Physical and Chemical Characteristics of a Plasma Flow around Descent Vehicles upon Entry in the Earth’s Atmosphere at Orbital Velocity
- Authors: Tugaenko V.Y.1, Gribkov A.S.1, Surzhikov S.T.2
-
Affiliations:
- S.P. Korolev Rocket and Space Corporation Energia
- Ishlinsky Institute for Problems in Mechanics, Russian Academy of Sciences
- Issue: Vol 61, No 3 (2023)
- Pages: 323-332
- Section: Исследование плазмы
- URL: https://journals.rcsi.science/0040-3644/article/view/232622
- DOI: https://doi.org/10.31857/S0040364423030225
- ID: 232622
Cite item
Full Text
Abstract
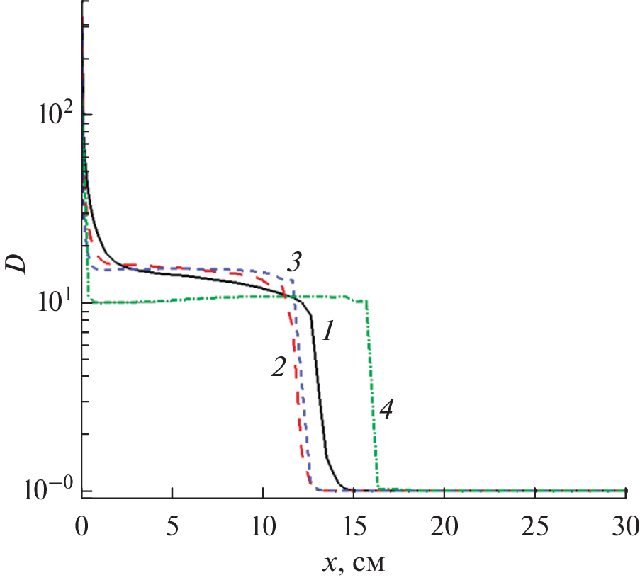
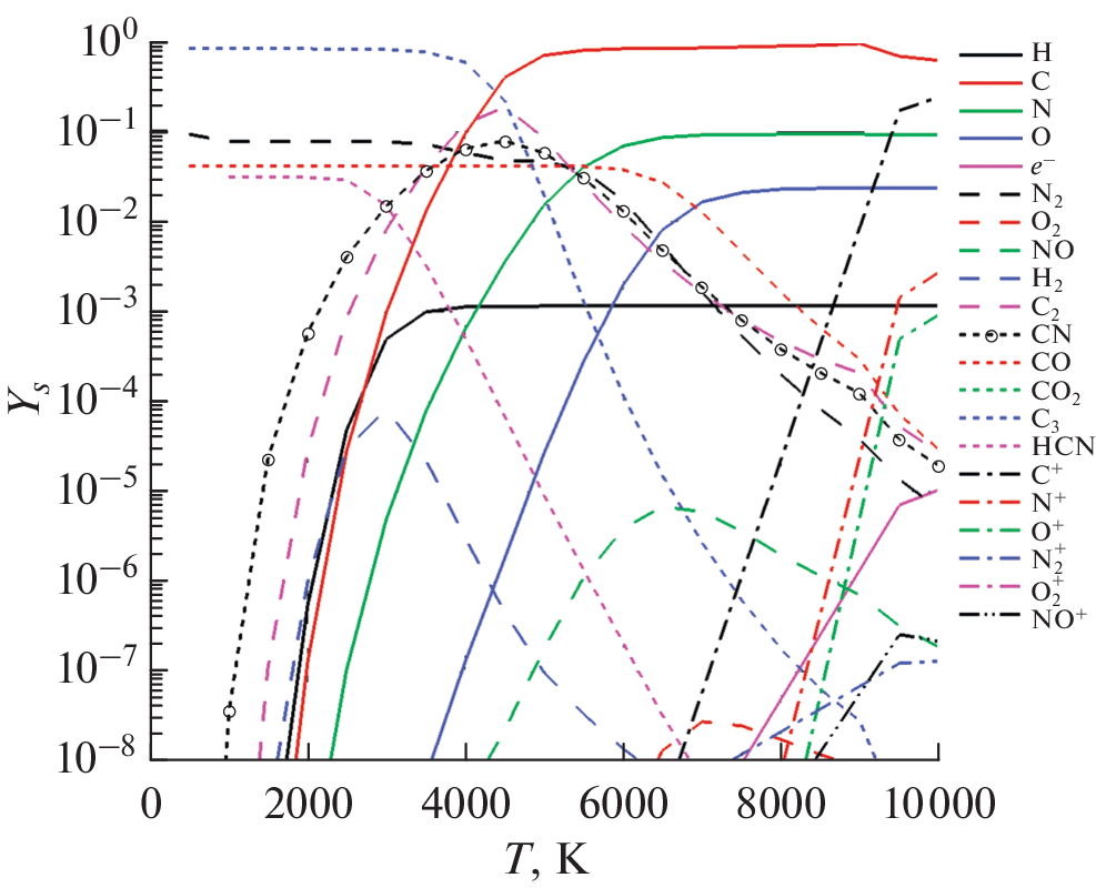
The characteristics of a plasma flow around the descent vehicle of a Soyuz spacecraft when passing through the Earth’s atmosphere are studied. For the first time, the chemical composition of the compressed layer and the plasma flow in the downstream area, accessible for instrumental examinations through the descent vehicle porthole, are estimated. The characteristics of the equipment developed for conducting the space experiment to study the emission spectrum of the plasma layer around the descent vehicle are described.
About the authors
V. Yu. Tugaenko
S.P. Korolev Rocket and Space Corporation Energia
Email: vjatcheslav.tugaenko@rsce.ru
141070, Korolev, Moscow oblast, Russia
A. S. Gribkov
S.P. Korolev Rocket and Space Corporation Energia
Email: vjatcheslav.tugaenko@rsce.ru
141070, Korolev, Moscow oblast, Russia
S. T. Surzhikov
Ishlinsky Institute for Problems in Mechanics, Russian Academy of Sciences
Author for correspondence.
Email: vjatcheslav.tugaenko@rsce.ru
119526, Moscow, Russia
References
- Андреевский В.В. Динамика спуска космических аппаратов на Землю. М.: Машиностроение, 1970. 235 с.
- Суржиков С.Т. Радиационная газовая динамика спускаемых космических аппаратов больших размеров // ТВТ. 2010. Т. 48. № 6. С. 956.
- Суржиков С.Т. Пространственная задача аэрофизики сверхорбитального космического аппарата на больших высотах // Докл. РАН. 2018. Т. 482. № 3. С. 270.
- Davis B.A. International Space Station Soyuz Vehicle Descent Module Evaluation of Thermal Protection System Penetration Characteristics // NASA Lyndon B. Johnson Space Center, JSC-66527. Houston, Texas, USA, 2013.
- Muelenaere J., Lachaud J., Mansour N., Magin T. Stagnation Line Approximation for Ablation Thermochemistry // AIAA 2011-3616.
- Madorsky S. Thermal Degradation of Organic Polymers. John Wiley & Sons, Inc. 1964.
- Суржиков С.Т. Компьютерная аэрофизика спускаемых космических аппаратов. Двухмерные модели. М.: Физматлит, 2018. 543 с.
- Park C., Howe J.T., Jaffe R.L., Candler G.V. Review of Chemical-kinetic Problems of Future NASA Missions. II. Mars Entries // J. Thermophys. Heat Transfer. 1994. V. 8. № 1. P. 9.
- Овсянников В.М., Тирский Г.А. Разрушение осесимметричного тела вращения из материала сложного химического состава в потоке частично ионизованного воздуха // Изв. АН СССР. МЖГ. 1968. № 5. С. 100.
- Суржиков С.Т. Аналитические методы построения конечно-разностных сеток для расчета аэротермодинамики спускаемых космических аппаратов // Вестн. МГТУ им. Н.Э. Баумана. Сер. Машиностроение. 2004. № 2. С. 24.
- Власов В.И., Залогин Г.Н., Ковалев Р.В., Чураков Д.А. Лучисто-конвективный теплообмен спускаемого аппарата с разрушаемой тепловой защитой // Физико-химическая кинетика в газовой динамике. 2012. Т. 13. Вып. 2. http://chemphys.edu.ru/issues/2012-13-2/articles/306/
- Суржиков С.Т. Оптические свойства газов и плазмы. М.: Изд-во МГТУ им. Н.Э. Баумана, 2004. 575 с.
- Colonna G., Capitelli M., Laricchiuta A. Hypersonic Meteoroid Entry Physics // IOP Ser. Plasma Phys. Bristol, UK: IOP Publ., 2019.
- Стулов В.П., Мирский В.Н., Вислый А.И. Аэродинамика болидов. М.: Наука; Физматлит, 1995. 240 с.
- Erdman P.W., Zipf E.C., Espy P. et al. Measurements of Low-velocity Bow Shock Ultraviolet Radiation // J. Thermophys. Heat Transfer. 1993. V. 7. № 1. P. 37.
- Erdman P.W., Zipf E.C., Espy P. et al. Measurements of Ultraviolet Radiation from a 5-km/s Bow Shock // J. Thermophys. Heat Transfer. 1994. V. 8. № 3. P. 441.
- Пластинин Ю.А., Карабаджак Г.Ф., Власов В.И., Горшков А.Б., Залогин Г.Н. Измерение и анализ интенсивности УФ-излучения плазменного образования по траектории спуска с орбиты СА “Союз-ТМА” по данным наблюдений с борта МКС // Физико-химическая кинетика в газовой динамике. 2006. Т. 4. С. 270.
- Levin D.A., Candler G.V., Collins R.J. et al. Examination of Ultraviolet Radiation Theory for Bowshock Rocket Experiment // AIAA Paper 92-2871. 1992.
- Gorelov V.A., Gladyshev M.K., Kireev A.Y., Yegorov I.V., Plastinin Yu.A., Karabadzhak G.F. Experimental and Numerical Study of Nonequilibrium Ultraviolet NO and Emission in Shock Layer // J. Thermophys. Heat Transfer. 1997. V. 12. № 1. P. 1.
- Vlasov V.I., Gorshkov A.V., Kovalev R.V., Plastinin Yu.A. Theoretical Studies of Air Ionization and NO Vibrational Excitation in Low Density Hypersonic Flow Around Re-entry Bodies // AIAA Paper. 97-2582. 1997.
- Plastinin Yu.A., Vlasov V.I., Gorshkov A.V., Kovalev R.V., Kuznetsova L.A. Analysis of Nonequilibrium Radiation for Low Density Hypersonic Flow at Low to Moderate Velocities // AIAA Paper. 98-2466. 1998.
- Tugaenko V.Y., Ovchinnikov D.S., Isaenkova M.G. et al. The Chemical and Mineral Composition of Particles Precipitated from a Plasma–Dust Layer on the Porthole of the Descend Space Vehicles During the Passage of the Earth’s Atmosphere // Geochem. Int. 2021. V. 59. № 1. P. 107.
Supplementary files











