Dynamics of Bubbles in a Spherical Cluster under Increasing Liquid Pressure
- Authors: Nigmatulin R.I.1, Aganin A.A.1, Aganin I.A.1, Davletshin A.I.1
-
Affiliations:
- Institute of Mechanics and Mechanical Engineering, Kazan Scientific Center, Russian Academy of Sciences
- Issue: Vol 61, No 5 (2023)
- Pages: 744-751
- Section: Heat and Mass Transfer and Physical Gasdynamics
- URL: https://journals.rcsi.science/0040-3644/article/view/252368
- DOI: https://doi.org/10.31857/S0040364423050101
- ID: 252368
Cite item
Full Text
Abstract
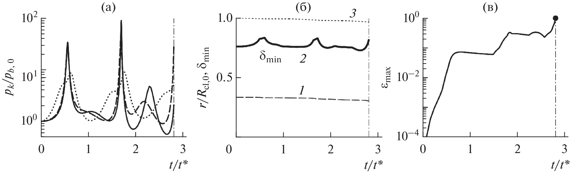
The response of gas (air) bubbles in a spherical cluster to an increase in the pressure of the surrounding liquid (water) is considered. Consideration is carried out only until a bubble in the cluster disintegrates or collides with another bubble. The influence of the amplitude of the increase in the liquid pressure, as well as the position of the bubbles in the cluster and the interaction between the bubbles, is studied. The centers of the cluster bubbles are located at the nodes of a cubic grid, one of which is in the center of the cluster. The effect of the interaction of bubbles is assessed by comparison with the response of a single bubble. The cluster consists of 123 bubbles, the liquid pressure is 1 bar. Initially, the bubbles are spherical with a radius of 0.1 mm, the cluster radius is about 3 mm. A discrete model is used, in which, together with the radial oscilations of bubbles, their movements in the liquid and their small deformations are also modeled. It is established that the maximum pressure in the bubbles, reached before the destruction or collision of any of them, is realized when the liquid pressure increases by 10 bar and turns out to be approximately 6500 times greater than their initial pressure and approximately 30 times greater than the response of a single bubble.
About the authors
R. I. Nigmatulin
Institute of Mechanics and Mechanical Engineering, Kazan Scientific Center, Russian Academy of Sciences
Email: aganel@gmail.com
Kazan, Russia
A. A. Aganin
Institute of Mechanics and Mechanical Engineering, Kazan Scientific Center, Russian Academy of Sciences
Email: aganel@gmail.com
Kazan, Russia
I. A. Aganin
Institute of Mechanics and Mechanical Engineering, Kazan Scientific Center, Russian Academy of Sciences
Email: aganel@gmail.com
Kazan, Russia
A. I. Davletshin
Institute of Mechanics and Mechanical Engineering, Kazan Scientific Center, Russian Academy of Sciences
Author for correspondence.
Email: aganel@gmail.com
Kazan, Russia
References
- Escaler X., Egusquiza E., Farhat M., Avellan F., Coussirat M. Detection of Cavitation in Hydraulic Turbines // Mech. Syst. Signal Pr. 2006. V. 20 № 4. P. 983.
- Van Terwisga T.J.C., van Wijngaarden H.C.J., Bosschers J., Kuiper G. Cavitation Research on Ship Propellers a Review of Achievements and Challenges // CAV 2006: 6th Int. Symp. on Cavitation. Wageningen. The Netherlands. 2006. Rep. 1543-P.
- Hubballi B.V., Sondur V.B. Review on the Prediction of Cavitation Erosion Inception in Hydraulic Control Valves // Int. J. Emerging Technol. Adv. Eng. 2013. V. 3. № 1. P. 110.
- Brennen C.E. Hydrogynamics of Pumps. N.Y.: Concepts NREC and Oxford Univ. Press, 1994. 293 p.
- Kieser B., Phillion R., Smith S., McCartney T. The Application of Industrial Scale Ultrasonic Cleaning to Heat Exchangers // Proc. Int. Conf. on Heat Exchanger Fouling and Cleaning. 2011. Crete Island, Greece. P. 336.
- Idris A.I.M., Omar R., Idris A. Ultrasonication Effects on Ultrafiltration Membrane Cleaning and Fouling Mitigation // Int. J. Adv. Chem. Eng. Biolog. Sci. (IJACEBS). 2016. V. 3, № 1. P. 151.
- Song W.D., Hong M.H., Lukyanchuk B., Chong T.C. Laser-induced Cavitation Bubbles for Cleaning of Solid Surfaces // J. Appl. Phys. 2004. V. 95. № 6. P. 2952.
- Skorb E.V., Möhwald H. Ultrasonic Approach for Surface Nanostructuring // Ultrason. Sonochem. 2016. V. 29. P. 589.
- Choi J., Kim T.-H., Kim H.-Y., Kim W. Ultrasonic Washing of Textiles // Ultrason. Sonochem. 2016. V. 29. P. 563.
- Pishchalnikov Y.A., Sapozhnikov O.A., Bailey M.R., Williams J.C., Cleveland R.O., Colonius T., Crum L.A., Evan A.P., McAteer J.A. Cavitation Bubble Cluster Activity in the Breakage of Kidney Stones by Lithotripter Shockwaves // J. Endourology. 2003. V. 17. № 7. P. 435.
- Rudenko O.V. Nonlinear Acoustics in Medicine: A Review // Phys. Wave Phen. 2022. V. 30. P. 73.
- Averina Yu.M., Moiseeva N.A., Shuvalov D.A., Nyrkov N.P., Kurbatov A.Yu. Cavitation Water Treatment. Properties of Water and Efficiency of Treatment // Adv. Chem. Chem. Technol. 2018. V. 32. № 14. P. 17.
- Нигматулин Р.И. Динамика многофазных сред. Т. 1. М.: Наука, 1987. 464 с.
- Нигматулин Р.И. Динамика многофазных сред. Т. 2. М.: Наука, 1987. 360 с.
- Кедринский В.К. Гидродинамика взрыва: эксперимент и модели. Новосибирск: Изд-во СО РАН, 2000. 434 с.
- Аганин А.А., Халитова Т.Ф. Деформация ударной волны при сильном сжатии несферических пузырьков // ТВТ. 2015. Т. 53. № 6. С. 923.
- Нигматулин Р.И., Аганин А.А., Ильгамов М.А., Топорков Д.Ю. Экстремальная фокусировка энергии при ударном сжатии парового пузырька в углеводородных жидкостях // ТВТ. 2019. Т. 57. № 2. С. 253.
- Chahine G.L. Pressure Generated by a Bubble Cloud Collapse // Chem. Eng. Commun. 1984. V. 28. № 4–6. P. 355.
- Brennen C.E. Bubbly Cloud Dynamics and Cavitation // Invited Lecture at the Acoustical Society of America Meeting. June 2007. Salt Lake City, Utah, 2007.
- Matsumoto Y. Bubble and Bubble Cloud Dynamics // AIP Conf. Proc. 2000. V. 524. P. 65.
- Nigmatulin R.I., Akhatov I.S., Topolnikov A.S., Bolotnova R.K., Vakhitova N.K., Lahey R.T., Taleyarkhan R.P. Theory of Supercompression of Vapor Bubbles and Nanoscale Thermonuclear Fusion // Phys. Fluids. 2005. V. 17. № 10. P. 107106.
- Нигматулин Р.И., Лэхи Р.Т. (мл.), Талейархан Р.П., Вест К.Д., Блок Р.С. О термоядерных процессах в кавитирующих пузырьках // УФН. 2014. Т. 184. № 9. С. 947.
- Brennen C., Reisman G., Wang Y.-C. Shock Waves in Cloud Cavitation // 21st Symposium on Naval Hydrodynamics. Washington, DC: National Acad. Press, 1997. P. 756.
- Reisman G.E., Wang Y.-C., Brennen C.E. Observations of Shock Waves in Cloud Cavitation // J. Fluid Mech. 1998. V. 355. P. 255.
- Shimada M., Matsumoto Y., Kobayashi T. Dynamics of the Cloud Cavitation and Cavitation Erosion // Nippon Kikai Gakkai Ronbunshu, B-hen. 1999. V. 65. № 634. P. 1934.
- Wang Y.-C. Effects of Nuclei Size Distribution on the Dynamics of a Spherical Cloud of Cavitation Bubbles // J. Fluids Eng. 1999. V. 121. № 4. P. 881.
- Губайдуллин А.А., Губкин А.С. Особенности динамического поведения пузырьков в кластере, вызванные их гидродинамическим взаимодействием // Теплофизика и аэромеханика. 2015. Т. 22. № 4. С. 471.
- Aganin I.A., Davletshin A.I. Dynamics of Interacting Bubbles Located in the Center and Vertices of Regular Polyhedra // J. Phys.: Conf. Ser. 2020. V. 1588. P. 012001.
- Aganin I.A., Davletshin A.I. Dynamics of Gas Bubbles Inside a Ball-like Area at the Nodes of a Uniform Cubic Mesh Under Sudden Liquid Pressure Rise // Lobachevskii J. Math. 2020. V. 41. № 7. P. 1148.
- Насибуллаева Э.Ш., Ахатов И.Ш. Исследование диффузионной устойчивости пузырьков в кластере // ПМТФ. 2007. Т. 48. № 4. С. 40.
- Nasibullaeva E.S., Akhatov I.S. Bubble Cluster Dynamics in an Acoustic Field // JASA. 2013. V. 133. № 6. P. 3727.
- Tiwari A., Pantano C., Freund J.B. Growth-and-collapse Dynamics of Small Bubble Clusters near a Wall // J. Fluid Mech. 2015. V. 775. P. 1.
- Aganin A.A., Davletshin A.I. Equations of Interaction of Weakly Non-spherical Gas Bubbles in Liquid // Lobachevskii J. Math. 2018. V. 39. № 8. P. 1047.
- Aganin I.A., Davletshin A.I. Dynamics of Spherical Gas Bubbles in a Cluster Under an Increase in the Surrounding Liquid Pressure // J. Phys.: Conf. Ser. 2021. V. 1923 P. 012010.
Supplementary files









