Распределение электромагнитного поля в нанослое фоторезиста при фокусировке поверхностной плазмонной волны на нановершине сканирующего металлического микроострия
- Авторы: Петрин А.Б.1
-
Учреждения:
- Объединенный институт высоких температур РАН
- Выпуск: Том 61, № 4 (2023)
- Страницы: 497-513
- Раздел: Статьи
- URL: https://journals.rcsi.science/0040-3644/article/view/232739
- DOI: https://doi.org/10.31857/S0040364423040129
- ID: 232739
Цитировать
Полный текст
Аннотация
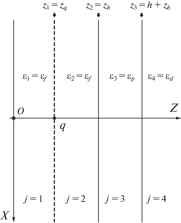
Сформулирован и доказан обобщенный метод зеркальных отражений электростатики для точечного заряда, расположенного рядом с плоскослоистой структурой, причем подробно рассмотрен случай точечного заряда, находящегося рядом с одной пленкой. Затем этот метод обобщается на случай произвольной системы зарядов. Подробно показывается, как применить полученный метод для нахождения фокального распределения электрического поля в окрестности нановершины металлического микроострия рядом с плоскослоистой структурой, которое получается при схождении (фокусировке) поверхностной плазмонной волны к нановершине. Обсуждается проникновение сфокусированного поля в пленку фоторезиста, находящуюся на поверхности диэлектрического или металлического полупространства. Демонстрируется общность предложенного теоретического метода на примере решения задачи нахождения температурного поля в окрестности нагретого параболоидального острия, расположенного вблизи теплопроводящей пленки и полупространства.
Об авторах
А. Б. Петрин
Объединенный институт высоких температур РАН
Автор, ответственный за переписку.
Email: petrin@ihed.ras.ru
Россия, Москва
Список литературы
- De Angelis F., Das G., Candeloro P. et al. Nanoscale Chemical Mapping Using Three-dimensional Adiabatic Compression of Surface Plasmon Polaritons // Nature Nanotech. 2010. V. 5. P. 67.
- Frey H.G., Keilmann F., Kriele A., Guckenberger R. Enhancing the Resolution of Scanning near-field Optical Microscopy by a Metal Tip Grown on an Aperture Probe // Appl. Phys. Lett. 2002. V. 81. P. 5030.
- Stockman M.I. Nanofocusing of Optical Energy in Tapered Plasmonic Waveguides // Phys. Rev. Lett. 2004. V. 93. P. 137404.
- Петрин А.Б. О двух режимах нанофокусировки поверхностной плазмонно-поляритонной волны на вершине металлического микроострия // ТВТ. 2012. Т. 50. № 1. С. 18.
- Giugni A., Allione M., Torre B. et al. Adiabatic Nanofocusing: Spectroscopy, Transport, and Imaging Investigation of the Nano World // J. Opt. 2014. V. 16. P. 114003.
- Giugni A., Torre B., Toma A. et al. Hot-electron Nanoscopy Using Adiabatic Compression of Surface Plasmons // Nature Nanotech. 2013. V. 8. № 11. P. 845.
- Петрин А.Б. Нанофокусировка света на вершине металлического острия // Успехи прикл. физики. 2015. Т. 3. № 3. С. 236.
- Петрин А.Б. О фокусировке поверхностной плазмонной волны на вершине металлического микроострия // Квантовая электроника. 2015. Т. 45. № 7. С. 658.
- Петрин А.Б. О нанофокусировке оптической TE-моды на нановершине металлического микроострия // Прикл. физика. 2016. № 1. С. 11.
- Chew W.C. Waves and Fields in Inhomogeneous Media. N.Y.: IEEE Press, 1995.
- Петрин А.Б. Элементарный излучатель, расположенный на границе или внутри слоистой структуры // Оптика и спектроскопия. 2020. Т. 128. № 11. С. 1676.
- Петрин А.Б. Излучение в дальней зоне элементарного излучателя, расположенного на границе плоскослоистой структуры // Оптика и спектроскопия. 2020. Т. 128. № 12. С. 1874.
- Петрин А.Б. Элементарный излучатель на границе плоскослоистой структуры // ЖЭТФ. 2021. Т. 159. № 1. С. 35.
- King R.W.P., Smith G.S. Antennas in Matter. Cambridge, MA: M.I.T. Press, 1981.
- King R.W.P. The Propagation of Signals Along a Three-layered Region // IEEE Trans. Microwave Theory Tech. 1988. V. 36. № 6. P. 1080.
- Петрин А.Б. О теории плоской линзы из материала с отрицательным преломлением // Оптика и спектроскопия. 2021. Т. 129. № 1. С. 55.
- Сивухин Д.В. Общий курс физики. III. Электричество. М.: Наука, 1977.
- Петрин А.Б. О нанофокусировке света на вершине металлического микроострия, расположенного над плоскослоистой структурой // Успехи прикл. физики. 2016. Т. 4. № 4. С. 326.
- Петрин А.Б. Нанофокусировка света на вершине металлического микроострия, расположенного вблизи многослойной тонкопленочной структуры: теория и возможные приложения // ТВТ. 2019. Т. 57. № 1. С. 20.
- Анго А. Математика для электро- и радиоинженеров. М.: Наука, 1967.
- Никифоров А.Ф., Уваров В.Б. Специальные функции математической физики. М.: Наука; Гл. ред. физ.-мат. лит., 1984.
- Численные методы теории дифракции (Математика. Новое в зарубежной науке. Вып. 29). Сб. ст. Пер. с англ. М.: Мир, 1982.
- Новотный Л., Хехт Б. Основы нанооптики / Под ред. Самарцева В.В. М.: Физматлит, 2009.
- Фейнман Р., Лейтон Р., Сэндс М. Фейнмановские лекции по физике. Т. 5. Электричество и магнетизм. М.: Мир, 1965.
- Ландау Л.Д., Лифшиц Е.М. Теоретическая физика. Т. VI. Гидродинамика. М.: Наука, 1986.
- Карташов Э.М. Аналитические методы в теории теплопроводности твердых тел. М.: Высшая школа, 2001.
- Петрин А.Б. О фундаментальном решении задач электростатики и теплопроводности для плоскослоистых сред // ТВТ. 2022. Т. 60. № 5. С. 740.
- Петрин А.Б. О задаче теплопроводности для нестационарного точечного источника тепла в плоскослоистой среде // ТВТ. 2023. Т. 61. № 1. С. 118.
Дополнительные файлы










