Heat Capacity and Thermodynamic Functions of the Aluminum Alloy AlCu4.5Mg1 Alloyed with Barium
- Authors: Ganiev I.N.1, Shonazarov R.S.2, Elmurod A.3, Faizulloev U.N.4
-
Affiliations:
- Nikitin Institute of Chemistry, National Academy of Sciences of Tajikistan
- Khusrav Bokhtar State University
- Dangara State University
- Branch of the National Research Technological University (NUST) “MISiS”
- Issue: Vol 61, No 5 (2023)
- Pages: 673-678
- Section: Thermophysical Properties of Materials
- URL: https://journals.rcsi.science/0040-3644/article/view/252358
- DOI: https://doi.org/10.31857/S0040364423050058
- ID: 252358
Cite item
Full Text
Abstract
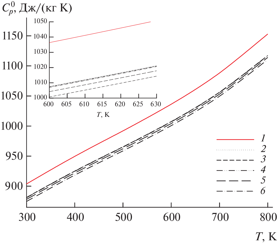
The results of the experimental determination of the heat capacity of the aluminum alloy AlCu4.5Mg1 alloyed with barium and the calculation of the temperature dependences of changes in the thermodynamic functions of this alloy are presented. Studies of the temperature dependence of the heat capacity of the AlCu4.5Mg1 alloy alloyed with barium are carried out in the cooling mode using a computer and the Sigma Plot 10.0 software. The types of polynomials of the temperature dependence of the heat capacity and changes in thermodynamic functions (enthalpy, entropy, and Gibbs energy) of the studied alloy and the standard (Al grade A5N), which describe these changes with the correlation coefficient Rcor = 0.999, are established. It is shown that with the increasing barium content, the heat capacity of the original alloy decreases. The enthalpy and entropy of the AlCu4.5Mg1 alloy alloyed with barium increase with increasing temperature, and decrease with the increasing barium content. The Gibbs energy values have an inverse relationship.
About the authors
I. N. Ganiev
Nikitin Institute of Chemistry, National Academy of Sciences of Tajikistan
Email: ganiev48@mail.ru
Dushanbe, Tajikistan
R. S. Shonazarov
Khusrav Bokhtar State University
Email: ganiev48@mail.ru
Bokhtar, Tajikistan
A. Elmurod
Dangara State University
Email: ganiev48@mail.ru
Dangara, Tajikistan
U. N. Faizulloev
Branch of the National Research Technological University (NUST) “MISiS”
Author for correspondence.
Email: ganiev48@mail.ru
Dushanbe, Tajikistan
References
- Строганов Г.Б. Высокопрочные литейные алюминиевые сплавы. М.: Металлургия, 1985. 216 с.
- Келли А., Никлсон Р. Дисперсионное твердение. М.: Металлургия, 1966. 300 с.
- Алюминиевые сплавы (состав, свойства, технология, применение). Спр. / Под ред. Фридляндера И.Н. Киев: Коминтех, 2005. 365 с.
- Квасов Ф.И., Фридляндер И.Н. Алюминиевые сплавы типа дуралюмин. М.: Металлургия, 1984. 240 с.
- Квасов Ф.И., Фридляндер И.Н. Промышленные деформируемые, спеченные и литейные алюминиевые сплавы. Спр. рук. М.: Металлургия, 1972. 552 с.
- Фридляндер И.Н. Алюминиевые деформируемые конструкционные сплавы. М.: Металлургия, 1979. 207 с.
- Киров С.А., Козлов А.В., Салецкий А.М., Харабадзе Д.Э. Измерение теплоемкости и теплоты плавления методом охлаждения. Учеб. пособ. М.: ООП Физфак МГУ им. М.В. Ломоносова, 2012. 52 с.
- Еремина Р.М., Скворцов А.И., Мутыгуллина А.А. Экспериментальные задачи общего физического практикума по молекулярной физике и термодинамике. Процессы переноса. Жидкости и твердые тела. Казань: Казанский (Приволжский) федеральный университет, 2015. 42 с.
- Рогачев Н.М., Гусева С.И. Определение удельной теплоемкости твердых тел: Метод. указ. к лаб. работе № 1–23. Самара: Самарск. гос. аэрокосм. ун-т им. акад. С.П. Королева, 2012. 14 с.
- Ганиев И.Н., Отаджонов С.Э., Иброхимов Н.Ф., Махмудов М. Температурная зависимость теплоемкости и изменений термодинамических функций сплава АК1, легированного стронцием // ТВТ. 2019. Т. 57. № 1. С. 26.
- Худойбердизода С.У., Ганиев И.Н., Отаджонов С.Э., Эшов Б.Б., Якубов У.Ш. Влияние меди на теплоемкость и изменения термодинамических функций свинца // ТВТ. 2021. Т. 59. № 1. С. 55.
- Ганиев И.Н., Норова М.Т., Эшов Б.Б., Иброхимов Н.Ф., Иброхимов С.Ж. Влияние добавок скандия на температурную зависимость теплоемкости и термодинамических функций алюминиево-магниевых сплавов // ФММ. 2020. Т. 121. № 1. С. 25.
- Ганиев И.Н., Сафаров А.Г., Одинаев Ф.Р., Якубов У.Ш., Кабутов К. Температурная зависимость теплоемкости и изменение термодинамических функции сплава АЖ 4.5 с оловом // Изв. вузов. Цветная металлургия. 2019. № 1. С. 50.
- Ганиев И.Н., Отаджонов С.Э., Иброхимов Н.Ф., Махмудов М. Температурная зависимость теплоемкости и изменений термодинамических функций сплава AКlМ2, легированного стронцием // Изв. вузов. Матер. электр. техники. 2018. Т. 21. № 1. С. 35.
- Ганиев И.Н., Рашидов А.Р., Одиназода Х.О., Сафаров А.Г., Джайлоев Дж.Х. Влияние добавок меди на теплоемкость и термодинамические функции алюминия марки А7Е // Изв. вузов. Цветная металлургия. 2020. № 3. С. 4.
Supplementary files







