новых материалов на основе алюминия с улучшенными физическими свойствами [15–17].
Цель работы заключается в исследовании влияния добавок олова на температурную зависимость теплоемкости и термодинамических функций алюминиевого сплава AlFe5Si10, предназначенного для использования в качестве анодного материала при литье протекторов для защиты от коррозии стальных конструкций.
МАТЕРИАЛЫ, ТЕОРИЯ МЕТОДА И ОПИСАНИЕ УСТАНОВКИ
Сплав алюминия AlFe5Si10 (Al + 5 мас. % Fe + + 10 мас. % Si) с оловом был получен в шахтной лабораторной печи сопротивления типа СШОЛ при температуре 750–800°С путем добавления в расплав алюминия расчетного количества ингредиентов и олова марки 03 (98.49% Sn, ГОСТ 860-75). Полученные сплавы подвергались химическому анализу в Центральной заводской лаборатории Таджикской алюминиевой компании ГУП “ТАлКо” (г. Турсунзаде, Республика Таджикистан). Взвешиванием контролировались массы шихты и полученных сплавов. В случае отклонения массы сплавов более чем на 2% (отн.) синтез сплавов проводился заново.
Из полученных таким образом расплавов в металлический кокиль отливались цилиндрические образцы диаметром 16 мм и длиной 30 мм заданной формы для исследования теплоемкости.
Один из методов определения теплоемкости материалов заключается в сравнении кривых охлаждения двух образцов, один из которых является эталоном с известной теплоемкостью [18].
Физические основы предлагаемого метода измерения состоят в следующем. Механизм теплопередачи образцов при охлаждении обусловлен теплопроводностью окружающей среды, конвекцией и излучением. Для первых двух процессов (теплопроводности среды и конвекции) считается, что тепловой поток J от нагретого тела пропорционален разности между температурой поверхности образца T и температурой окружающей среды Т0 (закон Ньютона–Рихмана):
Коэффициент теплопередачи α зависит от большого количества параметров, и для него невозможно дать общую формулу. Поэтому на практике коэффициент теплоотдачи определяется экспериментально.
Температура при охлаждении тела спадает по экспоненте, если теплоемкость и коэффициент теплопередачи постоянны, а окружающая среда бесконечна и однородна. Действительно, уравнение теплового баланса
здесь имеет вид
где – удельная теплоемкость тела; m – его масса. Решением данного уравнения является выражение
где T – начальная температура, – время тепловой релаксации.
При условии выполнения всех вышеуказанных требований теплоемкость материала образца определяется из измеренного по термограмме параметра релаксации τ. Поскольку величина α неизвестна, параллельные измерения необходимо выполнять и с эталонным образцом с известной теплоемкостью и теми же размерами. При этом условия охлаждения должны быть идентичными. Допуская, что коэффициент α у обоих образцов одинаков, теплоемкость измеряемого материала можно найти по формуле
где – теплоемкость эталонного материала; mx, mэ – массы исследуемого и эталонного образцов; τх, τэ – измеренное время тепловой релаксации для этих образцов:
τэ = (dT/dτ)1, τx = (dT/dτ)2.
Данный метод допускает:
- постоянство Cx, Cэ и α при изменении температуры;
- охлаждение в бесконечной среде;
- температуры образцов, при которых излучением можно пренебречь по сравнению с теплопроводностью и конвекцией.
Разбив термограмму на узкие интервалы температур, в которых теплоемкости и коэффициент α предполагаются постоянными, можно определить зависимости Cx, Cэ от температуры. При этом для каждого температурного интервала находятся свои параметры тепловой релаксации τх(Т) и τэ(Т), которые и используются для расчета Сx(Т) [19].
В данной работе определены средние теплоемкости по всему измеряемому интервалу температур. Для всех образцов коэффициенты теплопередачи α предполагаются одинаковыми.
Далее строятся кривые охлаждения эталона и исследуемых образцов, которые используются для определения скоростей охлаждения. Кривая охлаждения, т.е. термограмма, представляет собой зависимость температуры образца от времени при его охлаждении в неподвижном воздухе.
Измерение теплоемкости проводилось по методике, описанной в работах [20–23]. Схема установки представлена на рис. 1. Она включает в себя электропечь 3, которая смонтирована на стойке 6 и может перемещаться вверх и вниз (стрелкой показано направление перемещения). Образец 4 и эталон 5 (которые тоже могут перемещаться). С одного конца образцов высверлены каналы, в которые вставляются термопары. К цифровым многоканальным термометрам 7, подсоединенным к компьютеру 8, подведены концы термопар.
Рис. 1. Схема установки для определения теплоемкости твердых тел в режиме охлаждения.
Теплоемкость сплава алюминия AlFe5Si10 с оловом измерялась в режиме охлаждения. В качестве эталона использовалась медь особой степени чистоты марки М00 (99.999% Cu), полученная зонной очисткой. Построение графиков и обработка результатов измерений производились с помощью программ MS Excel и SigmaPlot. Величина коэффициента корреляции составила Rкорр = 0.998. Временной интервал фиксации температуры выбран равным 10 с. Относительная погрешность измерения температуры в интервале от 40 до 400°С составляла ±1%, при более высоких температурах (>400°С) – ±2.5%. В данной работе погрешность измерения теплоемкости не превышала 1%.
Предварительно для определения погрешности метода измерялась теплоемкость меди марки М00 по отношению к алюминию марки А7 и наоборот. Результаты измерения для трех параллельных экспериментов представлены в табл. 1, 2. Установленное значение погрешности измерений теплоемкости меди марки М00 не превышает 1%. Далее в качестве эталона взята медь марки М00. С этой точки зрения именно медь является более надежным металлом, поскольку она характеризуется более высокой температурой плавления и достоверными значениями теплоемкости, определенными многими авторами разными методами [24].
Таблица 1. Экспериментальные значения скоростей охлаждения (dT/dτ, К/с) образцов из меди марки М00 и эталона (Al марки A7)
T, К | Cu марки М00 | Эталон (Al марки А7) | ||||
первое измерение | второе измерение | третье измерение | первое измерение | второе измерение | третье измерение | |
300 | 0.0289 | 0.0063 | 0.0141 | 0.5911 | 0.0345 | 0.0442 |
400 | 0.2236 | 0.0728 | 0.1116 | 0.8817 | 0.0130 | 0.0124 |
500 | 0.3938 | 0.1852 | 0.2183 | 0.9975 | 0.0275 | 0.0262 |
600 | 0.5444 | 0.3443 | 0.3052 | 1.0033 | 0.0443 | 0.0896 |
700 | 0.6804 | 0.5512 | 0.3717 | 0.9639 | 0.0639 | 0.1956 |
800 | 0.8066 | 0.8069 | 0.4172 | 0.9441 | 0.0868 | 0.3628 |
Таблица 2. Теплоемкость (кДж/(кг К)) меди марки М00 и эталона (Al марки A7)
T, К | Cu марки М00 по данным [24] | Cu марки М00 | Эталон (Al марки А7) по данным [25] | ||
первое измерение | второе измерение | третье измерение | |||
300 | 0.3850 | 0.3759 | 0.3699 | 0.3678 | 0.9032 |
400 | 0.3977 | 0.3883 | 0.3820 | 0.3800 | 0.9472 |
500 | 0.4080 | 0.3984 | 0.3919 | 0.3899 | 0.9879 |
600 | 0.4169 | 0.4070 | 0.4004 | 0.3984 | 1.0306 |
700 | 0.4251 | 0.4151 | 0.4083 | 0.4064 | 1.0803 |
800 | 0.4336 | 0.4234 | 0.4164 | 0.4146 | 1.1424 |
Сравнение экспериментально полученных значений теплоемкости меди по отношению к Al марки А7 показывает почти 99%-ную сходимость с данными [24].
ЭКСПЕРИМЕНТАЛЬНЫЕ РЕЗУЛЬТАТЫ И ОБСУЖДЕНИЕ
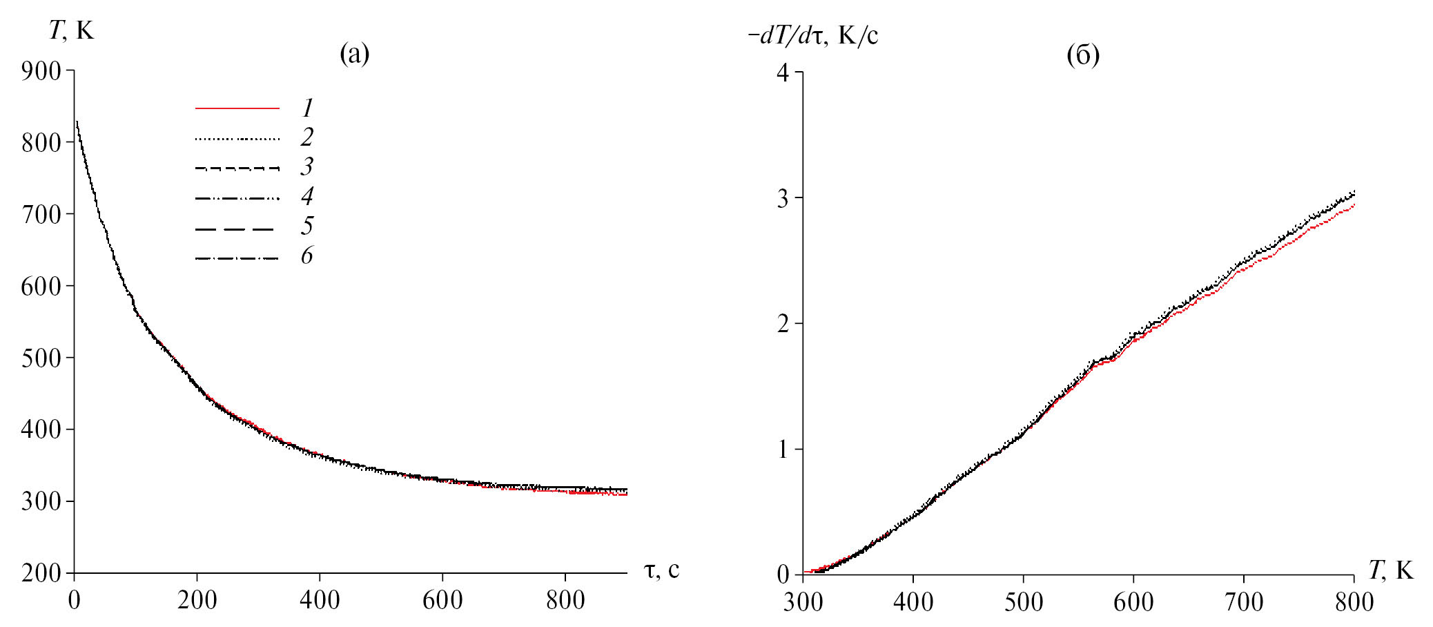
Экспериментально полученные кривые охлаждения образцов из сплава алюминия AlFe5Si10 с оловом представлены на рис. 2а. Термограммы Т = f (τ) образцов из сплавов описываются уравнением вида
(1)
где a, b, p, k – постоянные для данного образца, τ – время охлаждения.
Рис. 2. Зависимости температуры от времени (а) и скорости охлаждения от температуры (б) образцов эталона (1) и алюминиевого сплава AlFe5Si10 с оловом: 2 – AlFe5Si10, 3 – AlFe5Si10 + 0.05% Sn, 4 – 0.1%, 5 – 0.5%, 6 – 1.0%.
Дифференцируя (1) по τ, получаем уравнение, c помощью которого можно определить скорости охлаждения образцов из сплавов:
(2)
Экспериментально полученные термограммы (рис. 2а) и графики скорости охлаждения образцов из сплавов (рис. 2б) описываются полиномами (1), (2). Компьютерная обработка уравнения (2) позволила установить значения коэффициентов a, b, p, k (табл. 3) для исследованных сплавов.
Таблица 3. Значения коэффициентов a, b, p, k в уравнении (2) для алюминиевого сплава AlFe5Si10 с оловом и эталона (Cu марки M00)
Содержание олова в сплаве, мас. % | a, К | b × 10–3, с–1 | p, К | k × 10–5, с–1 |
0.0 | 488.57 | 6.64 | 309.43 | 5.30 |
0.05 | 485.38 | 6.64 | 332.15 | 4.91 |
0.1 | 485.38 | 6.64 | 331.25 | 4.91 |
0.5 | 485.38 | 6.64 | 331.85 | 4.91 |
1.0 | 485.38 | 6.64 | 331.05 | 4.91 |
Эталон | 481.34 | 6.48 | 329.32 | 8.12 |
С использованием рассчитанных значений скоростей охлаждения образцов по уравнению (2) вычислена удельная теплоемкость сплава алюминия AlFe5Si10 с оловом. Результаты расчета свидетельствуют о том, что температурные зависимости удельной теплоемкости сплавов и эталона (Cu марки М00) описываются уравнением вида
(3)
Значения коэффициентов в уравнении температурной зависимости теплоемкости (3) для алюминиевого сплава AlFe5Si10 с оловом представлены в табл. 4.
Таблица 4. Значения коэффициентов f, g, с, d в уравнении (3) для алюминиевого сплава AlFe5Si10 с оловом и эталона (Cu марки М00)
Содержание олова в сплаве, мас. % | f, Дж/(кг К) | g, Дж/(кг К2) | с × 10–2, Дж/(кг К3) | d × 10–5, Дж/(кг К4) | Коэффициент корреляции Rкорр |
0.0 | –4049.29 | 29.50 | –5.33 | 3.13 | 0.999 |
0.05 | –4049.31 | 29.50 | –5.33 | 3.13 | 0.998 |
0.1 | –4049.49 | 29.50 | –5.33 | 3.13 | 0.998 |
0.5 | –4048.32 | 29.49 | –5.33 | 3.13 | 0.998 |
1.0 | –4048.35 | 29.49 | –5.33 | 3.13 | 0.998 |
Эталон | 324.45 | 0.275 | –0.03 | 0.01 | 1.00 |
В табл. 5 и на рис. 3а приведены результаты расчета температурных зависимостей удельной теплоемкости алюминиевого сплава AlFe5Si10 с оловом и эталона (Сu марки М00) с шагом 100 К. Видно, что в исследованном температурном интервале с ростом температуры теплоемкость сплава AlFe5Si10, легированного оловом, растет, а с увеличением содержания олова уменьшается.
Таблица 5. Температурные зависимости удельной теплоемкости (Дж/(кг К)) сплава AlFe5Si10 с оловом и эталона (Cu марки М00)
Содержание олова в сплаве, мас. % | Т, К | |||||
300 | 400 | 500 | 600 | 700 | 800 | |
0.0 | 848.81 | 1225.91 | 1288.21 | 1223.51 | 1219.61 | 1464.31 |
0.05 | 848.78 | 1225.88 | 1288.18 | 1223.48 | 1219.58 | 1464.28 |
0.1 | 848.61 | 1225.71 | 1288.01 | 1223.31 | 1219.41 | 1464.11 |
0.5 | 848.58 | 1225.28 | 1287.18 | 1222.08 | 1217.78 | 1462.08 |
1.0 | 848.55 | 1225.25 | 1287.15 | 1222.05 | 1217.75 | 1462.05 |
Эталон | 384.98 | 397.66 | 408.00 | 416.86 | 425.100 | 433.55 |
Рис. 3. Температурные зависимости удельной теплоемкости (а) и коэффициента теплоотдачи (б) образцов: 1 – эталона, 2 – AlFe5Si10, 3 – AlFe5Si10 + 0.05% Sn, 4 – 0.1%, 5 – 0.5%, 6 – 1.0%.
Используя вычисленные данные по теплоемкости сплава AlFe5Si10 c оловом и экспериментально полученные скорости охлаждения образцов, можно рассчитать коэффициент теплоотдачи для сплава AlFe5Si10 с оловом и эталона по следующей формуле
Для сплава AlFe5Si10 c оловом температурная зависимость коэффициента теплоотдачи представлена на рис. 3б. С ростом температуры коэффициент теплоотдачи увеличивается, а с увеличением содержания олова в сплаве – уменьшается.
Для расчета температурных зависимостей изменений энтальпии, энтропии и энергии Гиббса для сплава AlFe5Si10, легированного оловом, используются интегралы от удельной теплоемкости по уравнению (3):
Результаты расчета термодинамических функций сплавов представлены в табл. 6. С ростом температуры энтальпия и энтропия увеличиваются, значение энергии Гиббса уменьшается. Указанные характеристики сплавов имеют обратную зависимость от содержания олова.
Таблица 6. Температурные зависимости изменений термодинамических функций сплава AlFe5Si10 с оловом и эталона (Cu марки М00)
Содержание олова в сплаве, мас. % | H0(T) – H0(T0*), кДж/кг | |||||
300 К | 400 К | 500 К | 600 К | 700 К | 800 К | |
0.0 | 1.56 | 108.70 | 236.25 | 362.11 | 482.98 | 614.32 |
0.05 | 1.56 | 108.70 | 236.24 | 362.10 | 482.97 | 614.31 |
0.1 | 1.56 | 108.68 | 236.21 | 362.05 | 482.90 | 614.22 |
0.5 | 1.56 | 108.66 | 236.12 | 361.86 | 482.57 | 613.71 |
1.0 | 1.56 | 108.66 | 236.12 | 361.85 | 482.55 | 613.69 |
Эталон | 0.71 | 39.87 | 80.17 | 121.42 | 163.52 | 206.44 |
S0(T) – S0(T0*), кДж/(кг К) | ||||||
0.0 | 0.005 | 0.31 | 0.59 | 0.83 | 1.01 | 1.19 |
0.05 | 0.005 | 0.31 | 0.59 | 0.83 | 1.01 | 1.19 |
0.1 | 0.005 | 0.31 | 0.59 | 0.83 | 1.01 | 1.19 |
0.5 | 0.005 | 0.31 | 0.59 | 0.82 | 1.01 | 1.18 |
1.0 | 0.005 | 0.31 | 0.59 | 0.82 | 1.01 | 1.18 |
Эталон | 0.002 | 0.12 | 0.21 | 0.28 | 0.35 | 0.40 |
G0(T) – G0(T0*), кДж/кг | ||||||
0.0 | –0.005 | –15.64 | –61.35 | –132.81 | –224.86 | –334.66 |
0.05 | –0.005 | –15.63 | –61.35 | –132.80 | –224.86 | –334.65 |
0.1 | –0.005 | –15.63 | –61.35 | –132.78 | –224.82 | –334.60 |
0.5 | –0.005 | –15.63 | –61.33 | –132.74 | –224.73 | –334.43 |
1.0 | –0.005 | –15.63 | –61.32 | –132.74 | –224.72 | –334.42 |
Эталон | –0.002 | –6.11 | –22.24 | –46.59 | –77.90 | –115.31 |
Примечание. T0* = 298.15 К.
ЗАКЛЮЧЕНИЕ
- В режиме охлаждения по известной теплоемкости эталонного образца из меди марки М00 установлена температурная зависимость теплоемкости алюминиевого сплава AlFe5Si10 с оловом.
- Определены полиномы, описывающие температурные зависимости теплоемкости и изменений термодинамических функций (энтальпия, энтропия, энергия Гиббса) сплава AlFe5Si10 с оловом в интервале температур 300–800 К.
- Показано, что с ростом температуры теплоемкость, коэффициент теплоотдачи, энтальпия и энтропия сплавов увеличиваются, а энергия Гиббса уменьшается. В изученном концентрационном интервале (0.05–1.0 мас. %) добавки олова снижают теплоемкость, энтальпию и энтропию алюминиевого сплава и увеличивают энергию Гиббса.
Об авторах
И. Н. Ганиев
Институт химии им. В.И. Никитина НАН Таджикистана
Автор, ответственный за переписку.
Email: ganievizatullo48@gmail.com
Таджикистан, Душанбе
Ф. Холмуродов
Физико-технический институт им. С.У. Умарова НАН Таджикистана
Email: ganievizatullo48@gmail.com
Таджикистан, Душанбе
А. Г. Сафаров
Физико-технический институт им. С.У. Умарова НАН Таджикистана
Email: ganievizatullo48@gmail.com
Таджикистан, Душанбе
Н. Р. Нуров
Физико-технический институт им. С.У. Умарова НАН Таджикистана
Email: ganievizatullo48@gmail.com
Таджикистан, Душанбе
У. Ш. Якубов
Институт химии им. В.И. Никитина НАН Таджикистана
Email: ganievizatullo48@gmail.com
Таджикистан, Душанбе
К. Ботуров
Физико-технический институт им. С.У. Умарова НАН Таджикистана
Email: ganievizatullo48@gmail.com
Таджикистан, Душанбе
Список литературы
- Белецкий В.М., Кривов Г.А. Алюминиевые сплавы (состав, свойства, технология, применение). Киев: Комитех, 2005. 365 с.
- Луц А.Р., Суслина А.А. Алюминий и его сплавы. Самара: Самарск. гос. техн. ун-т, 2013. 81 с.
- Умарова Т.М., Ганиев И.Н. Коррозия двойных алюминиевых сплавов в нейтральных средах. Душанбе: Дониш, 2007. 258 с.
- Дриц М.Е. Алюминиевые сплавы. Свойства, обработка, применение. М.: Металлургия, 1979. 679 с.
- Chen X.G. Growth Mechanisms of Intermetallic Phases in DC Cast AA1XXX Alloys // Essential Readings in Light Metals. Cast Shop for Aluminum Production. 2013. V. 3. P. 460.
- Grange D.A. Microstructure Control in Ingots of Aluminum Alloys with an Emphasis on Grain Refinement // Essential Readings in Light Metals. Cast Shop for Aluminum Production. 2013. V. 3. P. 354.
- Geoffrey K.S. Fundamentals of Solidification in Aluminum Castings // Int. J. Metalcasting. 2014. V. 8. P. 7.
- Бергман Г.А., Вейц И.В., Медведов В.А., Хачкурузов Г.А., Юнгман В.С. Термодинамические свойства индивидуальных веществ. М.: Наука, 1981. 472 с.
- Исмаилов Н.Ш., Ибрагимов Х.А. Разработка малолегированного алюминиевого сплава для электротехнических изделий // Успехи современной науки. 2017. Т. 1. № 6. С. 236.
- Мальцев М.В. Модифицирование структуры металлов и сплавов. М.: Металлургия, 1984. 280 с.
- Гуреева М.А., Овчинников В.В., Манаков И.Н. Металловедение: макро- и микроструктуры литейных алюминиевых сплавов: учеб. пособ. М., 2019. 250 с.
- Сетюков О.А. Влияние железа и кремния на литейные свойства алюминиевых сплавов с марганцем // Технология легких сплавов. 2010. № 1. С. 32.
- Stanford N., Atwell D., Beer A., Daviesc C., Barnett M.R. Effect of Microalloying with Rare-earth Elements on the Texture of Extruded Magnesium-based Alloys // Scripta Mater. 2008. V. 59. № 7. P. 772.
- Иброхимов Н.Ф., Ганиев И.Н., Одинаев Х.О. Физикохимия сплава АМг2 с редкоземельными металлами. Душанбе: Тадж. техн. ун-т им. М.С. Осими, 2016. 153 с.
- Иванцов Г.П. Нагрев металла (теория и методы расчета). Свердловск; М.: Гос. науч.-техн. изд-во лит. по черной и цветной металлургии, 1948. 191 с.
- Багницкий В.Е. Обратные связи в физических явлениях. Германия: LAP Lambert Acad. Publ., 2014. 196 с.
- Киров С.А., Козлов А.В., Салецкий А.М., Харабадзе Д.Э. Измерение теплоемкости и теплоты плавления методом охлаждения: учеб. пособ. М.: ООП Физфак МГУ им. М.В. Ломоносова, 2012. 52 с.
- Еремина Р.М., Скворцов А.И., Мутыгуллина А.А. Экспериментальные задачи общего физического практикума по молекулярной физике и термодинамике. Процессы переноса. Жидкости и твердые тела. Казань: Казан. ун-т, 2015. 42 с.
- Рогачев Н.М., Гусева С.И. Определение удельной теплоемкости твердых тел: метод. указ. к лаб. работе № 1–23. Самара: Самарский. гос. аэрокосм. ун-т им. акад. С.П. Королева, 2012. 14 с.
- Ганиев И.Н., Сафаров А.Г., Одинаев Ф.Р., Якубов У.Ш., Кабутов К. Температурная зависимость теплоемкости и изменение термодинамических функций сплава АЖ4.5 с оловом // Изв. вузов. Цветная металлургия. 2019. № 1. С. 50.
- Ганиев И.Н., Рашидов А.Р., Одиназода Х.О., Сафаров А.Г., Джайлоев Дж.Х. Влияние добавок меди на теплоемкость и термодинамические функции алюминия марки А7Е // Изв. вузов. Цветная металлургия. 2020. № 3. С. 4.
- Ганиев И.Н., Абдулаков А.П., Джайлоев Д.Х., Якубов У.Ш., Сафаров А.Г., Абулхаев В.Д. Влияние добавок висмута на теплофизические и термодинамические свойства алюминиевого проводникового сплава E-AlMgSi (“алдрей”) // Изв. вузов. Материалы электронной техники. 2020. Т. 23. № 1. С. 86.
- Ганиев И.Н., Назарова М.Т., Якубов У.Ш., Сафаров А.Г., Курбонова М.З. Влияние лития на удельную теплоемкость и изменения термодинамических функций алюминиевого сплава АБ1 // ТВТ. 2020. Т. 58. № 1. С. 55.
- Зиновьев В.И. Теплофизические свойства металлов при высоких температурах. М.: Металлургия, 1989. 384 с.
- Низомов З., Гулов Б.Н., Ганиев И.Н., Саидов Р.Х., Обидов Ф.У., Эшов Б.Б. Исследование температурной зависимости удельной теплоемкости алюминия марок ОСЧ и А7 // Докл. АН Республики Таджикистан. 2011. Т. 54. № 1. С. 53.
Дополнительные файлы






