Measurement of Temperature Profiles Near the Liquid–Gas Interface during Evaporation of Water and Ethanol into Air
- Authors: Gatapova E.Y.1,2
-
Affiliations:
- Kutateladze Institute of Thermophysics, Siberan Branch, Russian Academy of Sciences
- Novosibirsk State University
- Issue: Vol 61, No 4 (2023)
- Pages: 567-577
- Section: Articles
- URL: https://journals.rcsi.science/0040-3644/article/view/232753
- DOI: https://doi.org/10.31857/S0040364423040051
- ID: 232753
Cite item
Full Text
Abstract
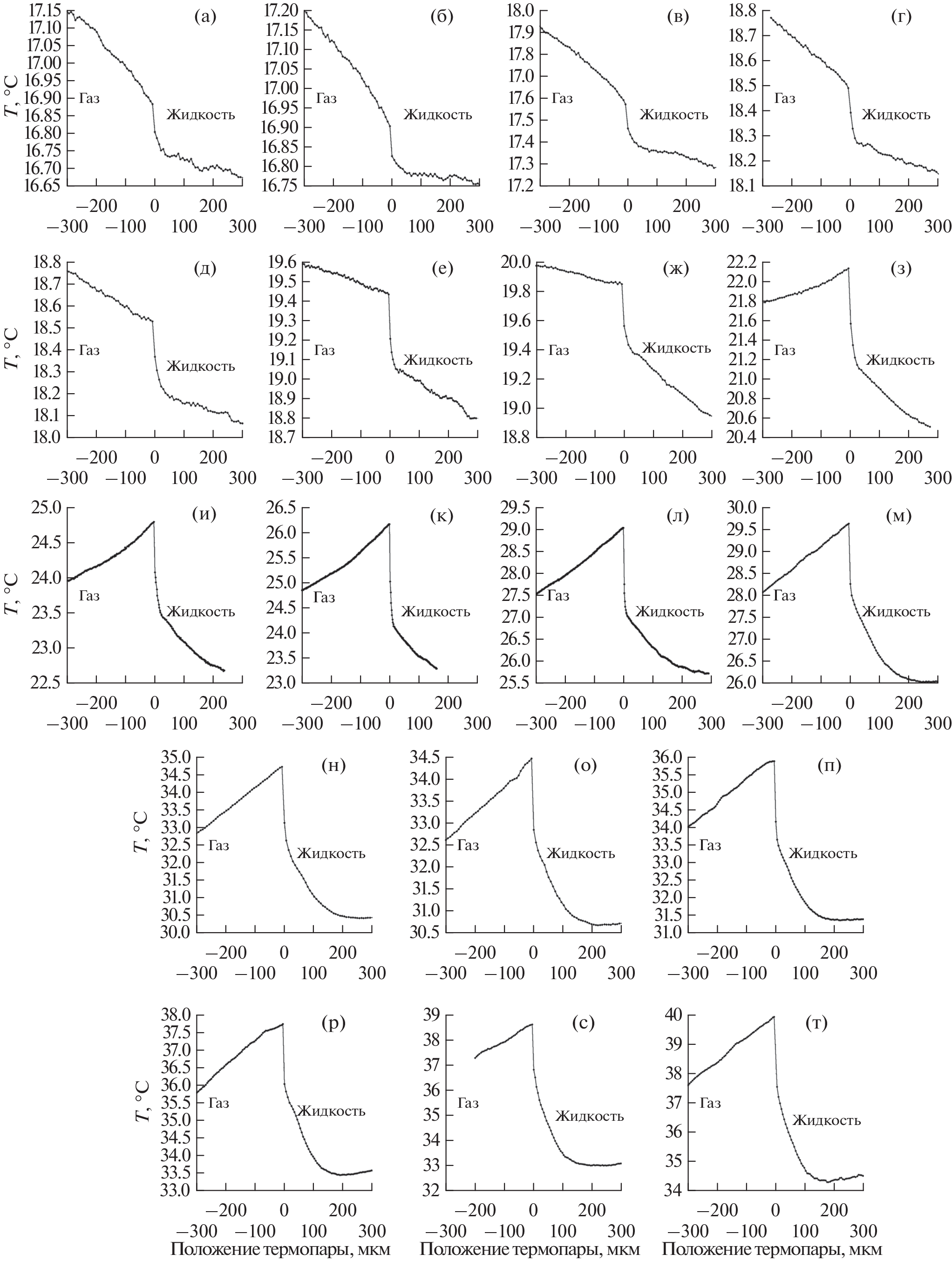
The article experimentally studies the temperature field of a two-layer liquid–gas system at normal atmospheric pressure for an axisymmetric configuration. Temperature measurements were carried out for a thin layer of water and ethanol about 2 mm thick with local heating and evaporation into air using a microthermocouple with a flat bead about 3 μm thick, moving across the layers with a step of 48 nm. A fluoroplastic cuvette with liquid with a diameter of 35 mm and a heater (diameter 1.6 mm) in the center was located inside a box measuring 800 × 500 × 350 mm3, so that evaporation occurs into air with controlled temperature and humidity. The evolution of the temperature profile near the liquid–air interface was obtained with an increase in the heater temperature up to 88°C. Depending on environmental conditions and the type of liquid, the temperature in the gas phase near the interface may be higher or lower than the temperature of the liquid. It is shown that for a volatile liquid (ethanol), the temperature profile is completely different than for a nonvolatile liquid. Namely, the temperature in the gas phase near the liquid–gas interface is higher than in the liquid at the interface throughout the entire temperature range considered, which is explained by convective flow in ethanol.
About the authors
E. Ya. Gatapova
Kutateladze Institute of Thermophysics, Siberan Branch, Russian Academy of Sciences;Novosibirsk State University
Author for correspondence.
Email: gatapova@itp.nsc.ru
Novosibirsk, Russia; Novosibirsk, Russia
References
- Kandlikar S.G., Colin S., Peles Y., Garimella S., Pease R.F., Brandner J.J., Tuckerman D.B. Heat Transfer in Microchannels ⎯ 2012 Status and Research Needs // J. Heat Transfer. 2013. V. 135. № 9. P. 091001-1.
- Чернышева М.А., Майданик Ю.Ф. Моделирование тепломассопереноса в цилиндрическом испарителе контурной тепловой трубы с прямоугольным интерфейсом // ТВТ. 2021. Т. 59. № 3. С. 362.
- Васильев Н.В., Зейграник Ю.А., Ходаков К.А., Вавилов С.Н. Паровые агломераты и сухие пятна как предвестники кризиса кипения недогретой жидкости в канале // ТВТ. 2021. Т. 59. № 3. С. 373.
- Володин О.А., Печеркин Н.И., Павленко А.Н. Интенсификация теплообмена при кипении и испарении жидкостей на модифицированных поверхностях // ТВТ. 2021. Т. 59. № 2. С. 280.
- Shankar P.N., Deshpande M.D. On the Temperature Distribution in Liquid–Vapor Phase Change between Plane Liquid Surfaces // Phys. Fluids A: Fluid Dynamics. 1990. V. 2. № 6. P. 1030.
- Fang G., Ward C.A. Temperature Measured Close to the Interface of an Evaporating Liquid // Phys. Rev. E. 1999. V. 59. № 1. P. 417.
- Duan F., Ward C.A., Badam V.K., Durst F. Role of Molecular Phonons and Interfacial-temperature Discontinuities in Water Evaporation // Phys. Rev. E. 2008. V. 78. № 4. P. 041130.
- Kazemi M.A., Ward C.A. Contribution of Thermocapillary Convection to Liquid Evaporation // Int. J. Heat Mass Transfer. 2021. V. 164. P. 120400.
- Gatapova E.Ya., Graur I.A., Kabov O.A., Aniskin V.M., Filipenko M.A., Sharipov F., Tadrist L. The Temperature Jump at Water–Air Interface During Evaporation // Int. J. Heat Mass Transfer. 2017. V. 104. P. 800.
- Labuntsov D.A., Kryukov A.P. Analysis of Intensive Evaporation and Condensation // Int. J. Heat Mass Transfer. 1979. V. 22. P. 989.
- Graur I.A., Gatapova E.Ya., Moritz W., Batueva M.A. Non-equilibrium Evaporation: 1D benchmark Problem for Single Gas // Int. J. Heat Mass Transfer. 2021. V. 181. 121997.
- Zhakhovsky V.V., Kryukov A.P., Levashov V.Y., Shishkova I.N., Anisimov S.I. Mass and Heat Transfer between Evaporation and Condensation Surfaces: Atomistic Simulation and Solution of Boltzmann Kinetic Equation // Proc. National Academy of Sciences of the United States of America. 2019. V. 116(37). P. 18209.
- Гатапова Е.Я., Филипенко Р.А., Люлин Ю.В., Граур И.А., Марчук И.В., Кабов О.А. Экспериментальное исследование температурного поля в двухслойной системе жидкость–газ // Теплофизика и аэромеханика. 2015. Т. 22. № 6. С. 729.
- Gatapova E.Ya., Filipenko M.A., Aniskin V.M., Kabov O.A. A Contact Method for Simultaneous Measuring the Liquid Film Thickness and Temperature // Interfacial Phenom. Heat Transfer. 2018. V. 6. № 3. P. 187.
- Yarushev N.A. Theoretical Basis of Non-stationary Temperature Measurement. Л.: Энepгoaтoмиздaт, 1990.
- Nanigian J. Eliminate Temperature Errors Caused by Conduction // Adv. Mater. Process. 1994. V. 146. № 6. P. 66.
- Attia M.H., Kops L. Distortion in Thermal Field around Inserted Thermocouples in Experimental Interfacial Studies. Part II. Effect of the Heat Flow Through the Thermocouple // J. Eng. Industry. 1988. V. 110. № 1. P. 7.
Supplementary files








