Conductivity and Screening in Plasma with Arbitrary Electron Degeneracy
- Authors: Trigger S.A.1, Maslov S.A.1
-
Affiliations:
- Joint Institute for High Temperatures, Russian Academy of Sciences
- Issue: Vol 61, No 2 (2023)
- Pages: 177-180
- Section: Исследование плазмы
- URL: https://journals.rcsi.science/0040-3644/article/view/138679
- DOI: https://doi.org/10.31857/S0040364423020187
- ID: 138679
Cite item
Full Text
Abstract
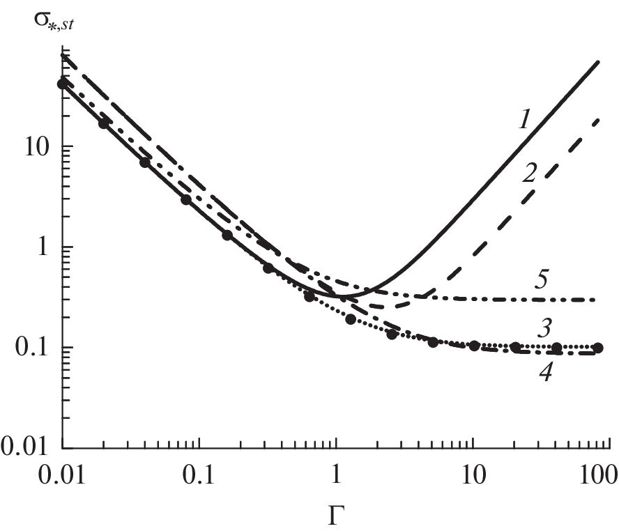
The optical properties of a nonideal fully ionized plasma are discussed using kinetic theory. It is shown that plasma conductivity in a moderately nonideal case in general requires accounting for the arbitrary degeneracy of the electron component of the plasma. The analytical results obtained generalize the recently developed consideration of the optical properties of plasma for nondegenerate electrons. Calculations were carried out for the static conductivity of plasma.
About the authors
S. A. Trigger
Joint Institute for High Temperatures, Russian Academy of Sciences
Email: satron@mail.ru
125412, Moscow, Russia
S. A. Maslov
Joint Institute for High Temperatures, Russian Academy of Sciences
Author for correspondence.
Email: satron@mail.ru
125412, Moscow, Russia
References
- Ландау Л.Д., Лифшиц Е.М. Электродинамика сплошных сред. М.: Наука, 1982. 621 с.
- Александров А.Ф., Богданкевич Л.С., Рухадзе А.А. Основы электродинамики плазмы. М.: Высшая школа, 1978. 407 с.
- Dressel M., Gruener G. Electrodynamics of Solids. Optical Properties of Electrons in Matter. Cambridge: Cambridge Univ. Press, 2002. 474 p.
- Дьячков Л.Г., Кобзев Г.А., Панкратов П.М. Анализ экспериментальных данных по непрерывному излучению плотной плазмы инертных газов // ТВТ. 1996. Т. 34. 6. С. 867.
- Zaporoghets Y., Mintsev V., Gryaznov V., Fortov V., Reinholz H., Raitza T., Roepke G. Reflectivity of Nonideal Plasmas // J. Phys. A: Math. General. 2006. V. 39. 17. P. 4329.
- Kurilenkov Y.K., Berkovsky M.A. Collective Modes and Correlations // Transp. Opt. Prop. Nonideal Plasma. Springer, 1995. P. 215.
- Skowronek M., Rous J., Goldstein A., Cabannes F. Influence of Plasma Frequency on the Light Emitted by an Exploding Ionized Gaseous Filament // Phys. Fluids. 1970. V. 13. 2. P. 378.
- Magnitskiy S.A., Morozov I.V., Norman G.E., Valuev A.A. Anomalous Reflectivity from Nonideal Plasma // J. Phys. A: Math. General. 2003. V. 36. 22. P. 5999.
- Lankin A.V., Norman G.E. Crossover from Bound to Free States in Plasmas // J. Phys. A: Math. Theor. 2009. V. 42. 21. 214032.
- Khrapak S.A., Trigger S.A. To the Optical Properties of Moderately Non-ideal Plasma // J. Quant. Spectrosc. Radiat. Transfer. 2022. V. 290. 108297.
- Бобров В.Б., Тригер С.А. Оптические свойства двухкомпонентной жидкометаллической плазмы // ЖЭТФ. 1984. Т. 86. 2. C. 514.
- Khrapak S.A., Khrapak A.G. On the Conductivity of Moderately Non-ideal Completely Ionized Plasma // Results Phys. 2020. V. 17. 103163.
- Khomkin A.L., Shumikhin S.A. Plasma Phase Transition in Historical Aspect and the Role of Bound States // Contr. Pl. Phys. 2022. 202200011.
- Бобров В.Б., Тригер С.А. О квантовых эффектах в теории проводимости полностью ионизованной квазиклассической плазмы // Физика плазмы. 2010. Т. 36. № 9. С. 849.
- Градштейн И.С., Рыжик И.М. Таблицы интегралов, сумм, рядов и произведений. М.: Физматлит, 1963. 1100 с.
- Лифшиц Е.М., Питаевский Л.П. Физическая кинетика. М.: Наука, 1979. 528 с.
- Бобров В.Б., Тригер С.А. Соотношения Крамерса–Кронига для диэлектрической проницаемости, “истинный” радиус экранирования и критическая точка кулоновской системы // ТВТ. 2011. Т. 49. № 4. С. 513.
- Maslov S.A., Trigger S.A. High-frequency Spectral Density of Equilibrium Radiation and Zero Oscillations in the Presence of Electron Gas // Phys. Plasmas. 2022. V. 29. 033302.
Supplementary files





