Разработка лампы бегущей волны W-диапазона с ленточным электронным пучком и замедляющей системой типа сдвоенная гребенка
- Авторы: Титов В.Н.1,2, Чистяков И.А.1,3, Навроцкий И.А.1,3, Золотых Д.Н.1,3, Торгашов Р.А.1,2, Абрамов О.Р.2, Горшкова Е.В.3, Емельянов В.В.1,3, Рыскин Н.М.1,2
-
Учреждения:
- Институт радиотехники и электроники им. В.А. Котельникова РАН
- Саратовский национальный исследовательский государственный университет им. Н.Г. Чернышевского
- АО «НПП «Алмаз»
- Выпуск: Том 69, № 7 (2024)
- Страницы: 648-655
- Раздел: ЭЛЕКТРОНИКА СВЧ
- URL: https://journals.rcsi.science/0033-8494/article/view/279638
- DOI: https://doi.org/10.31857/S0033849424070067
- EDN: https://elibrary.ru/HYYCQE
- ID: 279638
Цитировать
Полный текст
Аннотация
Приведены результаты разработки лампы бегущей волны O-типа W-диапазона с ленточным электронным пучком. Разработана и оптимизирована конструкция замедляющей системы в виде сдвоенной гребенки с широкополосными согласующими устройствами ввода–вывода, проведен расчет ее электродинамических параметров. Представлены результаты трехмерного компьютерного моделирования процессов усиления в ЛБВ методом частиц в ячейке. Получен коэффициент усиления, превышающий 30 дБ в полосе частот около 25 ГГц. Разработан и изготовлен макет электронной пушки с прессованным импрегнированным катодом, фокусирующим электродом и анодом, обеспечивающий формирование ленточного электронного пучка с высокоаспектным соотношением сторон и током 0.1 А. Представлена конструкция вакуумного окна, обсуждается технология его изготовления.
Полный текст
ВВЕДЕНИЕ
В настоящее время освоение диапазона частот от 0.1 ТГц и выше является одной из наиболее актуальных проблем электроники. Преимущества, которыми обладает излучение ТГц-диапазона, хорошо известны: высокая проникающая способность, но в то же время гораздо меньшее ионизирующее воздействие, чем рентгеновское излучение; широкий диапазон частот привлекателен для систем передачи информации; в ТГц-диапазоне лежат колебательные и вращательные спектры многих веществ [1—4]. В связи с перечисленным ТГц-излучение имеет широкие перспективы применения в системах безопасности, в системах высокоскоростной беспроводной передачи данных нового поколения, в радиолокации, биомедицине.
Среди источников когерентного излучения ТГц-диапазона высокие мощности порядка десятков и сотен ватт могут обеспечить только приборы вакуумной электроники. Среди подобных приборов наибольший интерес представляют лампы бегущей волны (ЛБВ), которые обладают высоким коэффициентом усиления и широкой полосой усиливаемых частот [5]. В том числе активно исследуются ЛБВ с ленточными электронными пучками и замедляющими системами (ЗС) в виде сдвоенной гребенки [6–19]. Отметим, что современные технологии позволяют с высокой точностью изготавливать ЗС подобного типа для диапазона частот вплоть до 1 ТГц [11].
Замедление подобных ЗС невелико, поэтому рабочие напряжения обычно составляют порядка 20 кВ и выше, причем синхронизм обеспечивается не на основной, а на +1-й пространственной гармонике.
В данной работе представлены результаты моделирования и разработки широкополосной ЛБВ W-диапазона с относительно низкими значениями рабочего напряжения (12…13 кВ) и плотности тока ленточного электронного пучка (порядка 70 А/см2). Снижение плотности тока облегчает фокусировку пучка.
1. ЭЛЕКТРОДИНАМИЧЕСКИЕ ХАРАКТЕРИСТИКИ ЗАМЕДЛЯЮЩЕЙ СИСТЕМЫ
На рис. 1 приведена схема ЗС, состоящей из двух гребенок, расположенных на широких стенках прямоугольного волновода и сдвинутых относительно друг друга на половину периода в продольном направлении.
Рис. 1. Схема ЗС типа сдвоенной гребенки.
Электродинамические характеристики подобных ЗС достаточно подробно исследовались как в отечественной, так и в зарубежной литературе (см., например, [12–19]). Из этих работ известно, что нижняя граница полосы пропускания данной ЗС совпадает с частотой отсечки моды ТЕ10 прямоугольного волновода
, (1)
а верхняя граница примерно равна частоте отсечки моды ТЕ11 волновода сечением b×2(a+l)
. (2)
Данное соотношение достаточно хорошо согласуется с результатами численного моделирования, по крайней мере при не слишком большой высоте канала.
Как уже отмечалось выше, рабочей является +1-я пространственная гармоника, для которой сдвиг фазы на период 2π<φ<4π. Из условия, чтобы в середине полосы пропускания, при φ = 5π/2, напряжение синхронизма составляло 12.5 кВ, можно определить период структуры.
Для +1-й пространственной гармоники характерны относительно невысокие значения сопротивления связи. Наиболее сильно на сопротивление связи влияет ширина канала 2a. С уменьшением этого параметра сопротивление связи растет практически экспоненциально, при этом возрастают трудности с фокусировкой пучка. Как известно (см., например, [20–22]), ленточный пучок в однородном магнитном поле подвержен диокотронной неустойчивости, которая приводит к закручиванию краев пучка и его оседанию на поверхность ЗС. Для обеспечения устойчивой транспортировки пучка требуется большое фокусирующее магнитное поле (порядка 1 Тл и выше), что приводит к увеличению массы и габаритов прибора. С учетом существующих технологических ограничений высота канала была выбрана равной 0.2 мм, а толщина пучка 0.1 мм.
Остальные геометрические параметры, такие как высота и толщина ламели, слабо влияют на сопротивление связи. Дальнейшая оптимизация параметров ЗС проводилась с помощью численной методики на основе метода интегрального уравнения, которая подробно описана в [12]. Итоговые значения параметров представлены в табл. 1.
Таблица 1. Размеры ЗС типа сдвоенной гребенки
Параметр | Значение, мм |
Период, p | 0.95 |
Ширина волновода, b | 2.0 |
Толщина ламели, s | 0.25 |
Высота ламели, l | 0.78 |
Высота пролетного канала, 2a | 0.2 |
Сечение пучка, wb × hb | 1.8 × 0.1 |
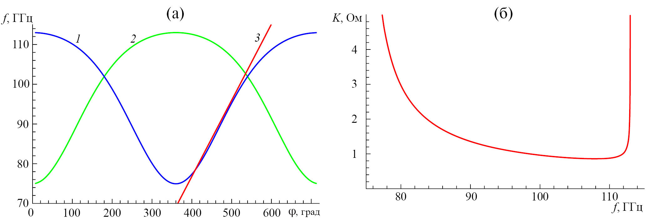
На рис. 2а представлена дисперсионная диаграмма ЗС. Полоса пропускания составляет 75…113 ГГц, что хорошо согласуется с формулами и (1) и (2). Поскольку исследуемая ЗС обладает скользящей симметрией, дисперсионная характеристика состоит из двух ветвей, соответствующих симметричной и антисимметричной модам, которые сливаются на частоте π-вида колебаний (подробнее см., например, [6, 8, 12, 13, 16]). Рабочей является симметричная мода, для которой сопротивление связи значительно больше, чем для антисимметричной. Также на рис. 2a приведена линия электронного пучка при напряжении 12.7 кВ. Рабочее напряжение выбрано несколько бо́льшим, чем напряжение, при котором обеспечивается синхронизм в наиболее широкой полосе частот (12.5 кВ), поскольку скорость пучка в ЛБВ должна превышать фазовую скорость электромагнитной волны. На рис. 2б приведена зависимость сопротивления связи, усредненного по поперечному сечению пучка, от частоты. В полосе частот 85…100 ГГц оно составляет порядка 1…2 Ом.
Рис. 2. Результаты моделирования электродинамических характеристик ЗС: а — дисперсионные характеристики симметричной (1), антисимметричной (2) моды и электронного пучка при напряжении 12.7 кВ (3); б — зависимость сопротивления связи K от частоты для рабочей +1-й пространственной гармоники.
Далее была разработана конструкция устройства ввода/вывода, которая представляет собой согласующий переход на стандартный прямоугольный волновод WR-10 сечением 2.54 × 1.27 мм2. Он состоит из двух областей (рис. 3а): в первой одновременно уменьшается высота ламелей и высота волновода, во второй увеличивается ширина волновода по горизонтали. S-Параметры полноразмерной структуры, состоящей из 50 периодов ЗС с согласующими участками, были исследованы путем моделирования в пакете CST Studio Suite. Геометрия устройства ввода/вывода оптимизировалась с помощью встроенных средств пакета CST. При моделировании эффективная проводимость металлических стенок ЗС была выбрана равной 2.0×107 См/м, что учитывает шероховатость поверхности. Результаты моделирования приведены на рис. 3б. В диапазоне 90…100 ГГц коэффициент отражения не превышает –30 дБ, а ослабление составляет примерно 2.6 дБ или 0.043 дБ/период.
Рис. 3. Конструкция широкополосного согласующего устройства ввода/вывода энергии (a) и S-параметры ЗС (б).
2. РЕЖИМЫ ЭЛЕКТРОННО-ВОЛНОВОГО ВЗАИМОДЕЙСТВИЯ
Процессы усиления в ЛБВ моделировались с помощью пакета CST Studio Suite. Рассматривался ленточный электронный пучок, сечение которого 1.8 × 0.1 мм2, с потенциалом 12.7 кВ и током 100 мА. Пучок фокусируется однородным продольным магнитным полем напряженностью 0.7 Тл. В таком магнитном поле транспортировка пучка вдоль ЗС происходит без заметного оседания на стенки канала. Во всех расчетах паразитное самовозбуждение отсутствовало, спектр выходного сигнала монохроматический. Характерное время установления режима усиления гармонического сигнала не превышало нескольких наносекунд, что сопоставимо со временем пролета электронного потока через ЗС (~ 1 нс).
На рис. 4а приведена зависимость коэффициента усиления от частоты режиме малого сигнала (входная мощность 10 мВт). Коэффициент усиления превышает 30 дБ в широкой полосе частот порядка 25 ГГц, достигая в максимуме на частоте 80 ГГц значения 37 дБ. Рис. 4б иллюстрирует влияние нелинейности. На нем приведены частотные зависимости выходной мощности при различных значениях мощности входного сигнала.
Рис. 4. Зависимость коэффициента линейного усиления G от частоты (а) и зависимости выходной мощности P от частоты при различных значениях входной мощности (б): 10 (1), 20 (2), 50 (3), 100 мВт (4).
При относительно малой входной мощности максимальная выходная мощность достигается на низкочастотном краю рабочего диапазона, где сопротивление связи велико. Уже при входной мощности 20 мВт здесь начинается переход в режим насыщения. С ростом входной мощности точка, в которой наблюдается максимальная выходная мощность, смещается в область более высоких частот, а зависимость выходной мощности от частоты становится более однородной. На высокочастотном краю рабочего диапазона насыщение происходит при уровне входной мощности около 100 мВт. При этом выходная мощность превышает 40 Вт в полосе частот около 20 ГГц. Максимальная выходная мощность в режиме насыщения превышает 50 Вт.
3. ЭЛЕКТРОННАЯ ПУШКА
Важным элементом ЛБВ является электронная пушка, обеспечивающая высокий уровень компрессии электронного потока, что необходимо для снижения катодной нагрузки и повышения долговечности катода. Следует, однако, отметить, что обеспечить высокую компрессию ленточного пучка сложнее, чем круглого цилиндрического. В литературе предложены различные подходы к созданию электронно-оптических систем с ленточными пучками (см., например, [23–26]). В частности, в работе [22] нами был разработан макет электронной пушки с прессованным импрегнированным катодом и фокусирующим электродом в форме прямоугольного рупора для ЛБВ диапазона 0.2 ТГц. Экспериментально был получен сходящийся ленточный пучок с током до 135 мА и толщиной не более 0.1 мм, причем коэффициент компрессии по площади составил ~16 ед.
Однако конструкция с четырехлепестковым фокусирующим электродом имеет определенный недостаток, который заключается в том, что лепестки отбирают тепло с поверхности катода. В случае неравномерного контакта это может приводить к неоднородному распределению температуры по поверхности катода. Поскольку в данной работе рассматривается ЛБВ W-диапазона с бо́льшими размерами пролетного канала, чем в [22], мы ограничились более простой конструкцией пушки с фокусирующим электродом с двумя лепестками по вертикали, которые находятся под потенциалом катода (рис. 5а).
Рис. 5. Трехмерная компьютерная модель электронной пушки (a) и фотография экспериментального макета (б): 1 — катод; 2 — фокусирующий электрод; 3 — анод; 4 — электронный поток. Цветами показана энергия электронов, изменяющаяся от 0 до 12.7 кэВ.
Компьютерное моделирование пушки проводилось в пакете CST с использованием встроенных средств оптимизации. Электронная пушка имела катод с размерами 1.0×0.7 мм2. Фокусирующие электроды наклонены к оптической оси под углом 52°. В соответствии с результатами моделирования, представленными в разд. 1 и 2, анодное напряжение было выбрано 12.7 кВ. Согласно расчетам ток пучка составил 100 мА, при этом плотность токоотбора с поверхности катода в режиме ограничения тока пространственным зарядом равна примерно 14.28 А/см2.
Отсутствие боковых фокусирующих лепестков приводит к тому, что по горизонтальной координате пучок расширяется и в канале ЗС его ширина составляет в среднем примерно 1.8 мм. Такое значение ширины пучка использовалось при расчетах взаимодействия в разд. 2. Средняя толщина пучка в канале составила 0.1 мм, средняя площадь поперечного сечения пучка — 1.4×10–3 см2, средняя плотность тока — примерно 70 А/см2, коэффициент компрессии по площади — около 5 ед.
Электронная пушка была изготовлена по хорошо апробированной методике (см., например, [22]). Катодную таблетку изготавливали из вольфрамовой матрицы, импрегнированной оксидом бария. Для снижения работы выхода и повышения однородности эмиссии и долговечности катода на ее поверхность методом магнетронного напыления наносили пленку Os-Ir-Al толщиной примерно 0.1 мкм. Катод прямоугольной формы и фокусирующий электрод из гафния были изготовлены с помощью электроискровой проволочной резки. Затем катод был собран с металлокерамическим блоком, который состоит из подогревателя и выводов для подачи напряжения к электродам. Сборку фокусирующего электрода и металлокерамического блока проводили с использованием специальной оснастки, которая позволяет точно отъюстировать положение фокусирующего электрода относительно торцевых поверхностей катода. Анод пушки представлял собой металлическую пластину с шероховатой поверхностью, что служит для уменьшения вторичной эмиссии. Данная поверхность была получена методом пескоструйной обработки. Все детали макета проходили соответствующие маршруты химической и плазменной очистки.
Для измерения вольт-амперных характеристик (ВАХ) был собран диодный макет электронной пушки, который был размещен в вакуумной камере. При достижении вакуума 5×10–7 Торр пушку подвергали пирометрированию и тренировке. Рабочая температура катода составляла 1200 °С. Для снижения температурной нагрузки на узлы макета измерения ВАХ были проведены в импульсном режиме при длительности импульса 10 мкс и скважности 2000. Расстояние от катода до анода составило 4.2 мм. Ввиду ограниченных возможностей высоковольтного модулятора ускоряющее напряжение в эксперименте составляло до 10 кВ, т.е. меньше, чем в расчетной модели. Результаты измерений ВАХ представлены на рис. 6. Максимальный ток, зарегистрированный в эксперименте, достигал 110 мА.
Рис. 6. Экспериментально измеренная ВАХ пушки.
4. ВАКУУМНОЕ ОКНО
Важным элементом электровакуумного прибора является вакуумное окно, которое позволяет поддерживать необходимый уровень вакуума в процессе работы устройства. Необходима разработка таких конструкций вакуумных окон, которая бы обеспечивала необходимую вакуумную плотность, а также минимально возможный уровень отражений.
Наиболее часто используются конструкции типа «баночного» окна [27], однако в миллиметровом диапазоне изготовление подобной структуры является весьма трудоемким. Поэтому было решено остановиться на более простой конструкции (рис. 7).
Рис. 7. Компьютерная модель вакуумного окна в виде наклонно расположенной слюдяной пластины в волноводе.
Конструкция представляет собой прямоугольный волновод стандартного сечения WR-10 с тонкой слюдяной пластинкой толщиной h, которая наклонена к оси волновода под углом θ. Моделирование окна проводили с помощью программного пакета COMSOL Multiphysics. На рис. 8 представлены зависимости коэффициента стоячей волны (КСВ) от частоты при различных значениях угла наклона. При этом считалось, что толщина окна составляет h = 85 мкм, диэлектрическая проницаемость слюды ε = 6.0. Видно, что в полосе частот 75…100 ГГц необходимый уровень КСВ, не превышающий 1.3 (что соответствует коэффициенту отражения менее –17 дБ), достигается при наклоне пластины на угол свыше 60°. Также было исследовано влияние толщины пластины. Расчеты показывают, что при увеличении толщины КСВ повышается, однако даже при h = 100 мкм его значения остаются приемлемыми практически во всем рабочем диапазоне частот.
Рис. 8. Зависимости КСВ вакуумного окна от частоты при толщине слюдяной пластины 85 мкм и угле наклона 60° (1), 65° (2), 70° (3) и 75° (4).
Помимо расчетов, была отработана технология создания вакуумно-плотного соединения слюдяной пластины и металлического волновода. В процессе отработки технологии использованы слюдяные пластины из фторфлогопита толщиной 50 мкм и диаметром 6.5 мм. Технология изготовления должна обеспечить вакуумную и механическую прочность такого соединения как при комнатных температурах, так и при высоких значениях температуры, свыше 450 °С. Наилучшие результаты были достигнуты для цилиндрических заготовок из псевдосплава МД-15, покрытых тонким слоем титана, с применением серебряного припоя ПСР совместно с титановыми кольцами, расположенными в местах контакта слюды и цилиндрической заготовки (рис. 9).
Рис. 9. Фотография вакуумно-плотного соединения «слюдяная пластина–металл»: 1 — слюдяной диск, 2 — титановое кольцо, 3 — заготовка из псевдосплава МД-15.
Вакуумная плотность такого узла не нарушалась при отжиге при температуре 780 °С, а также при выдержке готового узла в печи с температурой 450 °С. Также после проведенных операций по определению надежности узла не наблюдались какие-либо механические повреждения слюдяной пластины и демпфирующих титановых колечек. Это позволяет сделать вывод, что разработанная технология применима для создания вакуумно-плотных соединений на основе слюды и псевдосплава МД-15 и может быть использована при изготовлении опытных образцов ЛБВ W-диапазона.
Кроме того, было проведено измерение КСВ слюдяного диска в диапазоне частот 75…110 ГГц. Измерение проводили с помощью векторного анализатора электрических цепей R&S®ZVA40 с подключенными к нему расширителями частотного диапазона R&S®ZC110. При измерении слюдяной диск толщиной 85 мкм и диаметром 8.5 мм был расположен между волноводными разъемами расширителей частотного диапазона. Для исключения внетрактовых излучений в процессе проведения измерений диск фиксировали между волноводными разъемами расширителей частотного диапазона с помощью зажимных струбцин.
На рис. 10 представлена экспериментально измеренная частотная зависимость КСВ (кривая 1). Среднее значение КСВ составило примерно 2.7. Экспериментальная зависимость достаточно хорошо согласуется с результатами теоретического расчета (кривая 2), если воспользоваться известной формулой для коэффициента отражения от диэлектрической вставки толщиной h в волноводе (см., например, [28]):
, (3)
где Z — отношение волнового сопротивления участка волновода, заполненного диэлектриком, к волновому сопротивлению незаполненного волновода, β — постоянная распространения в волноводе с диэлектриком. В расчетах диэлектрическая проницаемость по-прежнему принималась равной ε = 6.0.
Рис. 10. Зависимости КСВ от частоты для слюдяного диска толщиной 85 мкм, нормально расположенного в волноводе: 1 — экспериментальные измерения; 2 — результаты расчета по формуле (3).
ЗАКЛЮЧЕНИЕ
Таким образом, представлены результаты исследований, направленных на разработку ЛБВ W-диапазона с ленточным электронным пучком и ЗС типа двойной гребенки. Разработана и оптимизирована конструкция ЗС, включая широкополосные согласующие устройства ввода–вывода энергии. Рабочее напряжение составляет 12.7 кВ, при этом обеспечивается синхронизм на +1-й пространственной гармонике в широкой полосе частот. Сопротивление связи превышает 1 Ом в полосе частот 85…100 ГГц. Представлены результаты трехмерного PIC-моделирования процессов усиления в ЛБВ с ленточным электронным пучком с током 100 мА. Для односекционной модели ЛБВ, состоящей из 50 периодов ЗС с согласующими участками, коэффициент усиления превышает 30 дБ в полосе частот порядка 25 ГГц, причем максимальный коэффициент усиления составляет 37 дБ. Выходная мощность в режиме насыщения достигает около 50 Вт и превышает 40 Вт в полосе частот около 20 ГГц. Не вызывает сомнений, что дальнейшая оптимизация пространства взаимодействия ЛБВ (секционированная конструкция с профилированием фазовой скорости) позволит значительно повысить выходную мощность и КПД усилителя. Разработана и изготовлена электронная пушка с прессованным импрегнированным катодом, фокусирующим электродом и анодом, обеспечивающая формирование ленточного электронного пучка с толщиной 0.1 мм и током свыше 100 мА. Также разработана конструкция вакуумного окна в виде слюдяной пластинки, наклонно расположенной в волноводе под углом к оси волновода, которая обеспечивает КСВ, не превышающий 1.3 в рабочей полосе частот.
Авторы данной работы заявляют об отсутствии конфликта интересов.
ФИНАНСИРОВАНИЕ РАБОТЫ
Работа выполнена при финансовой поддержке Российского научного фонда (проект № 22-49-02017).
Об авторах
В. Н. Титов
Институт радиотехники и электроники им. В.А. Котельникова РАН; Саратовский национальный исследовательский государственный университет им. Н.Г. Чернышевского
Email: torgashovra@gmail.com
Саратовский филиал Института радиотехники и электроники им. В.А. Котельникова РАН
Россия, ул. Зеленая, 38, Саратов, 410019; ул. Астраханская, 83, Саратов, 410012И. А. Чистяков
Институт радиотехники и электроники им. В.А. Котельникова РАН; АО «НПП «Алмаз»
Email: torgashovra@gmail.com
Саратовский филиал Института радиотехники и электроники им. В.А. Котельникова РАН
Россия, ул. Зеленая, 38, Саратов, 410019; ул. Панфилова, 1, Саратов, 410033И. А. Навроцкий
Институт радиотехники и электроники им. В.А. Котельникова РАН; АО «НПП «Алмаз»
Email: torgashovra@gmail.com
Саратовский филиал Института радиотехники и электроники им. В.А. Котельникова РАН
Россия, ул. Зеленая, 38, Саратов, 410019; ул. Панфилова, 1, Саратов, 410033Д. Н. Золотых
Институт радиотехники и электроники им. В.А. Котельникова РАН; АО «НПП «Алмаз»
Email: torgashovra@gmail.com
Саратовский филиал Института радиотехники и электроники им. В.А. Котельникова РАН
Россия, ул. Зеленая, 38, Саратов, 410019; ул. Панфилова, 1, Саратов, 410033Р. А. Торгашов
Институт радиотехники и электроники им. В.А. Котельникова РАН; Саратовский национальный исследовательский государственный университет им. Н.Г. Чернышевского
Автор, ответственный за переписку.
Email: torgashovra@gmail.com
Саратовский филиал Института радиотехники и электроники им. В.А. Котельникова РАН
Россия, ул. Зеленая, 38, Саратов, 410019; ул. Астраханская, 83, Саратов, 410012О. Р. Абрамов
Саратовский национальный исследовательский государственный университет им. Н.Г. Чернышевского
Email: torgashovra@gmail.com
Россия, ул. Астраханская, 83, Саратов, 410012
Е. В. Горшкова
АО «НПП «Алмаз»
Email: torgashovra@gmail.com
Россия, ул. Панфилова, 1, Саратов, 410033
В. В. Емельянов
Институт радиотехники и электроники им. В.А. Котельникова РАН; АО «НПП «Алмаз»
Email: torgashovra@gmail.com
Саратовский филиал Института радиотехники и электроники им. В.А. Котельникова РАН
Россия, ул. Зеленая, 38, Саратов, 410019; ул. Панфилова, 1, Саратов, 410033Н. М. Рыскин
Институт радиотехники и электроники им. В.А. Котельникова РАН; Саратовский национальный исследовательский государственный университет им. Н.Г. Чернышевского
Email: torgashovra@gmail.com
Саратовский филиал Института радиотехники и электроники им. В.А. Котельникова РАН
Россия, ул. Зеленая, 38, Саратов, 410019; ул. Астраханская, 83, Саратов, 410012Список литературы
- Григорьев А.Д. Терагерцевая электроника. М.: Физматлит, 2021.
- Zhang X.-C., Xu J. Introduction to THz Wave Photonics. N.Y.: Springer, 2010. https://doi.org/10.1007/978-1-4419-0978-7
- Rieh J.-S. Introduction to Terahertz Electronics. N.Y.: Springer, 2021. https://doi.org/10.1007/978-3-030-51842-4
- THz Communications. Paving the Way Towards Wireless Tbps / Eds T.Kürner, D.M. Mittleman, T. Nagatsuma. Springer Series in Optical Sciences. V. 234. N.Y.: Springer, 2022. https://doi.org/10.1007/978-3-030-73738-2
- Paoloni C., Gamzina D., Letizia R. et al. // J. Electromag. Waves Appl. 2021. V. 35. № 5. P. 567. https://doi.org/10.1080/09205071.2020.1848643
- Shin Y.M., Baig A., Barnett L.R. et al. // IEEE Trans. 2011. V. ED-58. № 9. P. 3213. https://doi.org/10.1109/TED.2011.2159842
- Baig A., Gamzina D., Kimura T. et al. // IEEE Trans. 2017. V. ED-64. № 5. P. 2390. https://doi.org/10.1109/TED.2017.2682159
- Karetnikova T.A., Rozhnev A.G., Ryskin N.M. et al. // IEEE Trans. 2018. V. ED-65. № 6. P. 2129. https://doi.org/10.1109/TED.2017.2787960
- Shin Y.-M., Stockwell B., Begum R., et al. // IEEE Trans. 2023. V. ED-70. № 6. P. 2738. https://doi.org/10.1109/TED.2023.3241834
- Zhang C., Pan P., Cai J. et al. // IEEE Trans. 2023. V. ED-70. № 6. P. 2798. https://doi.org/10.1109/TED.2022.3233291
- Yang R., Xu J., Yue L. et al. // IEEE Trans. 2022. V. ED-69. № 5. P. 2656. https://doi.org/10.1109/TED.2022.3161255
- Рожнев А.Г., Рыскин Н.М., Каретникова Т.А. и др. // Изв. вузов. Радиофизика. 2013. Т. 56. № 8—9. С. 601.
- Каретникова Т.А., Рожнев А.Г., Рыскин Н.М. и др. // РЭ. 2016. Т. 61. № 1. С. 54. https://doi.org/10.1134/S1064226915120116
- Давидович М.В. // ЖТФ. 2019. Т. 89. № 2. С. 280. https://doi.org/10.21883/JTF.2019.02.47084.80-18
- Shin Y.-M., Barnett L.R., Luhmann N.C. // IEEE Trans. 2009. V. ED-56. № 5. P. 706. https://doi.org/10.1109/TED.2009.2015404
- Wang J., Shu G., Liu G. et al. // IEEE Trans. 2016. V. ED-63. № 1. P. 504. https://doi.org/10.1109/TED.2015.2502620
- Srivastava V., Srivastava N. // 3rd Intern. Conf. and Workshops on Recent Advances and Innovations in Engineering (ICRAIE). Jaipur, India. 22–25 Nov. N.Y.: IEEE, 2018. P. 1. https://doi.org/10.1109/ICRAIE.2018.8710392
- Srivastava V. // IETE Tech. Rev. 2018. V. 36. № 5. P. 501. https://doi.org/10.1080/02564602.2018.1509738
- Zheng Y., Gamzina D., Himes L. et al. // IEEE 2020. V. THz-10. № 4. P. 411. https://doi.org/10.1109/TTHZ.2020.2995826
- Nguyen K.T., Pasour J.A., Antonsen T.M. et al. // IEEE Trans. 2009. V. ED56. № 5. P. 744. https://doi.org/10.1109/TED.2009.2015420
- Ruan C., Wang S., Han Y., et al. // IEEE Trans. 2014. V. ED-61. № 6. P. 1643. https://doi.org/10.1109/TED.2014.2299286
- Navrotsky I.A., Burtsev A.A., Emelyanov V.V. et al. // IEEE Trans. 2021. V. ED-68. № 2. P. 798. https://doi.org/10.1109/TED.2020.3041425
- Zheng Y., Gamzina D., Popovic B., Luhmann N.C. // IEEE Trans. 2016. V. ED-63. № 11. P. 4466. https://doi.org/10.1109/TED.2016.2606322
- Yang L., Wang J., Li H., et al. // IEEE Trans. 2017. V. TPS-45. № 5. P. 805. https://doi.org/10.1109/TPS.2017.2688480
- Zhang C., Pan P., Chen X. et al. // Electronics. 2021. V. 10. Р. 3051. https://doi.org/10.3390/electronics10243051
- Yin P.C., Xu J., Yang R.C. et al. // IEEE Electron Device Lett. 2022. V. 43. № 8. P. 1343. https://doi.org/10.1109/LED.2022.3187160
- Cook A.M., Joye C.D., Kimura T. et al. // IEEE Trans. 2013. V. ED-60. № 3. P. 1257. https://doi.org/10.1109/TED.2012.2232929
- Сазонов В.П., Терехина З.Н., Лямзин В.М. // Обзоры по электронной технике. Сер. Электроника СВЧ. 1972. Вып. 3(8). С. 1.
Дополнительные файлы












