Surface electromagnetic fields of cladding modes of coreless optical fibers
- Authors: Abel’mas M.A.1, Ivanov O.V.2
-
Affiliations:
- Ulyanovsk State Technical University
- Kotelnikov Institute of Radio Engineering and Electronics RAS
- Issue: Vol 69, No 12 (2024)
- Pages: 1150-1161
- Section: ELECTRODYNAMICS AND RADIO WAVE PROPAGATION
- URL: https://journals.rcsi.science/0033-8494/article/view/282220
- DOI: https://doi.org/10.31857/S0033849424120022
- EDN: https://elibrary.ru/HNGGBK
- ID: 282220
Cite item
Full Text
Abstract
The exact hybrid modes of a coreless optical fiber are calculated. Spatial distributions of electromagnetic fields near the cladding surface are obtained. A comparison of radial, azimuthal, and longitudinal field components near the cladding surface is performed for the hybrid exact modes and approximate linearly polarized (LP) modes. The polarization characteristics of the modes are studied taking into account the longitudinal field component depending on the type of hybrid modes and mode numbers. The combination of hybrid modes forms modes similar to LP modes, which have an almost uniform linear polarization inside the fiber far from the cladding surface. It is shown that under the cladding surface the polarization of LP-like modes is also linear, but significantly non-uniform in azimuthal angle with a deviation of the polarization angle by up to 21о from the main direction of mode polarization. In addition, the role of the longitudinal field component near the cladding surface increases significantly, where its value can exceed the values of the transverse components.
Keywords
Full Text
ВВЕДЕНИЕ
В последние десятилетия разработаны волоконно-оптические датчики, находящие применение для измерения деформаций, температуры, показателя преломления и других физических параметров [1–4]. Работа чувствительных элементов некоторых из этих датчиков основана на взаимодействии поверхностного электромагнитного поля оптических мод волокон с внешней средой [5–12]. Такое взаимодействие определяется величиной и характеристиками поверхностного поля, которое может проникать во внешнюю среду из сердцевины волокна при удалении оболочки волокна [13, 14] или при использовании оболочечных мод [15–17], возбуждаемых, например, длиннопериодными волоконными решетками [18–26] или наклонными брэгговскими решетками [27–32].
Примером датчика, использующего взаимодействие поверхностных полей, является волоконно-оптический датчик на основе двух длиннопериодных решеток в соприкасающихся волокнах и их связи через моды оболочки [2, 33]. Два волокна находятся в тесном контакте, и свет из сердцевины первого волокна через длиннопериодную волоконную решетку в первом волокне проходит в решетку второго волокна и его сердцевину [34–39]. Поверхностное поле при этом распространяется через область физического контакта между двумя волокнами и возбуждает моду оболочки во втором волокне [17, 40, 41].
При анализе распространения оболочечных волоконных мод в оптических волокнах таких структур, как правило, используется приближение линейно-поляризованных мод (LP-приближение), в котором учитываются только поперечные составляющие полей и не учитываются продольные [11, 39, 42, 43]. Причем считается, что поперечное поле направлено одинаково в разных точках по сечению волокна, а задача сводится к нахождению распределения скалярной амплитуды поля. Возможность использования такого приближения для мод сердцевины обусловлена тем, что разница показателей преломления сердцевины и оболочки невелика, сердцевина волокна является слабонаправляющим волноводом и продольная составляющая поля на два-три порядка меньше поперечных составляющих. При рассмотрении оболочечных мод вместо LP-приближения можно перейти к параксиальному приближению, заключающемуся в рассмотрении мод с малыми модовыми числами, распространяющимися вдоль волокна под малыми углами к оси волокна. В параксиальном приближении поле внутри оболочки так же, как и в LP-приближении, можно считать поперечным и линейно-поляризованным.
Однако при анализе работы чувствительных элементов волоконно-оптических датчиков возникает необходимость нахождения поверхностных полей на внешней границе оболочки волокна, где разница показателей преломления составляет около 0.44, и применение приближенных методов требует дополнительных обоснований, проверки сравнением с точным расчетом.
В данной работе сделан точный расчет гибридных HE, EH, TE и TM оболочечных мод бессердцевинного оптического волокна с учетом продольных составляющих электромагнитных полей и возможного различия между двумя поперечными компонентами, что может привести к эллиптичности поляризации и неоднонаправленному распределению эллипса поляризации по сечению волокна. Найдены постоянные распространения различных гибридных мод, профили распределения поперечных и продольных электрических полей внутри оболочки, под и над ее поверхностью. Исследовано распределение эллипса поляризации поля около поверхности оболочки волокна.
1. РАСЧЕТ МОД ОПТИЧЕСКОГО ВОЛОКНА
Получим решения для мод бессердцевинного оптического волокна, представляющего собой цилиндр неограниченной длины и радиусом 62.5 мкм из плавленного кварца. Будем считать, что волокно расположено в воздухе и показатель преломления внешней среды равен 1. Для выявления общих отличий точного решения от приближенных ограничимся в данной работе рассмотрением оптического волокна без сердцевины. Отсутствие сердцевины существенно влияет на поведение полей в области, прилегающей к оси волокна, однако оказывает меньшее влияние на поля вблизи поверхности оболочки.
Для нахождения точного решения уравнений Максвелла для цилиндрического однослойного волновода со ступенчатым профилем показателя преломления представим электромагнитное поле волокна в виде разложения по базисному набору гибридных цилиндрических мод (НЕ- и ЕН-мод). Тогда решение сводится к задаче отыскания собственных значений и собственных векторов матрицы, описывающей преобразование поля на границе оболочки и внешней среды с учетом граничных условий для поля на границах соседних областей [44]. Собственные значения дадут постоянные распространения мод, а собственные векторы – амплитуды электромагнитных полей: продольной, поперечной и азимутальной составляющих как внутри, так и за поверхностью оболочки волокна. Электрические и магнитные поля представляются в виде функций Бесселя первого и второго рода внутри волокна и модифицированных функций Бесселя снаружи волокна.
В качестве исходных данных примем следующие:
- радиус оболочки a = 62.5 мкм
- показатель преломления волокна n1 = 1.444
- показатель преломления внешней среды n2 = 1
- длина волны излучения λ = 1.55 мкм.
Характеристическое уравнение для гибридных волоконных мод может быть записано в следующем виде [45]:
(1)
где Jv(u) и Kv(w) – функции Бесселя, и – их производные, – коэффициент для оболочки волокна, – коэффициент для внешней среды, – постоянная распространения, – волновое число, – эффективный показатель преломления моды, ν – азимутальное модовое число. Численно решая уравнение (1), можно найти постоянные распространения мод β. Будем рассматривать прежде всего моды с малыми азимутальными числами ν = 0,±1, и ±2. Знак перед азимутальным числом соответствует право- и левоциркулярно поляризованным модам. Постоянные распространения для право- и левоциркулярно поляризованных мод совпадают, что можно увидеть из независимости уравнения (1) от знака ν.
Приведенное уравнение было решено численно в программной среде Matlab, что позволило получить зависимость nэф от длины волны λ для различных мод волокна. Для заданного значения азимутального числа существует конечное число корней уравнения (1), нумерация которых задается индексом m. Значение этого индекса задает число экстремумов в распределении поля вдоль радиуса. Рассчитанные дисперсионные зависимости представлены на рис. 1.
Рис. 1. Зависимости эффективных показателей преломления различных мод от длины волны.
Из представленных зависимостей видно, что эффективные показатели преломления оболочечных волоконных мод спадают почти линейно при увеличении длины волны в рассматриваемом диапазоне от 1.3 до 1.6 мкм. Эффективные показатели преломления для мод HE2m, TM0m и TE0m практически совпадают. То же самое наблюдается для групп мод HEνm и EHν-2, m, где ν ≥ 2. Для мод с большими радиальным модовым числом m и азимутальным модовым числом ν эффективный показатель преломления уменьшается с увеличением длины волны быстрее.
2. ПРОФИЛИ РАСПРЕДЕЛЕНИЯ ЭЛЕКТРОМАГНИТНЫХ ПОЛЕЙ МОД
Электрические и магнитные поля для рассматриваемой структуры в зависимости от координат z, r, θ, и времени t можно представить в следующем виде:
(2)
где 𝜔 – круговая частота электромагнитной волны.
Радиальные, азимутальные и продольные составляющие полей внутри и снаружи волокна можно выразить через функции Бесселя. Внутри оболочки волокна ():
, (3)
(4)
, (5)
где – магнитная проницаемость вакуума, A и B – константы, задающие амплитуды полей внутри волокна. Значения этих констант определяются из граничных условий.
Для магнитных полей записываются аналогичные выражения:
(6)
(7)
, (8)
где – диэлектрическая проницаемость волокна.
Во внешней среде ():
(9)
(10)
, (11)
где С и D – константы, задающие амплитуды полей снаружи волокна.
Для магнитных полей
(12)
(13)
, (14)
где – диэлектрическая проницаемость внешней среды.
Приведенные выражения задают зависимости электрических и магнитных полей от радиальной координаты. Наличие мнимой единицы в радиальных и азимутальных компонентах указывает на их фазовый сдвиг на относительно продольных компонент. Внутри волокна зависимости полей описываются функциями Бесселя первого рода Jν, а снаружи функциями Бесселя второго рода Kν. Право- и левоциркулярно поляризованные моды имеют положительные и отрицательные азимутальные индексы соответственно.
При переходе от оболочки ко внешней среде тангенциальные компоненты полей, т. е. азимутальные и продольные, должны быть непрерывны. Приравнивая значения полей на границе оболочки, можно получить следующее уравнение для четырех неизвестных констант:
(15)
Для того чтобы решение приведенного уравнения существовало при ненулевых коэффициентах, определитель матрицы 4 × 4 должен быть равен нулю. Этот определитель фактически записан в уравнении (1). После численного решения уравнения (1) и нахождения постоянных распространения β можно найти значения констант A, B, C и D с точностью до произвольного общего множителя, определяющего амплитуду моды. Для удобства эти константы можно нормировать так, чтобы поток энергии в каждой моде был равен единице.
3. ЛИНЕЙНО-ПОЛЯРИЗОВАННЫЕ МОДЫ
Собственными модами волоконного световода являются циркулярно поляризованные волны и их произвольные комбинации. Полученные в разд. 2 решения представляют собой право- и левоциркулярно поляризованные моды.
Рассмотрим, что происходит с полями мод при смене знака ν и направления циркулярной поляризации. Для функций Бесселя выполняются следующие соотношения:
(16)
и аналогичные соотношения выполняются для функций Бесселя Kv. Из уравнений (3)–(14) видно, что некоторые компоненты полей будут менять знаки в зависимости от знака v и ее четности, а какие-то не будут. Структура волокна является зеркально симметричной. Следовательно, если для полей (3)–(14) найдено некоторое решение, то решение, в котором для всех компонент поля знаки изменены на противоположные, также будет удовлетворять уравнениям Максвелла. Поэтому у нас есть свобода в выборе одного знака в найденном решении. Будем считать, что компонента Er не меняет знак при смене знака v. Тогда из (3) и (9) следует, что
(17)
а из (3)–(14), что
(18)
Запишем в явном виде зависимость электрических полей право- (+) и левоциркулярно (–) поляризованных мод от азимутального угла:
(19)
(20)
Здесь в скобках через запятую записаны радиальная, азимутальная и продольная компоненты вектора поля. Как видно из уравнений, при изменении направления циркулярной поляризации происходит изменение знака азимутальной компоненты электрического поля и знака перед |v|.
Стандартный подход к описанию распространения света в оптическом волокне состоит в использовании приближения линейно поляризованных мод с линейным и однонаправленным распределением поляризации моды по сечению волокна. Поэтому мы также будем искать отличие точных решений от LP-приближения.
Линейно поляризованные моды могут быть получены как точная суперпозиция двух, трех или четырех гибридных мод параксиального приближения нулевого порядка. В общем случае линейно поляризованная мода есть сумма двух правоциркулярно поляризованных и двух левоциркулярно поляризованных гибридных мод:
. (21)
Моды LP0m и LP1m являются особыми случаями:
(22)
4. ПОЛЯРИЗАЦИЯ LP0M-ПОДОБНЫХ МОД
Как видно из соотношений (21) и (22), для того чтобы получить моды, подобные LP-модам, в первую очередь необходимо найти сумму двух право- и левоциркулярно поляризованных мод, имеющих противоположные знаки v:
(23)
Здесь поле записано в цилиндрической системе координат. Из полученного соотношения видно, в этой сумме обе поперечные компоненты являются действительными величинами, т. е. их фазы совпадают. Отсюда следует, что в плоскости поперечной оси волокна поляризация моды является линейной. Продольная компонента является чисто мнимой, т. е. она сдвинута по фазе на π / 2 по отношению к поперечным компонентам. Переходя к декартовой системе координат с использованием соотношений
(24)
можно получить для поперечных компонент
(25)
где – разница между азимутальной и радиальной компонентами поля одной моды. Эти две компоненты в LP-приближении равны друг другу, и .
Для LP0m-подобной моды |v| = 1. Подставив это значение в (25) получим
. (26)
Для любых азимутальных углов поляризация является линейной, что следует из равенства фаз компонент поля по x и y. При θ = 0 и θ = π / 2 вектор поляризации направлен вдоль оси x.
При других азимутальных углах поляризация отклоняется от оси x, а его величина определяется отношением
(27)
5. ПОЛЯРИЗАЦИЯ LP1M-ПОДОБНЫХ МОД
Для LP1m-подобной моды азимутальное модовое число |v| = 2. Сумма двух право- и левоциркулярно поляризованных мод HE2m и HE-2m, имеющих противоположные знаки v, имеет вид
(28)
Повернем профиль моды на 45о, тогда
(29)
Для TE0m-моды
. (30)
Чтобы найти поле для мод , вычтем (30) из (29) и поделим на 2, откуда получим
(31)
Так же, как и для LP0m мод, фазы поперечных компонент здесь совпадают и поляризация моды является линейной в поперечной плоскости, а продольная компонента сдвинута по фазе на π / 2. Переходя к декартовой системе координат, найдем для поперечных компонент -подобных мод
. (32)
Для TM0m-моды
(33)
Чтобы найти поле для мод , суммируем (33) и (28) и поделим на 2, откуда получим
. (34)
Переходя к декартовой системе координат, найдем для -подобных мод
(35)
В случае, когда , что, как мы покажем далее, справедливо в параксиальном приближении, для -подобных мод имеем
(36)
Аналогичное соотношение, но с противоположным знаком, можно получить для -подобных мод. Соотношение (32) с точностью до знака совпадает с выражением (27) для мод LP0m. Соответственно, для любых азимутальных углов поляризация является линейной, а при θ = 0 и θ = π / 2 вектор поляризации направлен строго вдоль оси x.
6. ЧИСЛЕННЫЙ РАСЧЕТ ДЛЯ LP01-ПОДОБНОЙ МОДЫ
Для расчета полей в программной среде Matlab по найденным ранее постоянным распространения из уравнения (15) были вычислены коэффициенты B, C, D при заданном коэффициенте A = 1. Используя эти коэффициенты, были получены три компоненты вектора электрического поля Er, Eθ и Ez.
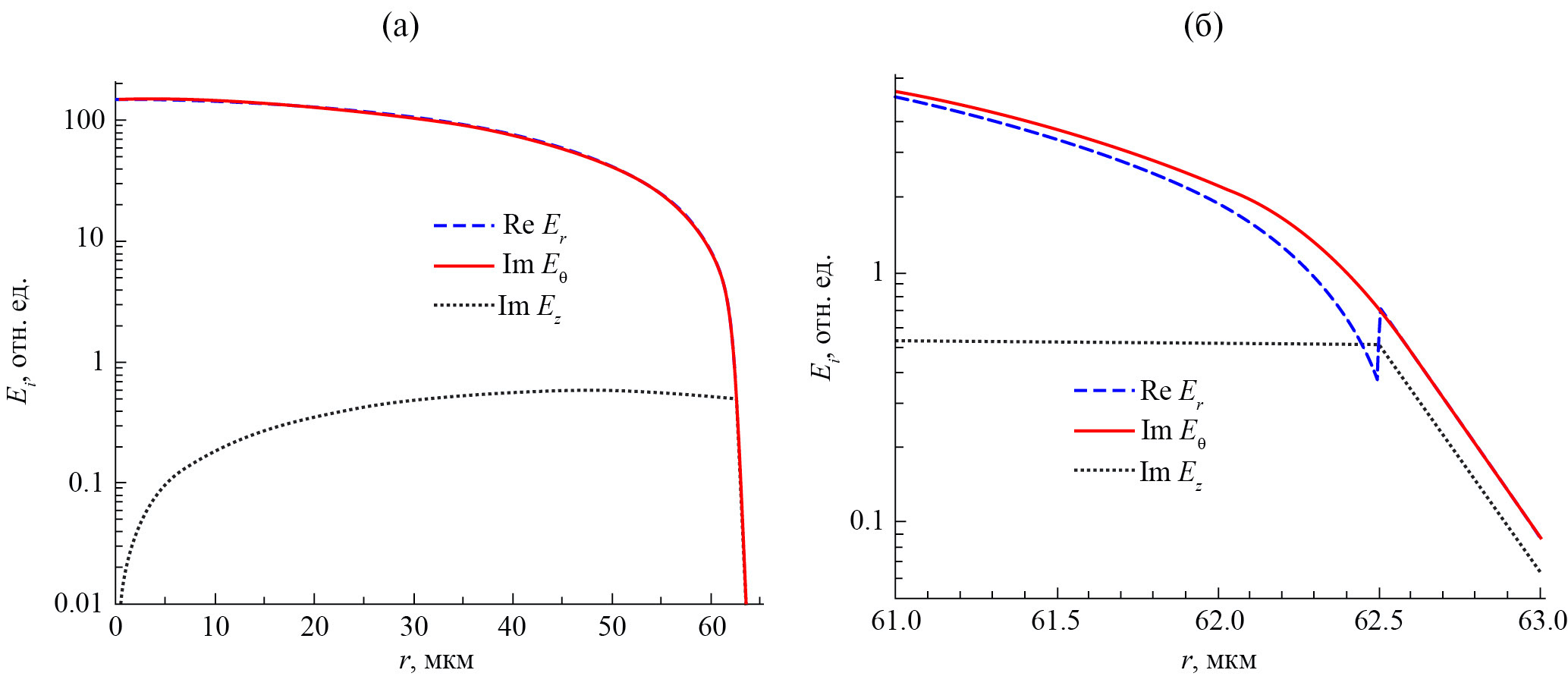
На рис. 2 показаны зависимости амплитуд трех компонент электрического поля от радиуса для правоциркулярно поляризованной моды HE11 по всему сечению волокна (а) и вблизи границы (б).
Рис. 2. Зависимость амплитуд поперечных и продольной компонент электрического поля моды HE11 от радиуса для λ = 1550 нм в логарифмическом масштабе по всему сечению волокна (а) и вблизи границы (б).
Видно, что амплитуды поперечных компонент Er и Eθ спадают по мере приближения к границе оболочки r = 62.5 мкм. Внутри оболочки эти две компоненты практически совпадают. На границе оболочки компонента Er увеличивается скачком до значения Eθ, в то время как переход Eθ через границу оболочки переходит непрерывно, что соответствует стандартным граничным условиям для тангенциальных и нормальных компонент. За границей оболочки спад компонент поля продолжается экспоненциально. В центре волокна продольная компонента Ez равна нулю. По мере приближения к границе оболочки она увеличивается до значений, сопоставимых со значениями поперечных полей, после чего экспоненциально спадает за границей оболочки. Для левоциркулярно поляризованных мод зависимости имеют аналогичный вид, но с противоположным знаком азимутальной компоненты.
Из рис. 2а видно, что внутри основной части оболочки продольная составляющая электрического поля Ez меньше радиальной Er и азимутальной Eθ составляющих поля на два-три порядка, что хорошо известно [45]. Однако вблизи границы оболочки волокна с внешней средой, на расстояниях порядка длины волны от границы внутрь волокна, и во внешней среде вплоть до бесконечности продольная составляющая Ez соизмерима с поперечными составляющими поля (рис. 2б).
Численное моделирование показывает, что внутри волокна вдали от поверхности и во внешней среде над поверхностью оболочки . На поверхности радиальная компонента Er испытывает скачок в раз, а азимутальная компонента Eθ непрерывна. Поэтому под поверхностью θ, откуда можно получить, что . С учетом этого из соотношения (27) можно найти, что угол отклонения максимален примерно при θ = ±35о и равен 21о.
На рис. 3 показаны зависимости амплитуд поперечных и продольных полей моды HE11 вблизи оболочки волокна от радиуса в линейном масштабе.
Рис. 3. Зависимость амплитуд поперечных и продольной компонент электрического поля моды HE11 от радиуса вблизи границы в линейном масштабе.
Из рисунка видно, что под поверхностью волокна радиальная компонента Er меньше азимутальной Eθ на постоянную величину , но на границе радиальная компонента Er совершает скачок по амплитуде в раз и далее начинает совпадать с азимутальной компонентой Eθ. Кроме того, видно, что над границей оболочки амплитуда продольной компоненты Ez оставляет примерно 70% от значения амплитуды поперечных компонент Er и Eθ, а внутри оболочки на расстоянии до 0.06 мкм от границы даже превышает азимутальную компоненту.
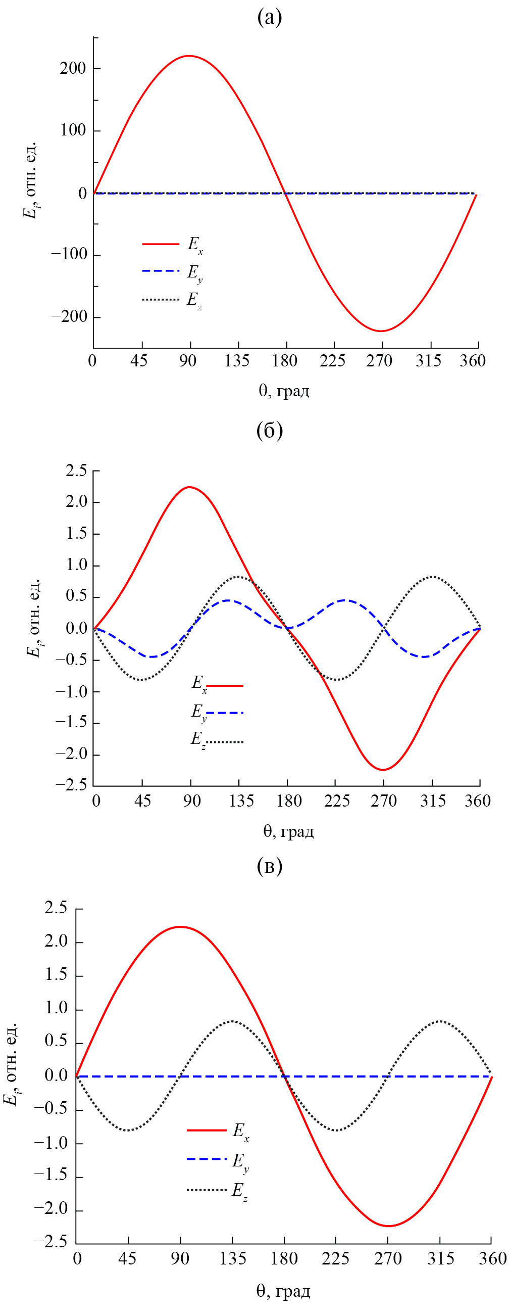
На рис. 4 показаны угловые зависимости амплитуд декартовых компонент электрического поля моды, подобной горизонтально поляризованной моде LP01.
Рис. 4. Угловые зависимости компонент электрического поля LP01-подобной моды: внутри волокна для r = 30 мкм (а), под поверхностью (б) и над поверхностью оболочки волокна (в).
Как видно из рис. 4а, внутри оболочки составляющая Ex при изменении угла практически постоянна, а Ey и Ez пренебрежимо малы по сравнению с Ex. Под поверхностью оболочки (рис. 4б) амплитуды компонент осциллируют, причем Ex имеет экстремумы при углах, кратных 90о, Ey – при углах 45, 135, 225, 315 град, а Ez при 0 и 180о. При этом вблизи поверхности величина продольной компоненты сравнима по величине с поперечной компонентой. Над поверхностью оболочки амплитуды компонента Ex практически постоянна, Ey пренебрежимо мала, а продольная компонента такая же, как под поверхностью.
Используя угловые зависимости, представленные на рис. 4, было построено распределение векторов поперечного поля внутри и около поверхности волокна (рис. 5).
Рис. 5. Распределение вектора поперечного электрического поля LP01-подобной моды внутри оболочки, под и над поверхностью оболочки волокна.
Как видно из рис. 5, внутри оболочки и над поверхностью волокна поперечное электрическое поле направлено практически параллельно оси X. Под поверхностью оболочки поле направлено к оси абсцисс под углом. Максимальное отклонение угла поляризации под поверхностью от направления поляризации моды внутри оболочки составляет 21о для направлений азимутального угла θ = 35, 145, 215 и 325 град. Значительный угол отклонения поляризации от горизонтальной объясняется тем, что под поверхностью оболочки амплитуда компоненты Ey оказывается соизмерима с амплитудой компоненты Ex.
7. ЧИСЛЕННЫЙ РАСЧЕТ ДЛЯ LP11-ПОДОБНЫХ МОД
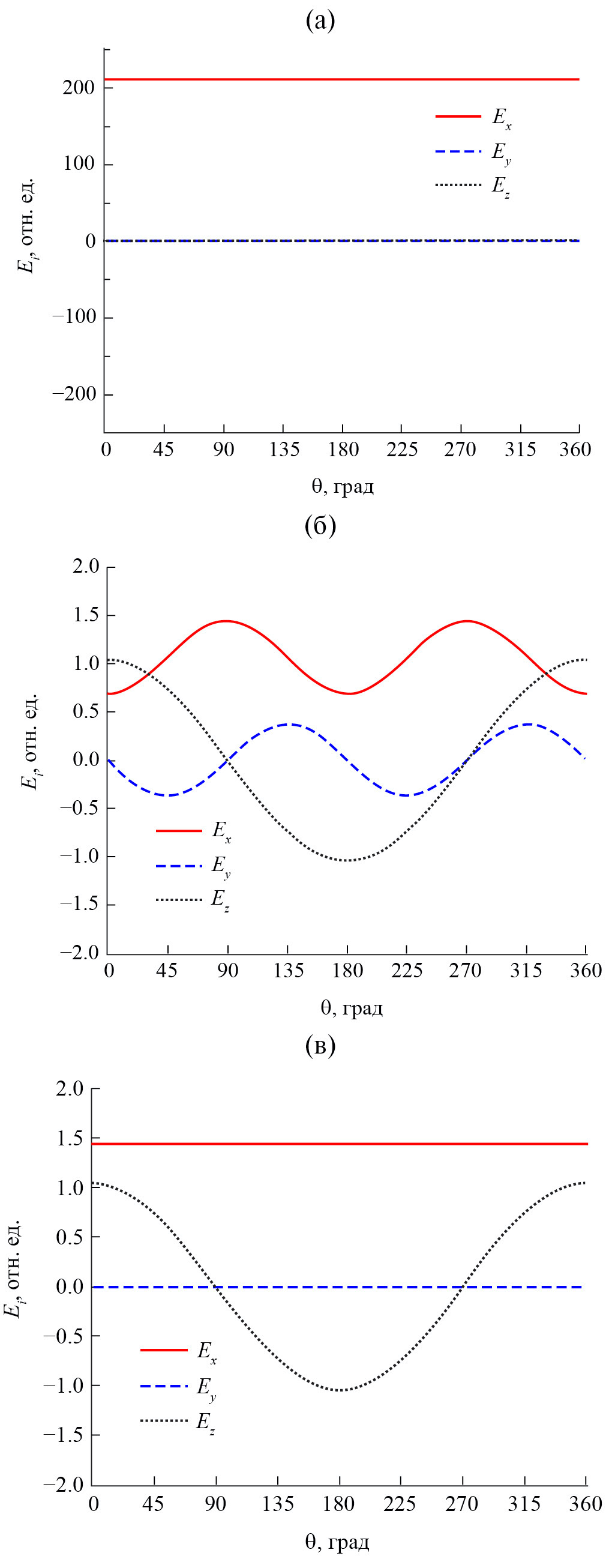
Проведем численный расчет для моды, подобной моде LP11, аналогично расчету в разд. 6. Угловые зависимости распределения электрического поля моды типа
представлены на рис. 6.
Рис. 6. Угловые зависимости компонент электрического поля моды : внутри волокна для r = 30 мкм (а), под поверхностью оболочки волокна (б), над поверхностью оболочки волокна (в).
Как видно из рисунка, внутри оболочки составляющая Ex при изменении угла амплитуды компонент поля имеет экстремумы при 90 и 270 град, а Ey и Ez, как и в случае моды LP01, – пренебрежимо малы по сравнению с Ex. Так же, как и в моде LP01, под поверхностью оболочки амплитуды компонент осциллируют, причем компонента Ex имеет такие же экстремумы, Ey имеет экстремумы при углах 0, 55, 125, 180, 235, 305 град, а Ez имеет экстремумы при 45, 135, 225 и 315 град. Над поверхностью оболочки угловая зависимость для компоненты Ex имеет такую же форму, как внутри оболочки. При этом под и над поверхностью, как и в случае моды LP01, продольная компонента сравнима по величине с поперечными компонентами.
С использованием угловых зависимостей, представленных на рис. 6, построено распределение векторов поперечного поля внутри и на поверхности волокна (рис. 7). Основное направление поляризации поля ориентировано вдоль линии, разделяющей две доли. Из рисунка видно, что особенности векторного распределения поляризации поля моды аналогичны тем, которые были показаны для поля моды LP01. Максимальное отклонение угла поляризации от оси абсцисс под поверхностью также составляет 21о.
Рис. 7. Распределение вектора поперечного электрического поля -подобной моды внутри оболочки, под и над поверхностью оболочки волокна.
На рис. 8 представлены угловые зависимости распределения электрического поля моды типа
.
Рис. 8. Угловые зависимости компонент электрического поля моды : внутри волокна для r = 30 мкм (а), под поверхностью оболочки волокна (б), над поверхностью оболочки волокна (в).
Внутри оболочки (см. рис. 6а) поляризация линейна и направлена вдоль оси x. Под поверхностью оболочки поведение поперечных компонент аналогично случаю моды . Продольная же компонента на границе в отличие от случая моды не меняет знак в зависимости от угла.
На рис. 9 построено распределение векторов поперечного поля внутри и около поверхности волокна. Основное направление поляризации поля ориентировано перпендикулярно линии, разделяющей две доли. Максимальный угол отклонения поляризации моды под поверхностью оболочки, такой же, как в предыдущих случаях, и составляет 21о.
Рис. 9. Распределение вектора поперечного электрического поля -подобной моды внутри оболочки, под и над поверхностью оболочки волокна.
Расчет приповерхностных полей особенно важен для задач, в которых рассматривается взаимодействие волокон, соприкасающихся своими оболочками или обнаженными сердцевинами [10, 16, 37]. В этом случае коэффициент передачи мощности излучения из одного волокна в другое определяется коэффициентом связи мод, распространяющихся по соприкасающимся параллельным волокнам [6, 11, 43]. Коэффициент связанных мод зависит от их интеграла перекрытия, который вычисляется интегрированием произведения электрических полей двух мод с учетом распределения показателя преломления в области соприкосновения [46].
Таким образом, коэффициент связанных мод в значительной степени зависит от поверхностного электрического поля вблизи границы оболочки волокон. Зная коэффициент связанных мод, решением уравнений связанных мод можно найти коэффициент передачи из одного волокна в другое, который будет зависеть от постоянных распространения и длины области связи волокон. В связи с этим учет продольной компоненты, а также отклонение вектора поляризации поля под поверхностью волокна должны вносить значимый вклад в величину коэффициента связанных мод.
Результаты расчетов, приведенные выше, получены для мод оптического волокна без сердцевины, тогда как в реальных волокнах сердцевина присутствует и оказывает существенное влияние на распределение электромагнитного поля оболочечных мод внутри сечения волокна [47]. Однако в том, что касается постоянных распространения оболочечных мод и, тем более, полей вблизи поверхности оболочки волокна, влияние сердцевины несущественно и им можно пренебречь. Основные особенности поверхностных полей оболочечных мод можно исследовать без учета сердцевины, что позволяет использовать полученные ранее аналитические выражения для электромагнитных полей и упрощает их изучение. Вместе с тем в будущем планируем расширить точный анализ на случай волокон с сердцевиной и, кроме того, рассмотреть влияние надоболочечных покрытий на поля вблизи поверхности волокна.
ЗАКЛЮЧЕНИЕ
Произведен точный расчет гибридных мод бессердцевинного оптического волокна. Найдены распределения радиальной, азимутальной и продольной составляющих полей по сечению волокна, в том числе вблизи поверхности оболочки волокна. Полученные решения сравнены с решениями в LP-приближении. Показано, что вблизи поверхности оболочки волокна LP-приближение дает неточное описание направления поляризации поля мод. Также показано, что продольная составляющая поля является значимой по сравнению с поперечными компонентами. За границей оболочки ее величина составляет примерно 0.7 от величин поперечных компонент, а внутри оболочки на расстоянии порядка длины волны излучения от границы может даже превышать поперечные компоненты.
Проведен точный аналитический анализ поляризационных характеристик поверхностного поля. Показано, что поперечная составляющая поля LP-подобных мод поляризована линейно, а продольная компонента сдвинута по фазе на π / 2. Обнаружено, что под поверхностью волокна направление поляризации отклоняется от основного направления поляризации поля внутри оболочки.
Получены численные решения для распределения поверхностных полей. Построены угловые зависимости для компонент электрического поля внутри волокна, под и над поверхностью оболочки для LP01- и LP11-подобных мод. Представлены распределения для направления поляризации в рассмотренных модах. Установлено, что под поверхностью оболочки волокна радиальная и азимутальная компоненты электрического поля существенно различаются, но при этом имеют одинаковую амплитуду внутри и над поверхностью волокна. В результате поле под поверхностью оболочки волокна направлено непараллельно основной оси поляризации моды, и присутствует ортогональная компонента. Максимальный угол отклонения от основного направления поляризации составляет 21о. Результаты численных расчетов подтверждают аналитический анализ.
Точный учет поверхностных полей у внешней границы оптических волокон позволит получить правильные значения коэффициентов связи и решения для задачи о взаимодействии соприкасающихся волокон в датчиках и других устройствах, основанных на передаче энергии через поверхностные поля.
КОНФЛИКТ ИНТЕРЕСОВ
Авторы данной работы заявляют об отсутствии конфликта интересов.
ФИНАНСИРОВАНИЕ РАБОТЫ
Работа выполнена в рамках государственного задания ИРЭ им. В. А. Котельникова РАН.
About the authors
M. A. Abel’mas
Ulyanovsk State Technical University
Author for correspondence.
Email: abelmax1998@mail.ru
Russian Federation, 32 Severny Venets St., Ulyanovsk, 432027
O. V. Ivanov
Kotelnikov Institute of Radio Engineering and Electronics RAS
Email: abelmax1998@mail.ru
Ulyanovsk Branch
Russian Federation, 48/2 Goncharova St., Ulyanovsk, 432011References
- Волоконно-оптические датчики / Под ред. Э. Удда. М.: Техносфера, 2008.
- Chiang K. S., Liu Y., Liu Q., Rao Y. // Photonic Sensors. 2011. V. 1. № 3. P. 204.
- Wu Z., Liu B., Zhu J., Liu J. et al. // Chinese Opt. Lett. 2020. V. 18. № 6. P. 061201.
- Tripathi S. M., Kumar A., Varshney R. K. et al. // J. Lightwave Technol. 2009. V. 27. № 13. P. 2348.
- Kogelnik H., Schmidt R. // IEEE J. Quantum Electronics. 1976. V. 12. № 7. P. 396.
- Chiang K. S., Ng M. N., Liu Y., Li S. // Proc. Lasers Electro-Opt. Soc. 2000 Ann. Meeting, 15–16 Nov. Rio Grande. 2000. P. 836.
- Chan F. Y.M., Chiang K. S. // J. Lightwave Technol. 2006. V. 24. № 2. P. 1008.
- Kim M. J., Jung Y. M., Kim B. H. et al. // Opt. Express. 2007. V. 15. № 17. P. 10855.
- Jung Y., Brambilla G., Murugan G. S., Richardson D. J. // Appl. Phys. Lett. 2011. V. 98. № 2. 021109.
- Hong Z., Li X., Zhou L. et al. // Opt. Express. 2011. V. 19 № 5. P. 3854.
- Wu Q., Semenova Y., Ma Y. // J. Lightwave Technol. 2011. V. 29. № 24. P. 3683.
- Baiad M. D., Gagné M., Lemire-Renaud S. et al. // Opt. Express. 2013. V. 21. № 6. P. 6873.
- Cai Z., Liu F., Guo T. et al. // Opt. Express. 2015. V. 23. № 16. P. 20971.
- Schlangen S., Bremer K., Zheng Y. et al. // P. Soc. Photo-opt. Ins. 2018. V. 10681. 1068116.
- Zhang W., Huang L., Gao F. et al. // Opt. Lett. 2012. V. 37. P. 1241.
- Zhang C., Chiang K. S. // Opt. Eng. 2012. V. 51 № 7. 075001.
- Иванов О. В., Никитов С. А., Гуляев Ю. В. // Успехи физ. наук. 2006. Т. 49. № 2. С. 167.
- Lam P. K., Stevenson A. J., Love J. D. // Electron. Lett. 2000. V. 36. № 11. P. 967.
- Bachim B. L., Ogunsola O. O., Gaylord T. K. // Opt. Lett. 2005. V. 30. № 16. P. 2080.
- Chan F. Y. M., Kim M. J., Lee B. H. // J. Opt. Soc. Korea. 2005. V. 9. № 4. P. 135.
- Yukun B., Kin S. C. // J. Lightwave Technol. 2005. V. 23 № 12. P. 4363.
- Liu Y., Chiang K. S., Rao Y. J. et al. // Opt. Express. 2007. V. 15. № 26. P. 17645.
- Xue W., Lu M., Jun Y., Yuan L. // Acta Optica Sinica. 2010. V. 30. № 12. P. 3391.
- Abrishamian F., Morishita K. // IEICE T. Electron. 2015. V. 98. № 7. P. 512.
- Юсупова Л. И., Иванов О. В. // Радиотехника. 2019. № 9. С. 74.
- Xu X., Ouyang X., Zhou A. // Opt. Commun. 2019. V. 445. P. 1.
- Бутов О. В., Томышев К. А., Нечепуренко И. А. // Успехи физ. наук. 2022. Т. 192. С. 1385.
- Томышев К. А., Е. И. Долженко E. B., Бутов О. В. // Квант. электроника. 2021. Т. 51. № 12. С. 1113.
- Tomyshev K. A., Tazhetdinova D. K., Manuilovich E. S., Butov O. V. // J. Appl. Phys. 2018. V. 124. № 113106.
- Tomyshev K. A., Tazhetdinova D. K., Manuilovich E. S., Butov O. V. // Phys. Status Solidi. A. 2018. № 1800541.
- Tomyshev K. A., Manuilovich E. S., Tazhetdinova D. K. // Sens. Actuators, A. 2020. V. 308. № 112016.
- Manuilovich E. S., Tomyshev K. A., Butov O. V. // Sensors. 2019. V. 19. № 4245.
- Liu Y., Chiang K. S., Liu Q. // Opt. Express. 2007. V. 15. № 10. P. 6494.
- Kim M. J., Chan F. Y. M., Paek U. C., Lee B. H. // Proc. Optical Fiber Comm. Conf. and National Fiber Optic Engineers Conf. 5–10 March. 2006. Anaheim. P. 3.
- Han Y. G., Lee S. B., Kim C. S., Jeong M. Y. // Opt. Lett. 2006. V. 31 № 6. P. 703.
- Lo Y. L. // Opt. Eng. 2006. V. 45. № 12. Р. 125001.
- Kritzinger R., Meyer J., Burger J. // S. Afr. J. Sci. 2011. V. 107. № 5/6. P. 703.
- He Y. J., Chen X. Y. // IEEE Trans. 2013. V. NANO-12. № 3. P. 460.
- Fang L., Jia H. // Opt. Express. 2014. V. 22. № 10. P. 16621.
- Dong X. W., Feng S. C., Lu S. H. et al. // Acta Physica Sinica. 2007. V. 56. № 12. P. 7039.
- Liu Q., Chiang K. S., Liu Y. // J. Lightwave Technol. 2008. V. 26. № 18. P. 3277.
- Chiang K. S., Chan F. Y. M., Ng M. N. // J. Lightwave Technol. 2004. V. 22. № 5. P. 1358.
- Zhang W., Huang L., Gao F., Bo F. // Opt. Express. 2013. V. 21. № 14. P. 1358.
- Kawano K., Kitoh T. Introduction to Optical Waveguide Analysis: Solving Maxwell’s Equations and the Schrodinger Equation N. Y.: Wiley. 2001.
- Iizuka K. Elements of the Photonics / N.Y.: Wiley. 2002.
- Huang W. P. // J. Opt. Soc. Amer. A. 1994. V. 11. № 3. P. 963.
- Erdogan T. // J. Opt. Soc. Amer. A. 1997. V. 14. № 8. P. 1760.
Supplementary files











