Двухуровневое моделирование кинетики фазообразования при синтезе композита из порошков Ti-Al-Fe2O3 в 3D-технологии
- Autores: Князева А.Г.1, Крюкова О.Н.1
-
Afiliações:
- Институт физики прочности и материаловедения СО РАН
- Edição: Volume 58, Nº 3 (2024)
- Páginas: 292-302
- Seção: Articles
- ##submission.datePublished##: 22.11.2024
- URL: https://journals.rcsi.science/0040-3571/article/view/271071
- DOI: https://doi.org/10.31857/S0040357124030041
- EDN: https://elibrary.ru/bwjksq
- ID: 271071
Citar
Texto integral
Resumo
Предложена двухуровневая модель синтеза композита из порошков, способных к химическим превращениям. Процесс управляется лазерным воздействием. Химические превращения моделируются на масштабном уровне частиц (в реакционной ячейке), где учитывается контролирующая роль диффузии в механизме реакций. Задача для реакционной ячейки решается аналитически, что удобно при численной реализации всей модели. Продемонстрирована роль важных параметров – плотности мощности луча лазера, ширины сканирования и даны параметры, характеризующие потери тепла. Показана возможность управления фазовой структурой.
Palavras-chave
Texto integral
ВВЕДЕНИЕ
В последние годы получили развитие комбинированные лазерные и электронно-лучевые технологии, в которых формирование состава происходит непосредственно в процессе создания изделия или синтеза покрытия [1]. Большой интерес в комбинированных технологиях вызывают сплавы и композиты на основе Ti и Al. Ни для кого не секрет, что интерметаллидные сплавы на основе Ti–Al являются одним из наиболее ценных материалов в аэрокосмической и автомобильной промышленности благодаря привлекательному сочетанию низкой плотности, отличных механических свойств [2]. Однако их применение ограничено температурами до 873–973 K из-за склонности к окислению при более высоких температурах [3]. Сочетание низкой плотности, низкого модуля Юнга, хороших механических свойств, хорошей коррозионной стойкости и высокой биосовместимости делает титановые сплавы одним из наиболее востребованных материалов для биомедицинских имплантатов [4]. Модификация поверхностей сплавов с помощью упрочняющих частиц или синтеза металломатричных композитов на основе сплавов Ti–Al [5–9] помогает решить многие проблемы. Фазовый состав продукта синтеза в подобных технологиях далек от равновесного, а кинетические закономерности не очевидны, что не поддается объяснению с традиционной точки зрения. Поскольку непосредственное наблюдение эволюции фазового состава в технологии проблематично, на помощь приходит математическое моделирование, сопоставление результатов которого с данными эксперимента позволяет говорить о сложных механизмах процесса. “Предсказание” изменения состава на основе равновесной термодинамики или по расчетам поля температуры и динамики стационарной ванны расплава не учитывает особенностей технологий и взаимовлияния процессов разной физической природы, даже если при этом используются современные популярные методы [10, 11], требующие много информации о свойствах (точность определения которых невелика) и содержащие множество параметров с нечетко определенным смыслом.
Для того чтобы исследовать особенности формирования состава композита в неравновесных условиях лазерной технологии, в настоящей работе предложена двухуровневая модель, учитывающая диффузионный механизм химических реакций на уровне частиц порошка.
МАТЕМАТИЧЕСКАЯ МОДЕЛЬ
Общая постановка проблемы. Полагаем, что на поверхности плоской подложки расположена смесь порошков Ti+Al+Fe2O3 которую опишем в приближении эффективной сплошной среды. Нагрев плоского слоя осуществляется лазерным или электронным лучом; за время наблюдения формируется тонкий прогретый слой, толщина которого сравнима с характерным тепловым масштабом. В процессе продвижения источника за ним формируется область прогрева, ванна расплава и зона термического влияния, основные процессы в которых протекают однородно по толщине. Возможные потери тепла в подобных моделях учитываются в изменении плотности мощности внешнего источника тепла и за счет слагаемого, формально подобного закону конвективного теплообмена. Для исследования качественных закономерностей полагаем, что все свойства являются некоторыми средними и/или рассчитанными при некоторой характерной для процесса температуре. В настоящей работе для описания физико-химических процессов, происходящих в тонком поверхностном слое в условиях управляемого синтеза покрытия на подложке, используем двумерную модель, которая включает тепловую подзадачу и диффузионно-кинетическую подзадачу, связанные между собой.
Тепловая задача. Двумерное уравнение теплопроводности имеет вид:
, (1)
где – суммарные потери тепла; – потери тепла за счет конвекции (лазерное управление процессом происходит в атмосфере инертных газов; – эффективный коэффициент теплоотдачи; дополнительные потери тепла в подложку или в основной материал можно учесть как формальное увеличение этого коэффициента); слагаемое описывает потери тепла по закону Стефана–Больцмана; – постоянная Стефана–Больцмана; – эффективная степень черноты поверхности. Слагаемое отражает суммарное тепловыделение вследствие химических реакций и зависит от решения диффузионно-кинетической задачи, которая будет описана ниже.
Распределение энергии в луче лазера опишем законом Гаусса:
,
где W0 – мощность излучения лазера (Вт = Дж/с); SL – эффективная площадь пятна нагрева; h – толщина пластины; k – коэффициент сосредоточенности лазерного излучения (при численном моделировании служит для согласования с экспериментом); fl – коэффициент отражения лазерного излучения; VL,x и VL,x – скорости движения луча лазера вдоль обрабатываемой поверхности (задаются с помощью простого алгоритма так же, как и в эксперименте); x0, y0 – координаты точки, с которой лазерный луч начинает движение; RL – эффективный радиус луча лазера.
В окрестности температуры плавления Tm теплоемкость вещества значительно изменяется. Простейший вариант учета скрытой теплоты плавления и состоит в учете изменения теплоемкости [12]:
(2)
где Lm – скрытая теплота плавления; – дельта-функция Дирака (в расчетах она заменяется дельта-образной функцией при условии выполнения закона сохранения энергии при плавлении); индекс “s” относится к твердой фазе; “L” – к жидкой. В данной работе легкоплавким компонентом является алюминий, поэтому за температуру плавления Tm принимается температура плавления алюминия. К описанию плавления возможны и другие подходы.
Так как толщина пластины h много меньше ширины и длины , то потерями тепла с торцов пластины можно пренебречь. Тогда граничные условия к уравнению (1) примут вид:
; (3)
. (4)
В начальный момент времени t = 0 имеем T = T0.
Химическое тепловыделение и состав в каждой точке макрообразца определяется из решения отдельной задачи. Она может быть сформулирована разными способами. Поскольку детальная кинетика реакций для данной системы в неравновесных условиях лазерного синтеза неочевидна, ограничим эту часть задачи некоторой суммарной реакционной схемой, включающей стадию формирования упрочняющих частиц и стадию формирования матрицы. Для учета особенностей реакций на уровне частиц порошка рассмотрим отдельную диффузионно-кинетическую задачу.
Описание эволюции состава. В системе Al+Fe2O3+Ti принципиально возможны две основные реакции с образованием оксидов алюминия и титана:
2Fe2O3 + 4Al = 2Al2O3 + 4Fe;
2Fe2O3 + 3Ti = 3TiO2 + 4Fe.
Реакции этого типа наиболее экзотермические, по сравнению с иными реакциями, возможными в смеси. Однако полагаем, что более мелкие частицы титана быстро растворяются в расплаве алюминия, так что к началу взаимодействия оксидной частицы с расплавом можно представить такую ситуацию: в центре расплава Al+Ti находится частица оксида железа. Далее идет реакция замещения железа алюминием. Высвобождающееся железо поступает в расплав, где также возможны химические реакции, приводящие к образованию сложного состава матрицы, окружающей новую частицу.
Для описания процессов, протекающих на уровне частиц, выделим некоторый мезообъем, содержащий достаточное количество частиц разных сортов так, чтобы осреднение состава по объему было корректным. Заменим выделенную ячейку эквивалентной ячейкой сферической формы радиуса R0 так, чтобы в ее центре находилась тугоплавкая частица исходного оксида Fe2O3. На каждую частицу приходится некоторая доля матрицы, размер и состав которой в начальный момент времени могут быть рассчитаны исходя из размера частиц и их процентного соотношения в исходной смеси аналогично более простым системам [13, 14]. Каждая такая эквивалентная ячейка соответствует некоторой точке макрообразца (пластины) с координатами (x, y). Начальным моментом времени для диффузионно-кинетической задачи является время достижения температуры плавления Tm в макрозадаче в точке, которой соответствует реакционная ячейка. До этого момента эквивалентная ячейка будет иметь вид, показанный на рис. 1а.
Рис. 1. Структура реакционной ячейки: а) до начала химических реакций, б) после начала реакции и диффузии. Обозначения: 1 – область оксида железа; 2 – область оксида алюминия; 3 – область матрицы. Пунктирными линиями отмечены подвижные границы раздела: R1 = R1(t) – граница между двумя оксидами; R2 = R2(t) – граница между раствором, содержащим железо, и исходным раствором Ti–Al. В диффузионно-кинетической задаче эта граница может не учитываться явно, как в [16].
В начальный момент времени t = 0 имеем:
в области от 0 до : , , , ,
в области от до 1: , , , .
Затем идет образование оксида алюминия по механизму реакционной диффузии и перераспределение элементов в области, окружающей суммарную частицу, размер которой не изменяется (рис. 1б). Полагаем, что кислород из оксидной фазы в матрицу не попадает, точно так же, как титан не попадает в оксидную фазу. Железо, как сказано выше, поступает в расплав, окружающий частицу, посредством диффузии.
Величины определяются составом оксидов Fe2O3 и Al2O3:
;
.
Массовые концентрации элементов в фазах частицы и матрицы будут следовать из решения диффузионной подзадачи, подобной [15, 16]:
; (5)
, (6)
;
; ; (7)
;
; (8)
; . (9)
Условие (8) есть условие на подвижной границе раздела оксидов , положение которой нужно найти. Условия (9) и (10) есть условия на границе R0 суммарной частицы и матрицы для диффундирующих элементов. Условия заключаются в равенстве диффузионных потоков и химических потенциалов компонентов по разные стороны от границы. Последнее условие вследствие разной подвижности элементов в разных фазах приводит к разрыву в концентрациях, что и отражают безразмерные коэффициенты , .
На внешней границе ячейки или вдали от границ раздела фаз источники и стоки для компонентов отсутствуют.
Коэффициенты диффузии элементов в фазах зависят от температуры в соответствии с законом Аррениуса:
,
,
где и – энергии активации диффузии в фазах; и – предэкспоненциальные множители для коэффициентов диффузии в фазах; .
По объему эквивалентной ячейки температура неизменна и зависит только от координат макрозадачи.
Таким образом, диффузионная задача для двух элементов решается в области от R1 до Rm. Положение границы R1 зависит от времени. Границы Rm и R0 – неподвижные. Возможные реакции образования интерметаллидов в первом приближении не рассматриваем.
Принципиальных проблем нет для численного решения нестационарной диффузионной задачи с подвижной границей совместно с задачей макроуровня. Однако более удобен иной подход, допускающий частичное аналитическое решение, что сразу позволяет увидеть качественные закономерности. Решение диффузионно-кинетической задачи в квазистационарном приближении представлено в Приложении. Метод решения является вполне корректным и часто используется в подобных задачах. Его обоснование имеется, например, в [13]. Более того, поскольку сама постановка задачи с выделением реакционной ячейки является приближенной, решение ее приближенным аналитическим методом не делает ее ни точнее, ни грубее. Достоинством применения аналитического решения в вычислительном алгоритме для двухуровневой модели является сокращение объема вычислений. Однако строгое обоснование квазистационарного подхода в каждой двухуровневой модели (содержащей несколько временных и пространственных масштабов) требует отдельного рассмотрения, что выходит за рамки настоящей работы.
После решения диффузионной задачи в каждый момент времени можем рассчитать объемы, занимаемые разными фазами:
и .
Объемы, занимаемые матрицей и суммарной частицей, остаются неизменными. Однако объемные доли оксидных фаз в общем объеме реакционной ячейки изменяются:
; ,
где . Так что
и .
Изменение во времени доли оксида алюминия определяет скорость тепловыделения на макроуровне:
,
где – тепловыделение в реакции замещения.
В общем случае фаза Al2O3 содержит свободные Al и Fe, а фаза матрицы содержит Al, Ti, и Fe. Средний состав матрицы в эквивалентной сферической ячейке, соответствующей макроточке (x, y), находим из формул:
;
;
.
Таким образом, микро- и макрозадачи оказываются полностью связанными. Имеется возможность изучить изменение состава композита в процессе сканирования в деталях, однако с увеличением параметров и появлением двух масштабных уровней явно возникают и дополнительные проблемы, которые накладывают ограничения как на выбор численных значений физических величин, так и на вычислительный алгоритм.
С учетом характерных тепловых и диффузионных масштабов условие применимости подобной двухуровневой модели имеет вид:
.
По определению эквивалентной ячейки, k > 1 и
,
что заведомо выполняется для твердофазных процессов. Однако для процессов, протекающих с участием жидкой фазы, это неравенство всегда требует предварительной проверки. Здесь и – энергия активации и предэкспоненциальный фактор для коэффициента диффузии в области 2.
МЕТОД РЕШЕНИЯ
Безразмерные переменные. Перейдем в макрозадаче к безразмерным переменным:
, . ; ,
где
, и ,
– характерный диффузионный масштаб; в случае реакции, контролируемой диффузией, ее энергию активации можно принять равной – энергия активации диффузии в слое, диффузия через который тормозит реакцию; – предэкспонент в законе Аррениуса для коэффициента диффузии; – размер реакционной ячейки. Тогда тепловая задача принимает вид:
(10)
: ; : (11)
: , (12)
где
,
,
; ; ; ,
; ;
; ; ;
; .
Дельтообразная функция
удовлетворяет сохранению энергии при фазовом переходе.
Распределение концентраций в фазах рассчитывается из аналитического решения [15]. В квазистационарном приближении в задаче появляется еще одна подвижная граница R2, которая разделяет области матрицы, содержащей железо и не содержащей его (пунктир на рис. 1б в области матрицы). Так что диффузионная задача решается между двумя подвижными границами. В переменных:
и
имеем в области оксида алюминия
; (12)
и в области новой матрицы, которая образуется в результате растворения железа в расплаве алюминия и титана:
; . (13)
Постоянные интегрирования и зависят от параметров мезоуровня и представлены в Приложении, чтобы не загромождать текст. Там же представлены уравнения для подвижных границ.
Средний состав матрицы , j = Al, Ti, Fe также можно определить в явном виде, проинтегрировав полученное аналитическое решение в пределах от до 1 и разделив его на объем матрицы (см. Приложение).
Алгоритм. Задачу теплопроводности (задача на макроуровне) решаем, используя неявную разностную схему расщепления второго порядка аппроксимации по пространственным шагам и первого по времени. Граничные условия аппроксимируем также со вторым порядком по пространственным шагам, используя представление искомых величин в виде ряда Тейлора относительно их значений на границах. Для диффузионной задачи используем аналитическое приближение. Последовательность расчетов на каждом шаге по времени состоит в следующем.
Находим распределение температуры для момента времени . При этом величина тепловыделения вследствие фазообразования считается известной с предыдущего слоя для момента τ.
Следующий шаг – расчет в каждой точке макрообразца распределения концентраций в диффузионной задаче. После этого на этом же шаге от τ до находим положение границ раздела между оксидами в каждой реакционной ячейке и между исходным расплавом и новым раствором. Задача для нахождения нового положения границ раздела представляет собой систему нелинейных обыкновенных дифференциальных уравнений, которая решается численно (используется метод Эйлера).
Далее можем определить размеры областей, занятых оксидными фазами в каждой ячейке и объемные доли фаз
; .
После этого определяем состав матрицы и переходим на следующий слой по времени.
Используя данные по кинетическим и теплофизическим параметрам для разных веществ (Ti, Al, Fe, O), находим область изменения входящих в модель параметров:
; ; ;
, ; ;
; ; .
Для иллюстрации возможностей модели принято:
; ; ; ;
; ; ; ;
; ; ;
; ; .
Начальный состав для примеров выбран следующим:
в области от 0 до : , , , ,
в области от до 1: , , , .
Модель позволяет анализировать эволюцию состава как в каждой ячейке, так и в образце в целом при изменении макроскопических параметров: скорости движения лазерного луча , шага сканирования (расстояния между двумя траекториями движения лазера вдоль оси и в обратном направлении), мощности излучения .
На каждом шаге по времени в каждой точке макрообразца изменение состава определяется из задач мезоуровня, для которых температура является входным параметром. С другой стороны, результат решения мезозадач учитывается в суммарном химическом тепловыделении. Так что уровни оказываются полностью связанными.
РЕЗУЛЬТАТЫ И ИХ ОБСУЖДЕНИЕ
Представленные ниже иллюстрации демонстрируют возможности двухуровневой модели.
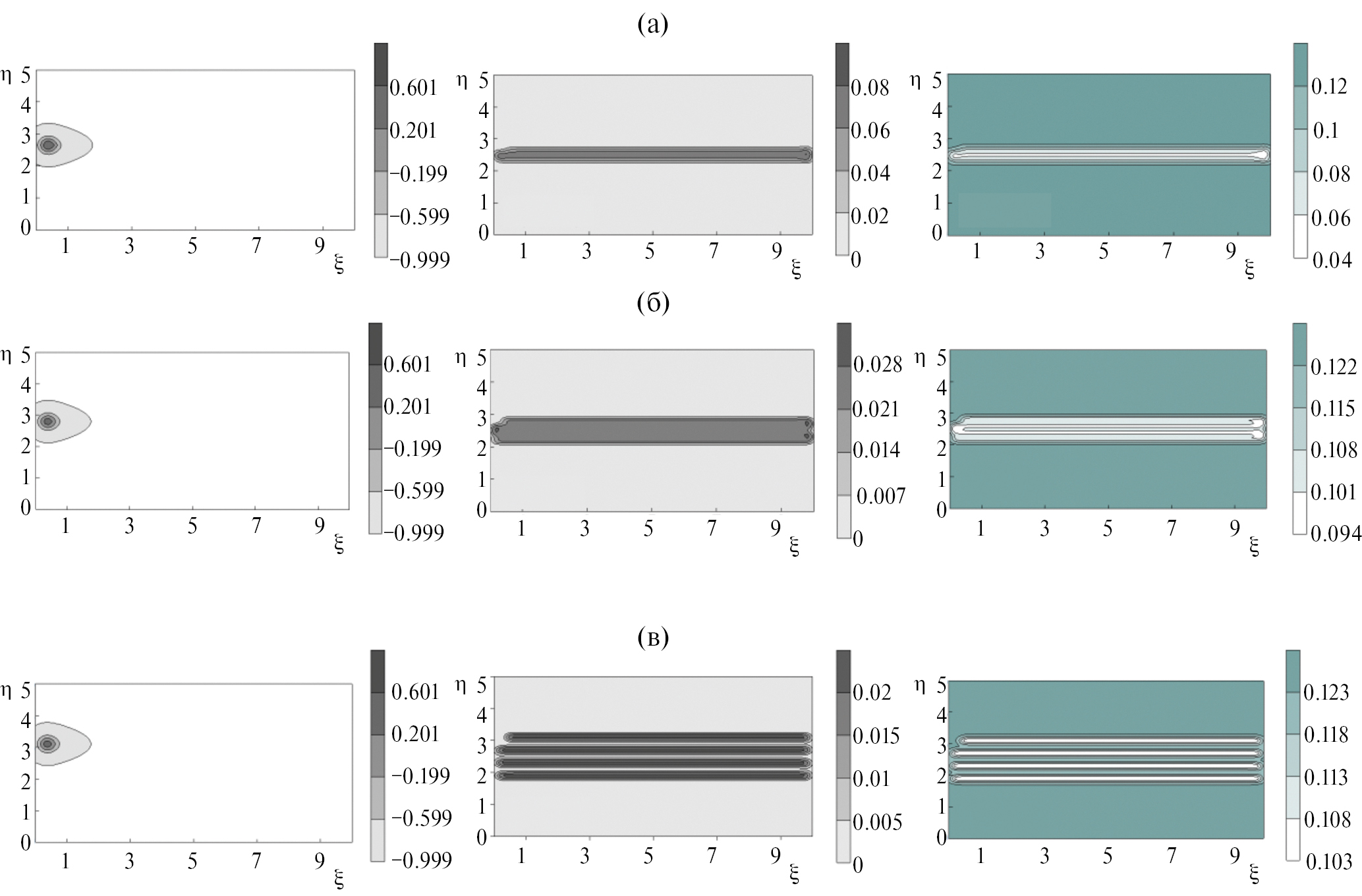
На рис. 2 представлен пример распределения температуры и объемных долей оксидных фаз в последовательные моменты времени для четырех проходов лазерного луча вдоль поверхности. Для выбранного набора параметров форма ванны расплава и зоны термического влияния быстро устанавливаются, как и величина максимальной температуры. Однако в области за лучом лазера химические реакции продолжаются, что приводит к формированию дорожки с новым составом. На рисунках можно заметить и краевые эффекты – неоднородный состав вблизи левой и правой границ пластины. Неоднородный состав наблюдается и во всей области, которую покинул лазерный луч, вследствие неоднородного поля температуры.
Рис. 2. Изменение температурного поля (а) и фазового состава продукта (б, в) со временем; (б) объемная доля оксида алюминия; (в) объемная доля оксида железа. Se = 18; = 0.5, Nu = 2, hη = 40.
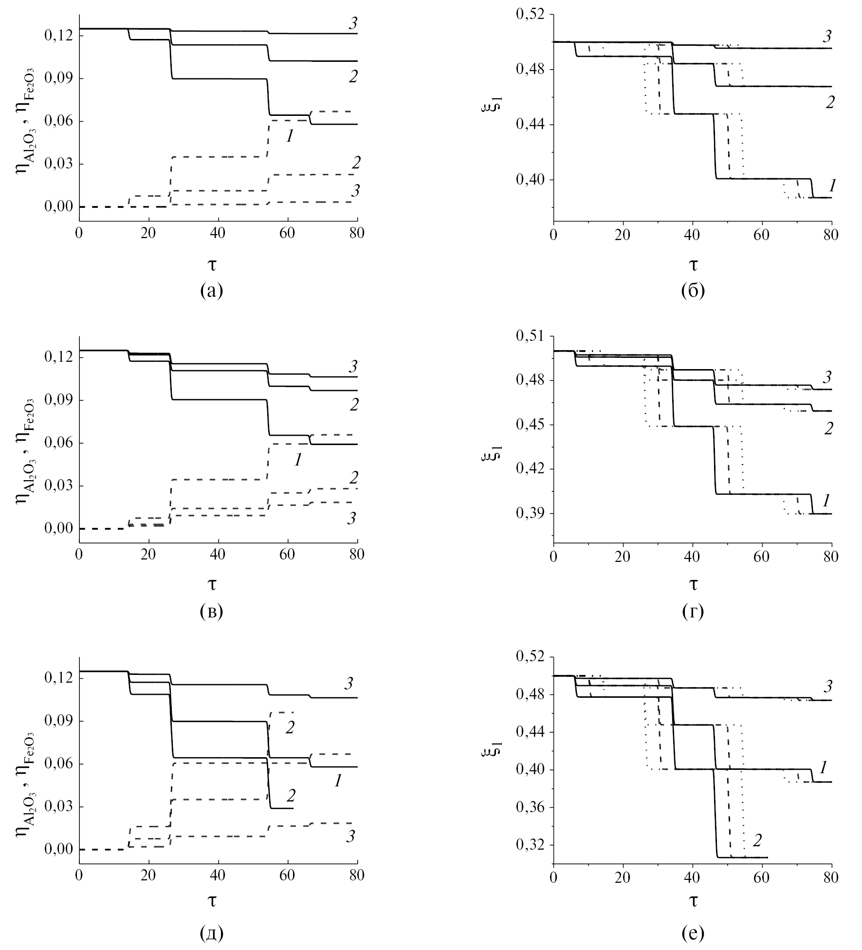
Изменение состава во времени и эволюция радиуса частицы оксида железа в разных точках макрообразца (рис. 3а, в, д) отражают динамику температурного поля. Даже всего при четырех проходах температура в каждой точке несколько раз быстро растет и также быстро уменьшается практически до начальной температуры. Очевидно, что со временем доля оксида железа уменьшается, а доля оксида алюминия увеличивается. Наибольшее влияние на процесс оказывает шаг сканирования лазерного луча (рис. 3а), плотность мощности луча (рис. 3б), потери тепла по конвективному механизму (рис. 3в) и скорость движения луча. С увеличением ширины сканирования, например, увеличивается размер области вблизи лазерной дорожки, куда уходит тепло, с чем связано уменьшение температуры и замедление реакций. Чем выше плотность потока энергии луча, скорость сканирования и чем меньше шаг сканирования, тем быстрее происходит превращение.
Рис. 3. Зависимости объемных долей оксидных фаз в макроточке (ξ = 7, η = 2.5) ηFe2O3 – сплошные линии, ηAl2O3 – пунктирные линии (а, в, д, слева) и радиуса частицы оксида железа (б, г, е) от времени. Зависимости от времени радиуса частицы (б, г, е) представлены для разных макроточек: сплошные кривые – (ξ = 7, η = 1.5), штриховые – (ξ = 3, η = 2.5), пунктирные – (ξ = 5, η = 2.5). (a, б) – варьируется ширина сканирования: 1 – hη = 20, 2 – hη = 40, 3 – hη = 80; Se = 18, = 0.5, Nu = 3. (в, г) – варьируется плотность мощности лазерного луча: 1 – Se = 25, 2 – Se = 20, 3 – Se = 18; = 0.5, Nu = 4, hη = 20. (д, е) – варьируется безразмерный параметр Nu: 1 – Nu = 2, 2 – Nu = 3, 3 – Nu = 4; Se = 18, = 0.5, hη = 20.
Увеличение потерь тепла приводит как к уменьшению температуры, так и к появлению более высоких градиентов в окрестности луча, что опять приводит к замедлению реакций. В результате четырех проходов получаем композит, содержащий некоторую долю оксида железа и некоторую долю оксида алюминия в матрице сложного элементного состава. Например, к концу процеса обработки в точке на поверхности образца с координатами радиус частицы будет иметь значение при ; при и при .
Распределение концентраций в частицах качественно аналогично моделям [15, 16] и здесь не представлено.
Рис. 4 свидетельствует о том, что, варьируя ширину сканирования, можно получать разные периодические структуры, соответствующие разному фазовому составу композита в области, где прошел лазерный луч, и в областях между проходами. Разные структуры соответствуют разным термическим циклам. Хотя температурные кривые на рис. 5 внешне похожи друг на друга, каждой точке макрообразца при разных шагах сканирования соответствуют разные температуры и разные скорости ее изменения, что непременно сказывается на скоростях реакций.
Рис. 4. Поле температуры и фазового состава продукта к моменту времени τ = 80, объемная доля оксида алюминия и объемная доля оксида железа для разной ширины сканирования: (а) hη = 20, (б) hη = 40, (в) hη = 80; Se = 18, = 0.5, Nu = 3.
Рис. 5. Зависимость температуры в различных точках на поверхности образца от времени при варьировании ширины сканирования: (а) – hη = 20, (б) – hη = 40, (в) – hη = 80; Se = 18, = 0.5, Nu = 3. Температурные кривые соответствуют координатам: 1 – (ξ = 3, η = 1.5), 2 – (ξ = 5, η = 1.5), 3 – (ξ = 7, η = 1.5), 4 – (ξ = 3, η = 2.5), 5 – (ξ = 5, η = 2.5), 6 – (ξ = 7, η = 2.5).
ЗАКЛЮЧЕНИЕ
Таким образом, в работе предложена двухуровневая модель синтеза композита из смеси порошков, соответствующая упрощенному представлению о механизме реакций на уровне частиц. Модель построена по принципу разделения по физическим процессам. Предполагается, что процесс теплопроводности характеризуется много большим пространственным масштабом, чем диффузионно-контролируемые процессы фазообразования. Выявлены безразмерные комплексы, оказывающие наибольшее влияние на процесс. Показано, что, несмотря на квазистационарное температурное поле, формирующееся в центре пластины в области сканирующего лазерного луча, процесс эволюции фазового состава является неоднородным и немонотонным во времени. Продемонстрировано, что изменение ширин сканирования позволяет из химически реагирующих смесей получать периодические структуры, связанные с разным фазовым составом.
Исследование выполнено за счет гранта Российского научного фонда (проект № 22-11-00100), https://rscf.ru/project/22-11-00100/
ОБОЗНАЧЕНИЯ
C - концентрация, масс. %
с - теплоемкость, Дж/К
- коэффициенты диффузии, м2/с
DAl,0, DFe,0 - предэкспоненты
, - энергии активации диффузии, кДж/моль
- коэффициент отражения лазерного излучения
h - толщина пластины (много меньшая ее ширины и длины), м
- коэффициент сосредоточенности лазерного излучения
- скрытая теплота плавления, Дж/кг
тепловыделение в реакции замещения
- универсальная газовая постоянная, Дж/(моль·К)
R0 - радиус частицы оксида железа, м
- эффективный радиус луча лазера, м
- внешняя граница ячейки, м
- эффективная площадь пятна нагрева, м2
- температура, K
- начальная температура, K
- температура стенок камеры, где происходит процесс, К
- температура плавления алюминия, К
- адиабатическая температура, К
t - время, c
- период адиабатической индукции или время завершения реакции в адиабатических условиях, с
V0 - объем, занимаемый оксидом железа, м3
V1 - объем, занимаемый оксидом алюминия, м3
, - компоненты вектора скорости источника тепла в направления осей координат на плоскости объекта, м/с
- суммарное химическое тепловыделение, Дж/(м3·с)
- источник тепла, связанный с нагревом подвижным источником энергии, Дж/(м3·с)
- эффективная мощность лазерного излучения, Вт
x, y - пространственные координаты, м
- координаты точки, с которой лазерный луч начинает движение
- характерный тепловой масштаб для верхнего слоя (для суммарного реагента), м
- эффективный коэффициент теплоотдачи, Вт/(м2·К)
- дельта-функция Дирака
- эффективная степень черноты поверхности
- безразмерные коэффициенты, отражающие отличие подвижностей элементов в разных фазах
λ - коэффициент теплопроводности материала пластины, Вт/(м·К)
- постоянная Стефана–Больцмана, Вт/(м2·K4)
ρ - плотность, кг/м3
ηFe2O3, ηAl2O3 - объемные доли оксидных фаз
- безразмерные переменные
- безразмерные радиусы частицы и матрицы
– безразмерные параметры
ИНДЕКСЫ
s, L соответствуют твердой и жидкой фазам
1, 2, 3 соответствуют областям на рис. 1б
Sobre autores
А. Князева
Институт физики прочности и материаловедения СО РАН
Autor responsável pela correspondência
Email: anna-knyazeva@mail.ru
Rússia, Томск
О. Крюкова
Институт физики прочности и материаловедения СО РАН
Email: anna-knyazeva@mail.ru
Rússia, Томск
Bibliografia
- Dadbakhsh S., Mertens R., Hao L., Van Humbeeck J., and Kruth J.-P. Selective laser melting to manufacture “in situ” metal matrix composites: a review // Adv. Eng. Mater. 2019. V. 21. P. 1801244.
- Clemens H., Mayer S. Design, processing, microstructure, properties, and applications of advanced intermetallic TiAl alloys // Adv. Eng. Mater. 2013. V. 15. P. 191.
- Arcobello Varlese F., Tului M., Sabbadini S., Pellissero F., Sebastiani M., Bemporad E. Optimized coating procedure for the protection of TiAl intermetallic alloy against high temperature oxidation. // Intermetallics. 2013. V. 37. P. 76.
- By Lai-Chang Zhang and Hooyar Attar Selective Laser Melting of Titanium Alloys and Titanium Matrix Composites for Biomedical Applications: A Review // Adv. Eng. Mater. 2016. V. 18 № 4. P. 463.
- Yeh C.L., Li R.F. Formation of TiAleTi5Si3 and TiAleAl2O3 in situ composites by combustion synthesis // Intermetallics. 2008. V. 16. P. 64.
- Levashov E.A., Mukasyan A.S., Rogacheva A.S., and Shtansky D.V. Self-propagating high-temperature synthesis of advanced materials and coatings // Int. Mater. Rev. 2017. V. 62. № 4. P. 203.
- Horvitz D., Gotmana I., Gutmanas E.Y., Claussen N. In situ processing of dense Al2O3–Ti aluminide interpenetrating phase composites // J. Eur. Ceram. Soc. 2002. V. 22. P. 947.
- Fereiduni E., Ghasemi A. and Elbestawi M. Selective Laser Melting of Aluminum and Titanium Matrix Composites: Recent Progress and Potential Applications in the Aerospace Industry // Aerospace. 2020. V. 7. P. 77.
- Teichmanova A., Michalcova A., Necas D. Microstructure and Phase Composition of thin Protective Layers of Titanium Aluminides Prepared by Self-Propagating High-Temperature Synthesis (SHS) for Ti-6Al-4V Alloy // Manuf. Technol. 2022. V. 22. № 5. P. 605.
- Matouš K., Geers M.G.D., Kouznetsova V.G., Gillman A. A review of predictive nonlinear theories for multiscale modeling of heterogeneous materials // J. Comput. Phys. 2017. V. 330. P. 192.
- Yang M., Wang Lu, Yan W. Phase-field modeling of grain evolution in additive manufacturing with addition of reinforcing particles // Addit. Manuf. 2021. V. 47. P. 102286.
- Самарский А.А., Вабищевич П.Н. Вычислительная теплопередача. М.: Эдиториал УРСС, 2003. 784 с.
- Ковалев О.Б., Беляев В.В. Математическое моделирование металлохимических реакций в двухкомпонентной реагирующей дисперсной смеси // Физика горения и взрыва. 2013. Т. 49. № 5. С. 64. [Kovalev O.B., Belyaev V.V. Mathematical modeling of metallochemical reactions in a two-species reacting disperse mixture // Combust. Explos. Shock Waves. 2013. V. 49. P. 563.]
- Ковалев О.Б., Фомин В.М. К теории межфазного взаимодействия в смеси реагирующих металлических порошков // Физика горения и взрыва. 2002. Т. 38. № 6. С. 44. [Kovalev O.B., Fomin V.M. On the Theory of Interphase Interaction in a Mixture of Reacting Metal Particles // Combust. Explos. Shock Waves. 2002. V. 38. P. 655.]
- Knyazeva A.G., Bukrina N.V. Simulation of reaction initiation in powder compacting from the surface with composite formation in equivalent reaction cell // Combust. Theory Model. 2023. V.27. № 7. P. 883.
- Kryukova O.N., Knyazeva A.G. Two-Level Model Controlled Synthesis of a Composite on a Substrate // Multiscale Sci. Eng. 2023. № 5. P. 10.
Arquivos suplementares







