Heat Transfer Enhancement and Flow Characteristics Past Trapezoidal Bluff Body Embedded in Unconfined Cavity Filled with Nanofluid
- Autores: Ghozlani B.1, Hadj-Salah S.2,3, Bezi S.3,4, Souayeh B.4,5
-
Afiliações:
- National Engineers School of Tunis Modeling in Hydraulic and Environment Laboratory University of Tunis El Manar
- Research Unit of Ionized Backgrounds and Reagents Studies, University of Monastir
- Department of Physics, College of Science, University of Hafer al Batin
- Department of Physics King Faisal University, College of Science
- Laboratory of Fluid Mechanics, Physics Department, University of Tunis El Manar, Faculty of Sciences of Tunis
- Edição: Volume 61, Nº 2 (2023)
- Páginas: 265-278
- Seção: Heat and Mass Transfer and Physical Gasdynamics
- URL: https://journals.rcsi.science/0040-3644/article/view/138722
- DOI: https://doi.org/10.31857/S0040364423020060
- ID: 138722
Citar
Texto integral
Resumo
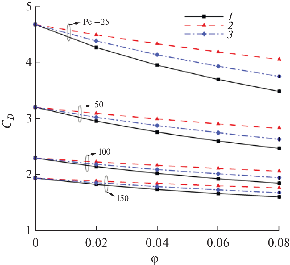
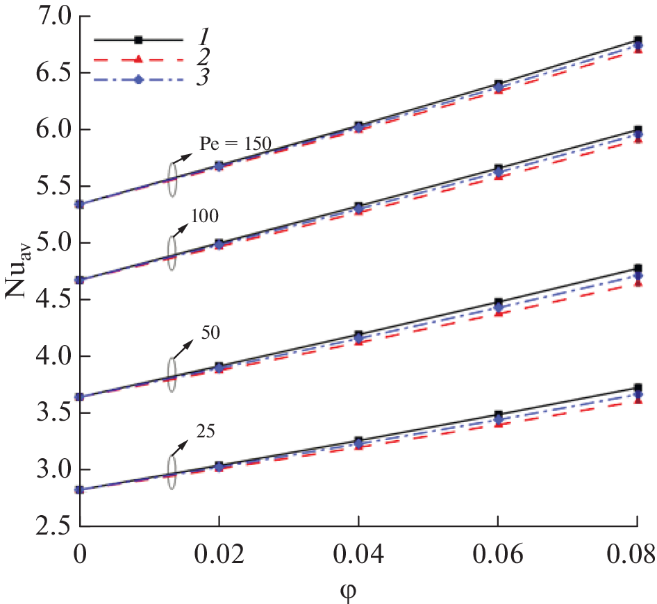
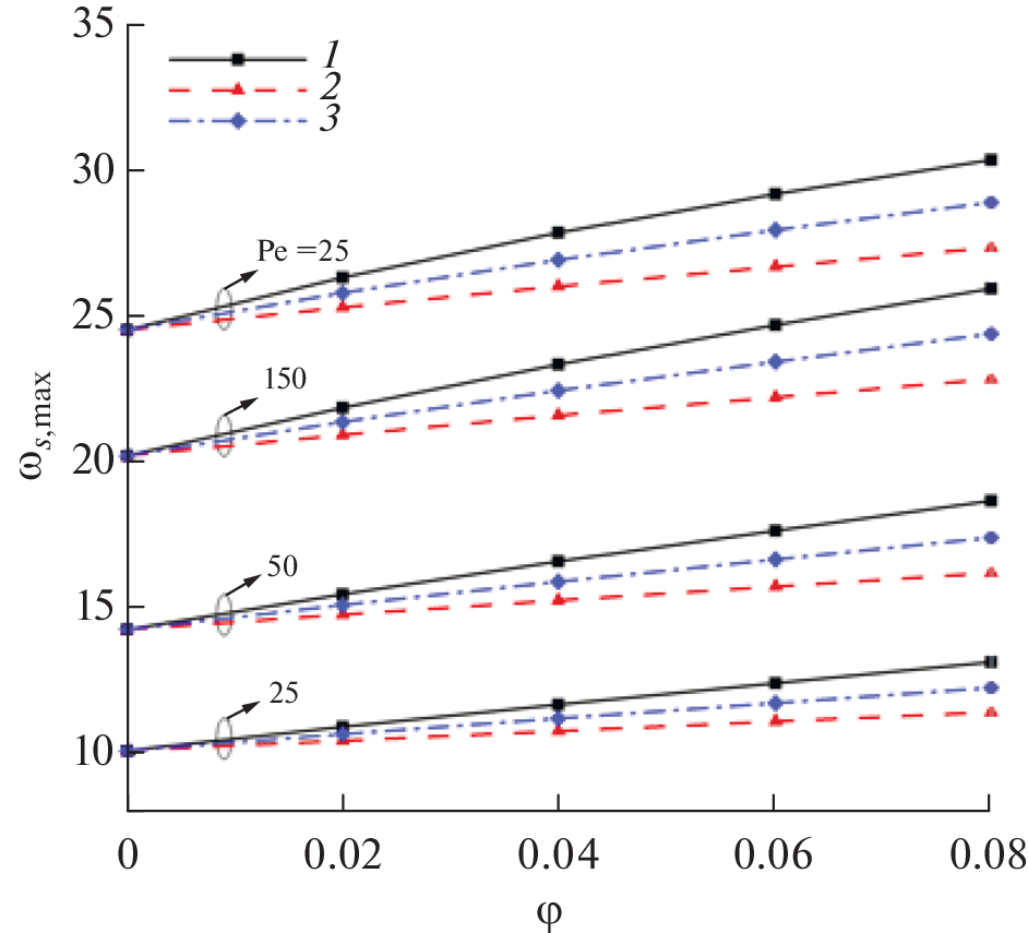
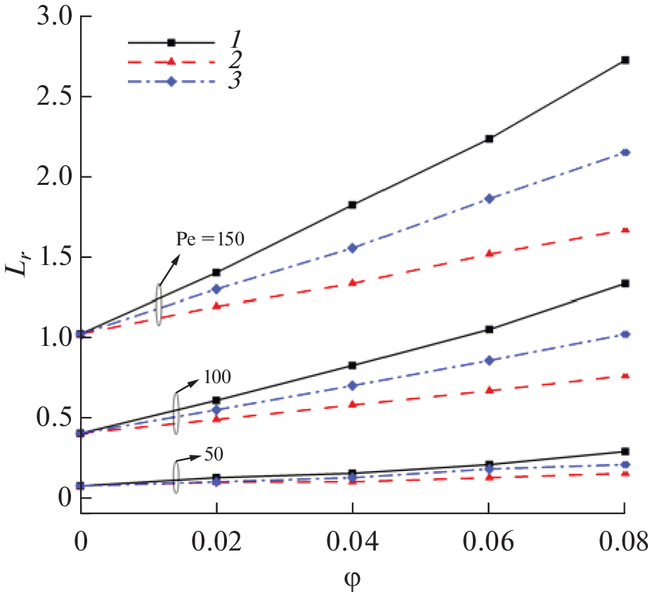
A numerical study has been carried out to investigate the forced convective flow around a trapezoidal cylinder exposed to a uniform stream of nanofluid. Water-based nanofluid containing various types of nanoparticles (Al2O3, Cu, and CuO) with the solid volume fraction φ varying from 0 to 8% were used to examine the fluid flow and potential heat transfer enhancement from the heated cylinder. Computations based on the finite volume method with SIMPLE algorithm have been carried out at the steady laminar flow regime with a Peclet number range of 25 ≤ Pe ≤ 150. Nanofluids flow and heat transfer characteristics are found to be highly dependent on solid volume fraction, Peclet number, and nanoparticles shapes. Enhanced wake lengths and surface vorticity, reduced drag and higher heat transfer rates are seen in nanofluids. Furthermore, the results reveal that one type of nanoparticle is a key factor for improving some engineering parameters. In particular, the height values of the average Nusselt number Nuav, the maximal surface vorticity ωs, max, and the dimensionless wake length Lr are obtained while using Cu nanoparticles. However, the values of the drag coefficient
are higher for Al2O3 nanoparticles. Eventually, reliable correlations for
,
, and Nuav in terms of φ and Pe have been developed throughout this study.
Sobre autores
B. Ghozlani
National Engineers School of Tunis Modeling in Hydraulic and Environment Laboratory University of Tunis El Manar
Email: basma.souayeh@gmail.com
Rommana, Tunisia
S. Hadj-Salah
Research Unit of Ionized Backgrounds and Reagents Studies, University of Monastir; Department of Physics, College of Science, University of Hafer al Batin
Email: basma.souayeh@gmail.com
Monastir, Tunisia; Hafer Al Batin, Saudi Arabia
S. Bezi
Department of Physics, College of Science, University of Hafer al Batin; Department of Physics King Faisal University, College of Science
Email: basma.souayeh@gmail.com
Hafer Al Batin, Saudi Arabia; Al Hofuf, Saudi Arabia
B. Souayeh
Department of Physics King Faisal University, College of Science; Laboratory of Fluid Mechanics, Physics Department, University of Tunis El Manar, Faculty of Sciences of Tunis
Autor responsável pela correspondência
Email: bsouayeh@kfu.edu.sa
Al Hofuf, Saudi Arabia; Tunis, Tunisia
Bibliografia
- Pope S.B. Turbulent Flows. Cambridge, UK: Cambridge University Press, 2000. 771 p.
- Wilcox D.C. Turbulence Modeling for CFD. 3rd ed. California: DCW Industries, 2006. 515 p.
- Versteeg H.K., Malalasekera W. An Introduction to Computational Fluid Dynamics. The Finite Volume Method. 1st ed. England: Longman, 2007. 257 p.
- Sagaut P. Large Eddy Simulation for Incompressible Flows: An Introduction. Springer, 2006. 556 p.
- Igarashi T. Heat Transfer from a Square Prism to an Air Stream // Int. J. Heat Mass Transfer. 1985. V. 28. P. 175.
- Lyn D.A., Einav S., Rodi W., Park J.H. A Laser-Doppler Velocimetry Study of Ensemble-averaged Characteristics of the Turbulent near Wake of a Square Cylinder // J. Fluid Mech. 1995. V. 304. P. 285.
- Bouris D., Bergeles G. 2D LES of Vortex Shedding from a Square Cylinder // J. Wind Eng. Ind. Aerodyn. 1999. V. 80. P. 31.
- Parnaudeau P., Carlier J., Heitz D., Lamballais E. Experimental and Numerical Studies of the Flow over a Circular Cylinder at Reynolds Number 3900 // Phys. Fluids. 2008. V. 20. 085101.
- Breuer M., Bernsdorf J., Zeiser T., Durst F. Accurate Computations of the Laminar Flow Past Square Cylinder-based on Two Different Methods: Lattice-Boltzman and Finite-volume // Int. J. Heat Fluid Flow. 2000. V. 21. P. 186.
- Darekar R.M., Sherwin S.J. Flow Past a Square-section Cylinder with a Wavy Stagnation Face // J. Fluid Mech. 2001. V. 426. P. 263.
- Turki S., Abbassi H., Ben Nasrallah S. Effect of the Blockage Ratio on the Flow in a Channel with a Built-in Squarecylinder // Comput. Mech. 2003. V. 33. P. 22.
- Turki S., Abbassi H., Ben Nasrallah S. Two-dimensional Laminar Fluid Flow and Heat Transfer in a Channel with Abuilt-in Heated Square Cylinder // Int. J. Therm. Sci. 2003. V. 42. P. 1105.
- Bouaziz M., Kessentini S., Turki S. Numerical Prediction of Flow and Heat Transfer of Power-law Fluids in a Planechannel with a Built-in Heated Square Cylinder // Int. J. Heat Mass Transfer. 2010. V. 53. P. 5420.
- Liu M.S., Lin M.C.C., Huang I.T., Wang C.C. Enhancement of Thermal Conductivity with CuO for Nanofluids // Chem. Eng. Technol. 2006. V. 29. P. 72.
- Dhiman A., Hasan M. Flow and Heat Transfer over a Trapezoidal Cylinder: Steady and Unsteady Regimes // Asia-Pac. J. Chem. Eng. 2013. V. 8. P. 433.
- Dhiman A., Verma S., Ghosh R. Laminar Momentum and Heat Transfer in a Channel with a Built-in Tapered Trapezoidal Bluff Body // Heat Transfer-Asian Res. 2015. V. 44. P. 324.
- Parveez M., Dhiman A., Rasool T. Transition to Periodic Unsteady and Effects of Prandtl and Richardson Numbers on the Flow Across a Confined Heated Trapezoidal Cylinder // J Braz. Soc. Mech. Sci. 2015. V. 37. P. 1291.
- Verma V.K., Dhiman A. A Comparative Study on Cross-buoyancy Mixed Convection around Expanded and Tapered Trapezoidal Bluff Bodies // Proc. P. I. Mech. Eng. E.-J. Pro. 2017. V. 231. P. 513.
- Dhiman A., Ghosh R. Computer Simulation of Momentum and Heat Transfer Across an Expanded Trapezoidal Bluff Body // Int. J. Heat Mass. Transfer. 2013. V. 59. P. 338.
- Parveez M., Dhiman A.K., Harmain G.A. Influence of Height Ratio on Flow and Heat Transfer around Trapezoidal Geometry (a Generic Sharp-edged Body) Covering Transition to Periodic Flow // Int. J. Heat Mass Transfer. 2018. V. 124. P. 1285.
- Parveez M., Dhiman A., Harmain G.A. Aiding Buoyancy Driven Flow and Heat Transfer Features of Converging and Diverging Trapezoidal Cylinders // Sådhanå. 2018. V. 43. P. 118.
- Dhiman A., Ghosh R., Baranyi L. Hydrodynamic and Thermal Study of a Trapezoidal Cylinder Placed in Shear-thinning and Shear-thickening Non-Newtonian Liquid Flows // Int. J. Mech. Sci. 2019. V. 157–158. P. 304.
- Venugopal A., Agrawal A., Prabhu S.V. Influence of Blockage and Upstream Disturbances on the Performance of a Vortex Flowmeter with a Trapezoidal Bluff Body // Measurement. 2010. V. 43. P. 603.
- Bouakkaz R., Salhi F., Khelli Y., Quazzazi M., Talbi K. Unconfined Laminar Nanofluid Flow and Heat Transfer around a Rotating Circular Cylinder in the Steady Regime // Arch. Thermodyn. 2017. V. 38. № 2. P. 3.
- Brinkman H.C. The Viscosity of Concentrated Suspensions and Solutions // J. Chem. Phys. 1952. V. 20. P. 571.
- Etminan-Farooji V., Ebrahimnia-Bajestan E., Niazmand H., Wongwises S. Unconfined Laminar Nanofluid Flow and Heat Transfer around a Square Cylinder // Int. J. Heat Mass Transfer. 2012. V. 55. P. 1475.
- Bouazizi L., Turki S. Numerical Investigation of CuO–Water Nanofluid Flow and Heat Transfer Across a Heated Square Cylinder // Int. J. Fluid Mach. Systems. 2016. V. 9. № 4. P. 382.
- Rajendra S., Dhinakaran R.S. Study of Heat Transfer from a Square Cylinder Utilizing Nanofluids with Multiphase Modeling Approach // Materials Today: Proc. 4. 2017. P. 10069.
- Sarkar S., Ganguly S., Biswas G. Mixed Convective Heat Transfer of Nanofluids Past a Circular Cylinder in Cross Flow in Unsteady Regime // Int. J. Heat Mass Transfer. 2012. V. 55. № 17–18. P. 4783.
- Sarkar S., Suvankar G., Dalal A. Buoyancy Driven Flow and Heat Transfer of Nanofluids Past a Square Cylinder in a Vertically Upward Flow // Int. J. Heat Mass Transfer. 2013. V. 59. P. 433.
- Sivakumar P., Bharti R.P., Chhabra R.P. Steady Flow of Power-law Fluids Across an Unconfined Elliptical Cylinder // Chem. Eng. Sci. 2007. V. 62(6). P. 1682.
- Dennis S.C.R., Young P.J.S. Steady Flow Past an Elliptic Cylinder Inclined to the Stream // J. Eng. Math. 2003. V. 47(2). P. 101.
- Selvakumar R.D., Dhinakaran S. Forced Convective Heat Transfer of Nanofluids around a Circular Bluff Body with the Effects of Slip Velocity Using a Multi-phase Mixture Model // Int. J. Heat Mass Transfer. 2017. V. 106. P. 816.
- Selvakumar R.D., Dhinakaran S. Heat Transfer and Particle Migration in Nanofluid Flow around a Circular Bluff Body Using a Two-way Coupled Eulerian-Lagrangian Approach // Int. J. Heat Mass Transfer. 2017. V. 115. P. 282.
- Valipour M.S., Ghadi A.Z. Numerical Investigation of Fluid and Heat Transfer around a Solid Circular Cylinder Utilizing Nanofluid // Int. Commun. Heat Mass Transfer. 2011. V. 38(9). P. 1296.
- Xuan Y., Roetzel W. Conceptions for Heat Transfer Correlation of Nanofluids // Int. J. Heat Mass Transfer. 2000. V. 43(19). P. 3701.
- Duangthongsuk W., Wongwises S. Measurement of Temperature-dependent Thermal Conductivity and Viscosity of TiO2−water Nanofluids // Exp. Thermal Fluid Sci. 2009. V. 33(4). P. 706.
- Pak B.C., Cho Y.I. Hydrodynamic and Heat Transfer Study of Dispersed Fluids with Submicron Metallic Oxide Particles // Exp. Heat Transfer. 1998. V. 11(2). P. 151.
- Xuan Y., Li Q. Investigation on Convective Heat Transfer and Flow Features of Nanofluids // J. Heat Transfer. 2003. V. 125(1). P. 151.
- Brinkman H.C. The Viscosity of Concentrated Suspensions and Solutions // J. Chem. Phys. 1952. V. 20(4). P. 571.
- Sheikholeslami M., Sadoughi M.K. Mesocopic Method for MHD Nanofluid Flow Inside a Porous Cavity Considering Various Shapes of Nanoparticles // Int. J. Heat Mass Transfer. 2017. V. 113. P. 106.
- Timofeeva E.V., Routbort J.L., Singh D. Particle Shape Effects on Thermophysical Properties of Alumina Nanofluids // J. Appl. Phys. 2009. V. 106(1). 014304.
- Fluent 6.3 User’s Guide. Lebanon, New Hampshire: Fluent Inc., 2006.
- Sohankar A., Norberg C., Davidson L. Low-Reynolds-number Flow around a Square Cylinder at Incidence: Study of Blockage, Onset of Vortex Shedding and Outlet Boundary Condition // Int. J. Numer. Methods Fluids. 1998. V. 26(1). P. 39.
- Paliwal B., Sharma A., Chhabra R.P., Eswaran V. Power Law Fluid Flow Past a Square Cylinder: Momentum and Heat Transfer Characteristics // Chem. Eng. Sci. 2003. V. 58. № 23–24. P. 5315.
- Gambit User’s Guide. Lebanon, New Hampshire: Fluent Inc., 2006.
Arquivos suplementares















