Steam Reforming of Ethane in a Membrane Reactor with a Nickel Catalyst at High Temperatures
- Authors: Babak V.N.1, Didenko L.P.1, Sementsova L.A.1, Kvurt Y.P.2
-
Affiliations:
- Federal Research Center of Problems of Chemical Physics and Medicinal Chemistry, Russian Academy of Sciences
- Федеральный исследовательский центр проблем химической физики и медицинской химии РАН
- Issue: Vol 57, No 3 (2023)
- Pages: 292-308
- Section: Articles
- Published: 01.05.2023
- URL: https://journals.rcsi.science/0040-3571/article/view/138467
- DOI: https://doi.org/10.31857/S0040357123030016
- EDN: https://elibrary.ru/RLNNDC
- ID: 138467
Cite item
Full Text
Abstract
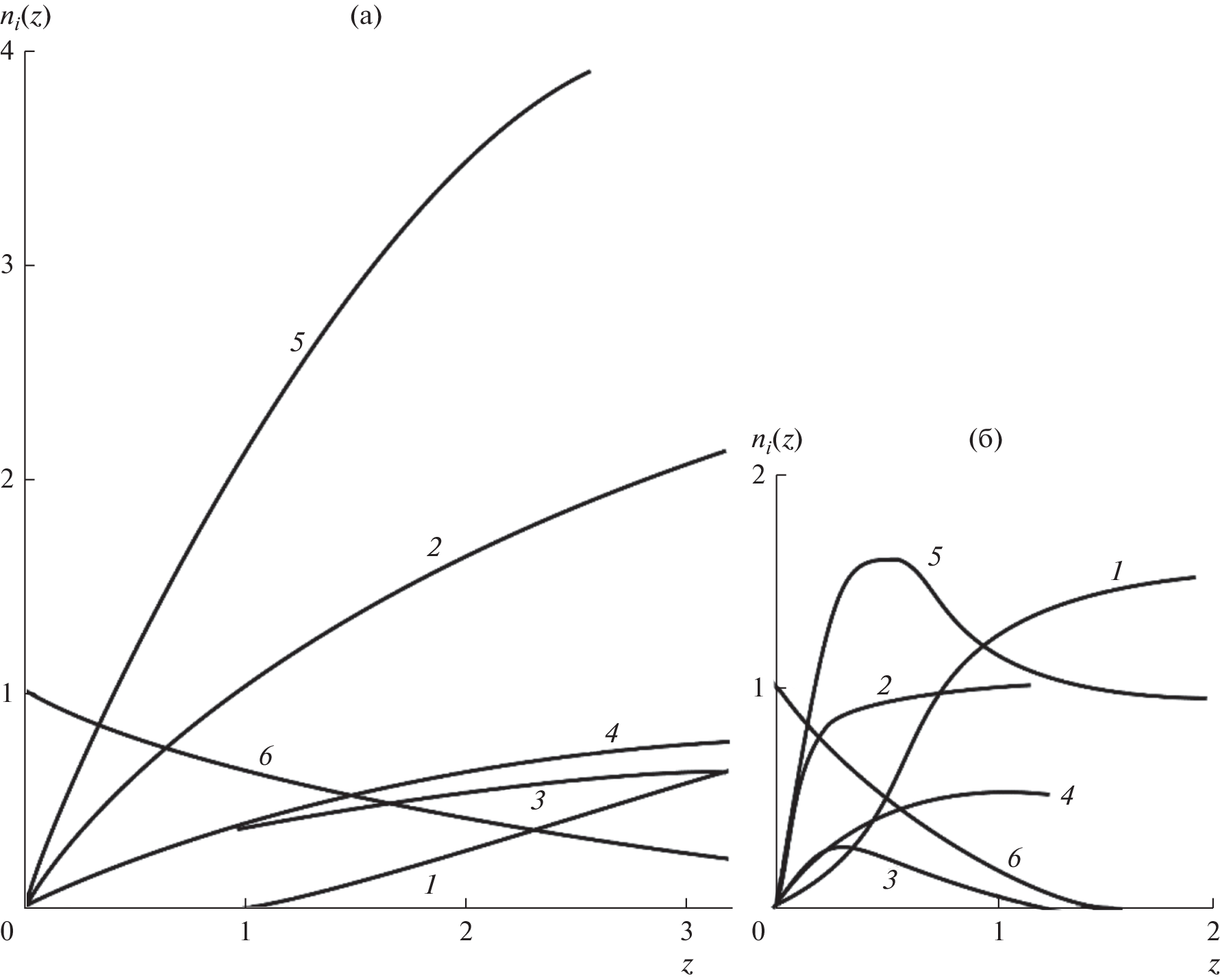
A model of steam reforming of pure ethane in a membrane catalytic reactor is proposed. The working elements of the reactor are cylindrical chambers, between which a hydrogen-selective palladium foil is placed. The upper chamber is vacuumized, and the lower one contains a nickel catalyst. In the case of uniform feed of the feedstock (С2Н6 and Н2О) along the perimeter of the lower chamber, the problem is reduced to finding the average flows of С2Н6, СН4, Н2О, СО, СО2, and Н2 by solving a system of nonlinear ordinary differential equations. The studies are carried out in the temperature range of 700–1000 K at acceptable steam/ethane input flow ratios of more than four. The optimal conditions for the process, at which the hydrogen yield is 100%, are found. It is proved that under these conditions and a fixed temperature, the maximum hydrogen flow through the membrane is observed at the minimum permissible ratio of the steam and ethane input flows, equal to four. Comparison of the calculations with the experimental data confirm the assumption of the existence of two sections in the lower chamber (short initial and main sections).
About the authors
V. N. Babak
Federal Research Center of Problems of Chemical Physics and Medicinal Chemistry, Russian Academy of Sciences
Email: tabor47@mail.ru
142432, Chernogolovka, Russia
L. P. Didenko
Federal Research Center of Problems of Chemical Physics and Medicinal Chemistry, Russian Academy of Sciences
Email: tabor47@mail.ru
142432, Chernogolovka, Russia
L. A. Sementsova
Federal Research Center of Problems of Chemical Physics and Medicinal Chemistry, Russian Academy of Sciences
Email: tabor47@mail.ru
142432, Chernogolovka, Russia
Yu. P. Kvurt
Федеральный исследовательский центр проблем химической физики и медицинской химии РАН
Author for correspondence.
Email: tabor47@mail.ru
142432, Chernogolovka, Russia
References
- Saeidi S., Fazlollahi F., Najari S., Iranshahi D., Klemes I.I., Baxter L.L. Hydrogen productions: Perspectives, separation with special emphasis on kinetics of WGS reaction: A state-of-the-art review // J. Ind. and Eng. Chem. 2017. V. 49. P. 1.
- Kirillov V.A., Meshcheryakov V.D., Brizitskii O.F., Terent’ev V.Ya. Analysis of a power system based on low-temperature fuel cells and a fuel processor with a membrane hydrogen separator // Theor. Found. Chem. Eng. 2010. V. 44. № 3.P. 227.
- Sperle T., Chen D., Lodeng R., Holmen A. Pre-reforming of natural gas on a Ni catalyst: Criteria for carbon free operation // Appl. Catal. A: Gen. 2005. V. 282. P. 195.
- Кириллов В.А., Амосов Ю.И., Шигаров А.Б., Кузин Н.А., Киреенков В.В., Пармон В.Н., Аристович Ю.В., Грицай М.А., Светов А.А. Экспериментальное и теоретическое исследование процесса переработок попутного нефтяного газа в нормализованной газ посредством мягкого парового риформинга // Теорет. основы хим. технол. 2017. Т. 51. № 1. С. 15.
- Christensen Th.S. Adiabatic prereforming of hydrocarbons an important step in syngas production // Appl. Catal. A: Gen. 1996. V. 138. P. 285.
- Avci A.K., Trimm D.L., Aksoylu A.E., Önsan Z.I. Hydrogen production by steam reforming of n-butane over suppoted Ni and Pt-Ni catalysts // Appl. Catal. A: Gen. 2004. V. 258. P. 255.
- Wang X., Gorte R.J. Steam reforming of n-butane on Pd/ceria // Catal. Lett. 2001. V. 73. P. 15.
- Takeguchi T., Kani Y., Yano T., Kikuchi R., Eguchi K., Tsujimoto K., Uchida Y., Ueno A., Omoshiki K., Aizawa M. Study on steam reforming of CH4 and C2 hydrocarbons and carbon deposition on Ni-YSZ cermets // J. Power Sources. 2002. V. 112. P. 588.
- Graf P.O., Mojet B.L., Ommen J.G.V., Lefferts L. Comparative study of steam reforming of methane, ethane and ethylene on Pt, Rh and Pd supported on yttrium-stabilized zirconia // Appl. Catal. A: Gen. 2007. V. 332. P. 310.
- Veranitisagul C., Koonsaeng N., Laosiripojana N., Laobuthee A. Preparation of gadolinia doped ceria via metal complex decomposition method: Its application as catalyst for the steam reforming of ethane // J. Ind. Eng. Chem. 2012. V.18. P. 898.
- Jeong S., Kim S., Lee B., Ryi S.-K., Lim H. Techno-economic analysis: Ethane steam reforming in a membrane reactor with H2 selectivity effect and profitability analysis // Int. J. Hydrogen Energy. 2018. V. 43. P. 7693.
- Волков И.Н. Разработка перспективных катализаторов на основе гетерогенных наноструктур нитрида бора. Автореферат дис. … канд. техн. наук / И.Н. Волков. М. 2022. 39 с.: ил. (на правах рукописи).
- Rahimpour M.R., Samimi F., Babapoor A., Tohidian T., Mohebi S. Palladium membranes application in reaction systems for hydrogen separation and purification: A review // Chem. Eng. Proc.: Process Intensification. 2017. V. 121. P. 24.
- Tiemersma T., Patil C., van Sint Annaland M., Kuipers I. Modelling of packet bed membrane reactors for autothermal production of ultrapure hydrogen // Chem. Eng. Sci. 2006. V. 61. P. 1602.
- Gryaznov V.M. Hydrogen permeable palladium membrane catalyst. An aid to the efficient production of ultra pure chemicals and pharmaceuticals // Platinum Met. Rev. 1986. V. 36. P. 68.
- Shirasaki Y., Tsuneki T., Seki T., Yasuda I., Sato T., Iton N. Improvement in hydrogen permeability of palladium membrane by alloying with transition metals // J. Chem. Eng. 2018. V. 51. P. 123.
- Holleck G.L. Diffusion and solubility of hydrogen in palladium and palladium-silver alloys // J. Phys. Chem. 1970. V. 74. P. 503.
- Fort D., Farr I., Hurris I.A. A comparison of palladium-silver and palladium-yttrium alloys as hydrogen separation membranes // J. Less-Common Met. 1975. V. 39. P. 293.
- Sakamoto Y., Chen F.L., Furukawa M., Noguchi M. Permeability and diffusivity of hydrogen in Pd rich Pd–Y(Cd)–Ag ternary allows // J. Allows Comped. 1992. V. 185. P. 191.
- Howard B.H., Killmeyer R.P., Rothenberger K., Cugini A.V. Hydrogen permeance of palladium-copper alloy membranes over a wide range of temperatures and pressures // J. Memb. Sci. 2004. V. 241. P. 207.
- Burkhanov G.S., Gorina N.B., Kolchugina N.B., Roshan N.R., Slovetsky D.I., Chistov E.M. Palladium-based alloy membranes for separation of high purity hydrogen from hydrogen-containing gas mixtures // Platinum Met. Rev. 2011. V. 55. № 1. P. 3.
- Didenko L.P., Babak V.N., Sementsova L.A., Chizhov P.E., Dorofeeva T.V. Steam conversion of propane in a membrane reactor with a industrial nickel catalyst // Petrolium Chemistry. 2021. V. 61. № 1. P. 92.
- Boeltken T., Wunsch A., Gietzelt T., Pfeifer P., Dittmeyer R. Ultra-compact microstructured methane steam reforming with integrated palladium membrane for onsite production of pure hydrogen: Experimental demonstration // Int. J. Hydrogen Energy. 2014. V. 30. P. 18058.
- Дубинин А.М., Тупоногов В.Г., Иконников И.С. Моделирование процесса производства водорода из метана // Теорет. основы хим. технол. 2013. Т. 47. № 6. С. 634.
- Бабак В.Н., Диденко Л.П., Квурт Ю.П., Семенцова Л.А., Закиев С.Е. Моделирование паровой конверсии метана в мембранном реакторе с никелевым катализатором и фольгой из палладиевого сплава // Теорет. основы хим. технол. 2021. Т. 55. № 3. С. 319.
- Бабак В.Н., Диденко Л.П., Семенцова Л.А., Квурт Ю.П. Моделирование парового риформинга пропана в каталитическом мембранном реакторе при высоких температурах // Теорет. основы хим. технол. 2022. Т. 56. № 2. С. 167.
- Бабак В.Н., Диденко Л.П., Семенцова Л.А., Квурт Ю.П. Оптимизация процесса парового риформинга метана в водородфильтрующем мембранном модуле с никелевым катализатором и фольгой из палладиевых сплавов // Теорет. основы хим. технол. 2022. Т. 56. № 3. С. 282.
- Lin Y.M., Liu Sh.I., Chuang Ch.H., Chu Y.T. Effect of incipient removal of hydrogen through palladium membrane on the conversion of methane steam reforming: Experimental and modelling // Catal. Today. 2003. V. 82. № 1. P. 127.
- Xu J., Froment G.F. Methane steam refoming, methanation and water-gas shift: I. Intrinsic kinetics // AIChE J. 1989. V. 35. № 1. P. 88.
- Мещенко Н.Т., Веселов В.В., Шуб Ф.С., Темкин М.И. Кинетика низкотемпературной паровой конверсии этана на никель-хромовом катализаторе // Кинетика и катализ. 1977. Т. XVIII. Вып. 4. С. 963.
- Годунов С.К., Рябенький В.С. Разностные схемы. М.: Наука. 1973. 400 с.
- Бабак В.Н., Диденко Л.П., Квурт Ю.П., Семенцова Л.А. Извлечение водорода из бинарных газовых смесей с помощью мембранного модуля на основе палладиевой фольги с учетом дезактивации мембраны// Теорет. основы хим. технол. 2018. Т. 52. № 3. С. 318.
Supplementary files









