Диффузия столкновительной плазмы на примере сильноточной дуги в Не. Бинарная и тринарная ионизованные смеси
- Авторы: Коршунов О.В.1, Кавыршин Д.И.1,2, Чиннов В.Ф.1,2
-
Учреждения:
- ФГБУН Объединенный институт высоких температур РАН (ОИВТ РАН)
- Национальный исследовательский университет “МЭИ”
- Выпуск: Том 61, № 5 (2023)
- Страницы: 645-654
- Раздел: Исследование плазмы
- URL: https://journals.rcsi.science/0040-3644/article/view/252355
- DOI: https://doi.org/10.31857/S0040364423050083
- ID: 252355
Цитировать
Полный текст
Аннотация
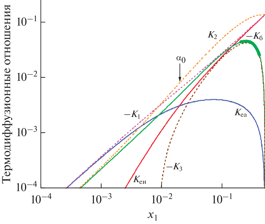
В работе с помощью газокинетической теории Чепмена‒Энскога первого порядка проведено обоснование применимости модели бинарной смеси для описания диффузионных процессов при разных степенях ионизации однотемпературной плазмы простого газа, состоящей из трех компонентов: атомов, ионов и электронов. На тех же основаниях полученные выражения для тринарной смеси применимы к плазме с трудноионизуемым четвертым компонентом. Выведены термодифузионные отношения тринарной смеси, особенностью которых является электронная составляющая, не влияющая на диффузионные потоки атомов и ионов. Показано, что в сильноионизованной дуговой плазме Не с развитой диффузией и ионизационной неравновесностью термодиффузия несущественна. Отмечено, что при нарушении термодинамического равновесия диффузионные коэффициенты могут не изменяться или уменьшаться в пределах двойки.
Об авторах
О. В. Коршунов
ФГБУН Объединенный институт высоких температур РАН (ОИВТ РАН)
Email: dimakav@rambler.ru
Россия, Москва
Д. И. Кавыршин
ФГБУН Объединенный институт высоких температур РАН (ОИВТ РАН); Национальный исследовательский университет “МЭИ”
Email: dimakav@rambler.ru
Россия, Москва; Россия, Москва
В. Ф. Чиннов
ФГБУН Объединенный институт высоких температур РАН (ОИВТ РАН); Национальный исследовательский университет “МЭИ”
Автор, ответственный за переписку.
Email: dimakav@rambler.ru
Россия, Москва; Россия, Москва
Список литературы
- Botticher W., Roder O., Wobig K.H. Messung der Übergangswahrschein, Halbwertsbreiten und Verschiebungen von HeI-Linien // Zs. Phys. 1963. Bd. 175. № 5. S. 480.
- Uhlenbusch J., Fischer E., Hackmann J. Experimentelle und theoretische Untersuchungen von Nichtgleichgewichtseffekten an stationären Heliumplasmen unter Normaldruck // Zs. Phys. 1970. Bd. 238. № 5. S. 404.
- Jonkers J., van der Mullen J.A.M. The Excitation Temperature in (Helium) Plasmas // JQSRT. 1999. V. 61. № 5. P. 703.
- Асиновский Э.И., Кириллин А.В., Низовский В.Л. Стабилизированные электрические дуги и их применение в теплофизическом эксперименте. М.: Наука, 2008. 264 с.
- Коршунов О.В., Чиннов В.Ф., Кавыршин Д.И. Сильноионизованная дуговая плазма Не. Неравновесность, неидеальность и кинетика // ТВТ. 2019. Т. 57. № 2. С. 164.
- Коршунов О.В., Чиннов В.Ф., Кавыршин Д.И. Сильноионизованная дуговая плазма Не. Определение температуры в условиях неравновесности и влияния плазменных микрополей // ТВТ. 2019. Т. 57. № 3. С. 338.
- Исакаев Э.Х., Чиннов В.Ф., Саргсян М.А., Кавыршин Д.И. Неравновесность сильноионизованной гелиевой плазмы атмосферного давления // ТВТ. 2013. Т. 51. № 2. С. 163.
- Ферцигер Дж., Капер Г. Математическая теория процессов переноса в газах / Пер. с англ. Под ред. Зубарева Д.Н. М.: Мир, 1976. 554 с.
- Силин В.П. Введение в кинетическую теорию газов. М.: Изд-во Физ. ин-та им. Лебедева РАН, 1998. 338 с.
- Попов П.В. Диффузия. М.: МФТИ, 2016. 94 с.
- Лифшиц Е.М., Питаевский Л.П. Физическая кинетика. М.: Наука, 1979. 528 с.
- Мак-Даниэль И., Мэзон Э. Подвижность и диффузия ионов в газах / Пер. с англ. Под ред. Смирнова Б.М. М.: Мир, 1976. 422 с.
- Смирнов Б.М. Свойства газоразрядной плазмы. СПб.: Изд-во Политехн. ун-та, 2010. 363 с.
- Елецкий А.В., Палкина Л.А., Смирнов Б.М. Явления переноса в слабоионизированной плазме. М.: Атомиздат, 1975. 336 с.
- Рожанский В.А., Цендин Л.Д. Столкновительный перенос в частично ионизованной плазме. М.: Энергоатомиздат, 1988. 248 с.
- Райзер Ю.П. Физика газового разряда. Долгопрудный: Интеллект, 2009. 736 с.
- Devoto R.S. Transport Properties of Ionized Monoatomic Gases // Phys. Fluids. 1966. V. 9. № 7. P. 1230.
- Murphy A.B. Diffusion in Equilibrium Mixtures of Ionized Gases // Phys. Rev. E. 1993. V. 48. № 5. P. 3594.
- Murphy A.B. A Comparison of Treatments of Diffusion in Thermal Plasmas // J. Phys. D: Appl. Phys. 1996. V. 29. P. 1922.
- Murphy A.B. Demixing in Free-burning Arcs // Phys. Rev. E. 1997. V. 55. № 6. P. 7473.
- Коршунов О.В., Чиннов В.Ф., Кавыршин Д.И. Диффузия и плотность атомов в сильноионизованной неоднородной плазме Не // ТВТ. 2022. Т. 60. № 6. С. 803.
- Rat V., Aubreton J., Elchinger M.F., Fauchais P., Murphy A.B. Diffusion in Two-temperature Thermal Plasmas // Phys. Rev. E. 2002. V. 66. 056407.
- Rat V., Murphy A.B., Aubreton J., Elchinger M.F., Fauchais P. Treatment of Non-equilibrium Phenomena in Thermal Plasma Flows // J. Phys. D: Appl. Phys. 2008. V. 41. 183001.
- Радциг А.А., Смирнов Б.М. Параметры атомов и атомных ионов. М.: Энергоатомиздат, 1986. 344 с.
Дополнительные файлы




