Изучение смачиваемости поверхности в блочно-модульном контактном устройстве
- Authors: Бухаров Д.M.1, Степыкин A.V.1, Сидягин A.A.1, Жарова Т.В.1, Малыгин Л.A.1, Горюнов Н.С.1, Тутанина E.M.1
-
Affiliations:
- Нижегородский государственный технический университет им. Р.Е. Алексеева
- Issue: Vol 58, No 5 (2024)
- Pages: 667–673
- Section: Articles
- Published: 25.09.2024
- URL: https://journals.rcsi.science/0040-3571/article/view/281143
- DOI: https://doi.org/10.31857/S0040357124050134
- EDN: https://elibrary.ru/wcmfdt
- ID: 281143
Cite item
Full Text
Abstract
В работе рассмотрен вопрос смачиваемости регулярной насадки и тепломассообменного устройства ее включающего. В качестве основных экспериментальных моделей использовались элементы насадки с углом профиля гофр 85°, 100°, 115°. Изучение смачиваемости проходило с использованием лабораторного стенда. Блок контактного устройства орошался водой, которая отводилась в канализацию. Для оценки смачиваемости устройство окрашивалось водорастворимой краской. Коэффициент смачиваемости φ определялся в результате обработки следов краски на элементах через отношение неокрашенной поверхности к полной. В итоге исследований установлено, что для работы контактного устройства требуется обеспечить минимальное орошение, расчет минимальной плотности орошения можно проводить по известной зависимости, предложенной В.М. Раммом. Лучшая смачиваемость достигается при угле профиля гофр 85°, хуже всего смачиваются элементы насадки с углом профиля 115°. При этом на всех модификациях достигается доля смоченной поверхности более φ = 62%.
Full Text
ВВЕДЕНИЕ
Колонное массообменное оборудование непрерывно совершенствуется, и особое место среди такого оборудования занимают аппараты, позволяющие поддерживать заданные температурные условия и оптимизировать протекание массообменных и химических процессов за счет этого.
Одно из таких устройств, приведенное на рис. 1, разработано на кафедре ТОТС ДПИ НГТУ [1].
Рис. 1. Конструкция контактного тепло- и массообменного устройства: 1 – теплообменный блок, 2 – слой насадки, 3 – корпус аппарата.
Контактное устройство состоит из центрального коллектора и теплообменных модулей, в виде полых прямоугольных камер, закрепленных на коллекторах и объединенных в теплообменный блок (1), а также пакетов регулярной насадки (2), размещенных между теплообменными модулями блока. Штуцера от теплообменных модулей подведены по касательной к корпусу коллектора. Коллектор разделен горизонтальной перегородкой на верхнюю и нижнюю камеры, которые служат для ввода и вывода теплоносителя в полости теплообменных модулей.
Взаимодействующие фазы в разработанном устройстве движутся в противотоке. Сверху вниз, растекаясь по поверхности модулей и гофрированной насадки в виде пленки, стекает жидкость. Поток газа движется снизу вверх. За счет подачи теплоносителя в теплообменные модули происходит подогрев или охлаждение внутреннего объема аппарата.
Одной из важных характеристик работы устройства является степень смачивания жидкостью его поверхности при работе. Данная характеристика определяет поверхность контакта и толщину стекающей пленки, влияющую на интенсивность массо- и теплопереноса [2].
Достаточно часто смачиваемость изучают по растеканию жидкости по поверхности единичного элемента насадки. При этом изучается влияние на смачиваемость элементов фактуры и геометрии их поверхности. Например, в работе [3] рассмотрено влияние на смачиваемость горизонтальных и вертикальных микротекстур и перфорации, в работе [4] регулярной шероховатости с размером менее 1 мм [5–7]. В работах [8–10] проводилось изучение перетекания жидкости и структуры пленки на специальном листе насадки. Рассматриваемое устройство [1] имеет сложную структуру, а значит, существует совместное влияние разнородных элементов на качество смачивания. В связи с этим изучение смачиваемости поверхности проводилось на лабораторной модели в колонне диаметром 200 мм.
Целью настоящей работы является изучение смачиваемости контактного устройства различной модификации.
ЭКСПЕРИМЕНТАЛЬНАЯ ЧАСТЬ
В качестве объекта исследования рассматривалось устройство, изображенное на рис. 1. Высота устройства составляла 200 мм. Насадка 2 была разделена на два яруса с высотой 100 мм каждый. Размеры теплообменных модулей в блоке 1 составляли 200×58×10 (высота × ширина × толщина).
Насадка была выполнена в виде гофрированных стальных листов со схемой гофр, описанной в [1]. Гофры расположены вертикально. Для сопоставления параметров смачиваемости были проведены исследования, как тепломассообменных устройств в сборе, так и отдельно пакетов регулярной насадки. Параметры контактных устройств, изучаемых в эксперименте, приведены в табл. 1.
Таблица 1. Параметры лабораторных контактных устройств
Модиф. | Состав | Размеры гофр | Угол профиля | Удельная | Геометрия |
1 | Насадка (Н) | 14.7 × 8 | 85° | 315 | |
1а | Насадка и тепломассо- | 14.7 × 8 | 85° | 230 | |
2 | Н | 19.1 × 8 | 100° | 285 | |
2а | Н+ТМБ | 19.1 × 8 | 100° | 210 | |
3 | Н | 25.1 × 8 | 115° | 265 | |
3а | Н+ТМБ | 25.1 × 8 | 115° | 196 |
Тепломассообменное устройство устанавливалось в колонну лабораторного испытательного стенда. Общая схема стенда приведена на рис. 2.
Рис. 2. Схема экспериментального стенда для изучения смачиваемости контактного устройства: 1 – контактное устройство; 2 – корпус лабораторной колонны; 3 – распределитель жидкости; 4 – напорный бак; 5 – ротаметр; 6 – вентиль, 7 – блок термостата.
В лабораторную колонну 2 устанавливалось исследуемое устройство 1 одного из шести исполнений, приведенных в табл. 1. В качестве модельной среды в аппарате использовалась вода, которая из водопровода подавалась в напорный бак 4. Бак оснащен термостатом 7, позволяющим поддерживать температуру воды 20–25°С. Вода подавалась самотеком из напорного бака в колонну, распределялась леечным распределителем 3 по поверхности контактного устройства. Расход воды регулировался вентилем 6 и контролировался ротаметром 5. Отработанная вода отводилась из аппарата в канализацию. Высота установки распределителя 3 над слоем насадки составляла 200 мм.
В качестве характеристики для оценки качества смачивания поверхности контактного устройства принималось отношение смоченной поверхности к суммарной геометрической поверхности. Подобный показатель использовался в работах [2, 11, 12]. Таким образом, доля смоченной поверхности определялась:
, (1)
где F – полная поверхность устройства (или элемента устройства); Ft – смоченная поверхность устройства (или его элемента).
В качестве метода определения смоченной поверхности использовался метод красок, описанный в [2 и 13]. Метод заключается в нанесении водорастворимой краски на поверхность элементов устройства. При орошении жидкостью краска частично вымывается с образованием закрашенных и не закрашенных зон. В качестве краски использовалась гуашь (ТУ 2331-005-45943029-2018).
Определение смачиваемости проводилось в следующей последовательности.
Подготовка изделий: элементы устройств после каждого эксперимента промывались с полным удалением старой краски, затем просушивались при температуре 40–50°С не менее 2 ч в сушильном шкафу типа SNOL 67/350 LN.
Окраска элементов водорастворимой краской (гуашь) с каждой стороны с просушкой в сушильном шкафу при температуре 40–50°С не менее 6 ч.
Сборка устройства, установка в испытательную колонну.
Работа колонны при орошении с заданным расходом до визуальной фиксации отсутствия красителя в потоке отводимой воды.
Разборка устройства, фотосъемка элементов с каждой стороны.
Обработка элементов контактного устройства на ПК, определение смоченной поверхности, где была смыта краска, расчет коэффициента смачиваемости.
Рис. 3. Примеры пакетов элементов насадки.
На рис. 3. приведены секторы пакета насадки модификации 2, устанавливаемой в колонну. На рис. 4 показан тепломассообменный блок в сборе, модификации блока 2а.
Рис. 4. Пример собранного контактного устройства.
РЕЗУЛЬТАТЫ И ИХ ОБСУЖДЕНИЕ
Определение смоченной поверхности выполнялось путем анализа полученных фотографий отдельных элементов устройства после работы в аппарате. Из-за вымывания части краски на поверхности насадки остаются следы – пятна краски, которые указывают на отсутствие жидкости на ее поверхности. С помощью программы КОМПАС-3D была произведена обводка контуров пятен краски на фотографии (spline). Затем, с помощью встроенных инструментов определялись площади смоченных и несмоченных фрагментов элементов насадки и теплообменных модулей.
Примеры элементов со следами краски после работы в аппарате показаны на рис. 5.
Рис. 5. Примеры окрашенных элементов после обработки при плотности орошения U = 24.2 м³/(м² с): а) гофры, α = 85° (коэффициент смачиваемости элемента φ=92.2%); б) гофры, α = 100° (φ = 90.1%); в) гофры, α = 115° (φ = 70.9%); г) теплообменный модуль (φ = 90.5%).
Так как насадка имеет гофры с одинаковым углом наклона на всей поверхности, то при фронтальной съемке образцов можно считать, что их поверхность при обработке проецируется на фото одинаково во всех частях.
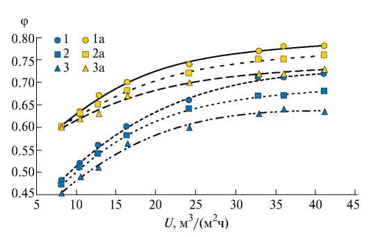
Расчет величины коэффициента смачиваемости проводился по (1). В результате обработки данных в диапазоне плотностей орошения 8–41 м³/(м²·ч)) была установлена зависимость коэффициента смачиваемости от плотности орошения. Зависимость приведена на рис. 6. Установлено, что с ростом плотности орошения смоченность поверхности контактных устройств повышается. При значениях плотности орошения более 30 м³/(м² · ч) φ почти не изменяется, при этом достигая для разных модификаций значений 62–78%.
Анализируя полученные зависимости, можно отметить, что геометрия элементов насадки существенно влияет на показатели смачиваемости. Более высокие коэффициенты смачиваемости достигаются для элементов с более острым углом профиля гофр.
При малом угле профиля гофр на элементе помещается большее их количество, что приводит к лучшему перераспределению жидкости между гофрами. В случае значительного угла α распределение и растекание струй затруднено.
Рис. 6. Зависимость коэффициента смачиваемости φ от плотности орошения для разных модификаций контактного устройства 1, 2, 3, 1а, 2а, 3а (табл. 1).
Наличие теплообменных элементов снижает удельную поверхность устройства, т.к. часть насадки заменяется теплообменными модулями с меньшей поверхностью, это видно из табл. 1. В связи с этим увеличивается линейная плотность орошения. Кроме этого, изменяется внутренняя структура устройства, что сказывается на перераспределении жидкости. Все это приводит к повышению показателя смачиваемости φ.
Для задания режима работы контактного устройства, оценивают минимальную плотность орошения Umin согласно [2]. При плотности орошения меньше Umin коэффициент смачиваемости поверхности изменяется существенно при обеспечении минимальной плотности орошения и выше φ изменяется незначительно. В источнике [2] приведены зависимости для определения минимальной плотности орошения для разных типов насадочных контактных устройств. Для регулярных насадок рекомендуется зависимость вида (2):
(2)
При подстановке значений удельной поверхности в (2) для насадки модификации 1, 2, 3 (табл. 1) минимальная плотность орошения составит U = 31.5–37.5 м³/(м² · ч). Для насадки модификации 1а, 2а, 3а (табл. 1) минимальная плотность орошения составит U = 23.25–27.3 м³/(м² · ч). При значениях минимальной плотности орошения, определенных по формуле (2), значение коэффициента смачиваемости будет находиться в интервале φ = 63–78%. Дальнейшее увеличение плотности орошения выше минимальной не приводит к существенному увеличению φ.
Согласно рекомендациям [2, 13 – 16] для регулярных и нерегулярных насадок, коэффициент смачиваемости в зависимости от плотности орошения определяют по зависимости (3):
, (3)
где U – плотность орошения, м³/(м²·ч); p, q – коэффициенты, зависящие от типа насадки.
Для применения формулы (3) к исследуемому устройству следует уточнить коэффициенты p, q. Были проведены преобразования формулы (3), аналогично подходу, описанному в [13]:
. (4)
; . (5)
Зависимости вида (5), построенные в координатах X, Y (6), приведены на рис. 7:
Рис. 7. Зависимость Y от X для разных модификаций контактного устройства 1, 2, 3, 1а, 2а, 3а (табл. 1).
Анализируя полученные зависимости, можно отметить, что экспериментальные данные хорошо обрабатываются представленной в [2] зависимостью. В результате обработки получены коэффициенты p, q, которые приведены в табл. 2. Для модификаций 1, 2, 3 значения коэффициента p незначительно меняются в зависимости от угла между гофрами насадки в диапазоне 0.0237–0.0252, для расчетов можно принять p = 0.024. Для модификаций 1а, 2а, 3а значения коэффициента p также незначительно меняются в зависимости от α насадки в диапазоне 0.0173–0.0186, для расчетов можно принять p = 0.018.
Таблица 2. Коэффициенты p, q для зависимости (3)
Модификация | Угол профиля гофр | q | p |
1 | 85° | 0.0038 | 0.024 |
2 | 100° | 0.0045 | |
3 | 115° | 0.0053 | |
1а | 85° | 0,0051 | 0.018 |
2а | 100° | 0.0058 | |
3а | 115° | 0.0066 |
Анализируя данные в табл. 2, можно отметить, что коэффициент q изменяется в зависимости от угла профиля гофр, как в модификациях 1, 2, 3, так и в модификациях 1а, 2а, 3а. Также коэффициенты различаются в модификациях с тепломассообменным блоком и без него. С ростом угла α растет и коэффициент q. Стоит отметить, что характер зависимости q от α также несколько меняется для всех модификаций. Для расчета коэффициента q можно порекомендовать формулы (6) для модификаций 1, 2, 3, (7) – для модификаций 1а, 2а, 3а:
, (6)
. (7)
Сравнивая показатели рассматриваемого устройства с ранее исследованным, можно сделать вывод, что значения в целом сопоставимы с [13].
ЗАКЛЮЧЕНИЕ
В результате проделанной работы можно сделать ряд выводов.
Установлено, что в диапазоне плотностей орошения 8–41 м³/(м² · ч)) пакеты гофрированной насадки (модификации 1, 2, 3) имеют степень смачиваемости φ = 45–72%, со встроенными теплообменными модулями (модификации 1а, 2а, 3а) φ = 60–78%.
Для работы контактного устройства требуется обеспечить минимальное орошение, расчет минимальной плотности орошения можно проводить по (2) для всех модификаций устройств. Это обеспечивает долю смоченной поверхности более φ = 62%.
Лучшая смачиваемость достигается при использовании насадки с углом профиля гофр 85°, хуже всего смачиваются элементы насадки с углом профиля 115°. В среднем эта разница составляет от 6–15%.
Встраивание теплообменных элементов приводит к увеличению плотности орошения и доли смоченной поверхности в среднем на 15–20%, ввиду меньшей удельной поверхности в сравнении с пакетами насадки.
Для определения смачиваемости поверхности контактного устройства в зависимости от плотности орошения можно использовать известную зависимость вида (4), коэффициенты для которой были уточнены и приведены в табл. 2.
В сравнении с контактным устройством, приведенным в [13], имеющим схожую конструкцию, стоит отметить, что значения φ для модификаций 1а, 2а, 3а сопоставимы с рассмотренным в [13] устройством.
ОБОЗНАЧЕНИЯ
а - удельная поверхность контактного устройства, м²/м³;
b - ширина гофр, мм;
F - полная поверхность устройства;
Ft - смоченная поверхность устройства;
h - высота гофр, мм;
p, q - коэффициенты, зависящие от типа насадки;
U - плотность орошения, м³/(м² с);
φ - доля смоченной поверхности, %.
α - угол профиля гофров насадки, °.
ИНДЕКСЫ
min - минимальное значение
About the authors
Д. M. Бухаров
Нижегородский государственный технический университет им. Р.Е. Алексеева
Author for correspondence.
Email: 89875580823@yandex.ru
Russian Federation, Нижний Новгород
A. V. Степыкин
Нижегородский государственный технический университет им. Р.Е. Алексеева
Email: 89875580823@yandex.ru
Russian Federation, Нижний Новгород
A. A. Сидягин
Нижегородский государственный технический университет им. Р.Е. Алексеева
Email: 89875580823@yandex.ru
Russian Federation, Нижний Новгород
Т. В. Жарова
Нижегородский государственный технический университет им. Р.Е. Алексеева
Email: 89875580823@yandex.ru
Russian Federation, Нижний Новгород
Л. A. Малыгин
Нижегородский государственный технический университет им. Р.Е. Алексеева
Email: 89875580823@yandex.ru
Russian Federation, Нижний Новгород
Н. С. Горюнов
Нижегородский государственный технический университет им. Р.Е. Алексеева
Email: 89875580823@yandex.ru
Russian Federation, Нижний Новгород
E. M. Тутанина
Нижегородский государственный технический университет им. Р.Е. Алексеева
Email: 89875580823@yandex.ru
Russian Federation, Нижний Новгород
References
- Патент на изобретение Изобретение Ru 2806946 C1, МПК В01D 3/28. Тепломассообменное устройство / Д.М. Бухаров, А.В. Степыкин, А.А. Сидягин; заяв. НГТУ им. Р. Е. Алексеева. – № 2022125116/05(054597); заявл. 26.09.22; опубл..
- Рамм В.М. Абсорбция газов. М.: Химия, 1976.
- Павленко А.Н., Володин О.А., Сердюков В.С. Особенности пленочного течения жидкого азота по структурированным поверхностям // Вестник Новосибирского государственного университета. Серия: Физика. 2015. Т. 10. № 1. С. 33.
- Дорошенко А.В., Васютинский С.Ю. Совершенствование тепломассообменной аппаратуры для энергетических систем // Проблемы региональной энергетики. 2008. № 2. С. 32.
- Vasiliev P.D., Sidyagin A.A., Stepykin A.V., Bukharov D.M., Balakhnin I.A. Influence of the surface structure on the wettability of polymer packing elements in heat- and mass-transfer equipment // Theoretical Foundations of Chemical Engineering. 2022. Т. 56. № 2. С. 212. [Васильев П. Д., Сидягин А.А., Степыкин А.В., Бухаров Д.М., Балахнин И.А. Влияние структуры поверхности на смачиваемость полимерных насадочных элементов тепломассообменных аппаратов// Теоретические основы химической технологии. 2022. Т. 56. № 2. С. 209.]
- Cooke J.J., Gu S., Armstrong L.M., Luo K.H. Gas-liquid flow on smooth and textured inclined planes // International Scholarly and Scientific Research & Innovation. 2012. V. 6. № 8. P. 1712.
- Yoshiyuki I., Xi C. Development of numerical prediction of liquid film flows on packing elements in absorbers // Engineering review. 2011. V. 11. № 2. P. 1.
- Gorodilov A.A., Pushnov A.S., Berengarten M.G. Spreading of a fluid jet on the corrugated surface of the structured packing of wet scrubbers // Problems of the regional energetics. 2014. № 2. P. 57.
- Gorodilov A.A., Berengarten M.G., Pushnov A.S. Features of fluid film falling on the corrugated surface of structured packings with perforations // Theor. Found. Chem. Eng. 2016. V. 50. № 3. P. 325. [Городилов А.А., Беренгартен М.Г., Пушнов А.С. Особенности пленочного течения жидкости по гофрированной поверхности регулярных насадок с перфорацией // Теорет. основы хим. технологии. 2016. Т. 50. № 3. С. 334.]
- Пушнов А.С., Городилов А.А., Беренгартен М.Г. Гидродинамика растекания струи жидкости по гофрированной поверхности регулярной насадки с просечными элементами // Химическая технология. 2014. Т. 15. № 6. С. 364.
- Kubiak K.J., Wilson M.C.T., Mathia T.G., Carval Ph. Wettability versus roughness of engineering surfaces // Wear. 2011. V. 271. № 3–4. P. 523.
- Nakae H., Yoshida M., Yokota M. Effects of roughness pitch of surfaces on their wettability // J. Mater. Sci. 2005. V. 40. P. 2287.
- Степыкин А.В. Гидродинамика и массообмен в регулярной насадке со встроенными теплообменными модулями: диссертация кандидата технических наук: 05.17.08 / Степыкин А.В.; [Место защиты: ФГБОУ ВО Тамбовский государственный технический университет], 2016.
- Ветошкин А.Г. Аппаратурное оформление процессов защиты атмосферы от газовых выбросов: учебное пособие / А.Г. Ветошкин. – 2-е изд., испр. и доп. М.: Инфра-Инженерия, 2020.
- Сидягин А.А. Колонные аппараты для массообменных процессов: учеб.пособие для студентов вузов / А.А. Сидягин. Н.Новгород: Нижегор. гос. техн. ун-т им. Р.Е. Алексеева, 2009.
- Chao Wang. Mass Transfer Coefficients and Effective Area of Packing: The Dissertation Ph.D / Wang Chao; [The University of Texas at Austin]. 2015.
Supplementary files










