The effect of germanium wetting layer on the percolation processes in ultrathin copper films and their microwave transmission, reflection and absorption coefficients
- Authors: Vdovin V.A.1, Andreev V.G.1, Pyataikin I.I.1, Pinaev Y.V.1
-
Affiliations:
- Kotel’nikov Institute of Radio Engineering and Electronics of RAS
- Issue: Vol 69, No 5 (2024)
- Pages: 448-454
- Section: НАНОЭЛЕКТРОНИКА
- URL: https://journals.rcsi.science/0033-8494/article/view/275944
- DOI: https://doi.org/10.31857/S0033849424050074
- EDN: https://elibrary.ru/ILGOKX
- ID: 275944
Cite item
Full Text
Abstract
The microwave coefficients of copper films with a thickness of 1...16 nm grown on a 1.8 nm germanium sublayer deposited on the surface of quartz glass substrates with a thickness of 4 mm are studied. The measurements have been carried out in a rectangular waveguide with a cross section of 23×10 mm2 in the frequency range of 8.5...12.5 GHz. A smooth change in the microwave coefficients of the samples studied is detected in the range of copper film thicknesses of 2...16 nm. It is established that the critical percolation thickness of the copper films grown on germanium sublayer is in the range between 1 and 2 nm. A significant internal size effect is found in the films grown on Ge sublayer due to the scattering of conduction electrons mainly by intercrystalline boundaries. It is determined that the coefficient of reflection of conduction electrons by the intercrystalline boundaries of the copper films with Ge sublayer is more than three times higher than a similar coefficient in Cu films grown directly on the glass substrates.
Full Text
ВВЕДЕНИЕ
Защита человека от воздействия мощного СВЧ излучения – актуальная практическая задача, важность решения которой в настоящее время особенно велика в связи с переходом к все более высокочастотным технологиям электронных коммуникаций пятого поколения и их растущим проникновением во все сферы повседневной жизни.
Тонкие металлические пленки толщиной много меньшей скиновой – неотъемлемый элемент покрытий электромагнитной защиты. По этой причине исследование их электродинамических свойств и влияния на эти свойства структурных характеристик пленок представляет значительный фундаментальный и практический интерес.
Необходимый для создания защитных покрытий расчет СВЧ коэффициентов отражения (R), прохождения (T) и поглощения (A) электромагнитных волн в металлических слоях может быть выполнен на основе использования уравнений Максвелла и локальных материальных уравнений, записанных с учетом влияния классического размерного эффекта на электронный транспорт в тонких металлических пленках. Впервые такие расчеты были выполнены 60 лет назад в работе А. Е. Каплана [1]. Хотя в настоящее время нет никаких оснований сомневаться в правильности теории Каплана, следует отметить, что пока не все ее предсказания получили экспериментальное подтверждение. Поэтому работа в данном направлении важна с фундаментальной точки зрения.
По общему мнению [2], наиболее ярким эффектом теории [1], ожидающим экспериментальной верификации, является пик СВЧ коэффициента поглощения в слоях характерной толщины dpk. Теория предсказывает пятидесятипроцентное значение коэффициента поглощения в этой точке. Очевидно практическое значение получения таких слоев.
Оценки показывают, что в металлах подгруппы меди (Cu, Ag, Au) величина dpk заключена между 1,1 и 1,3 нм [2]. Получение сплошных металлических слоев такой толщины требует использования подходов, которые могут быть выработаны при детальном рассмотрении процесса роста пленок на микроскопическом уровне.
Рост металлических пленок в процессе напыления – сложный многофакторный процесс, зависящий, в частности, от свойств поверхности подложки и смачиваемости ее напыляемым металлом. Известно, что на начальном этапе роста формируется островковая структура пленки, которую можно охарактеризовать средней поверхностной плотностью островков <n>, средней площадью основания островка S и его высотой h. Такая пленка имеет нулевую проводимость по постоянному току, а ее СВЧ коэффициенты R, T и А совпадают с аналогичными коэффициентами совершенно чистой подложки [3].
По мере увеличения массы осаждаемого металла параметры <n> , S и h, характеризующие наноструктуру пленки, растут, и в определенный момент в самых разных частях подложки соседние островки перекрываются таким образом, что образуется макроскопический путь протекания постоянного электрического тока, протяженность которого порядка размеров подложки. В этот момент пленка становится в целом проводящей, а ее оптические коэффициенты, которые определяются макроскопической проводимостью пленки, становятся отличными от аналогичных коэффициентов чистой подложки. Дальнейшее увеличение массы осаждаемого металла ведет к взрывному росту числа путей протекания и быстрому выходу макроскопической проводимости пленки на значение, определяемое классическим размерным эффектом [4–8] в сплошных пленках.
Описанный выше резкий переход пленки в процессе роста из диэлектрического в проводящее состояние называется перколяционным переходом. Номинальная (весовая) толщина пленки, соответствующая появлению макроскопического пути протекания постоянного электрического тока, называется перколяционной толщиной dc. Она зависит от материала подложки и напыляемого металла и в значительной степени определяется величиной адгезии металла к поверхности подложки. Чем выше адгезия, тем лучше металл смачивает поверхность подложки в процессе роста пленки и, следовательно, тем меньше отношение у растущих островков. Такие пленки становятся макроскопически проводящими при меньших толщинах, чем пленки с бóльшим отношением , обусловленным меньшей адгезией и худшим смачиванием. Поэтому у пленок с плохим смачиванием подложки металлом величина dc выше, чем у пленок с высокой адгезией металла к подложке. Например, довольно умеренная адгезия меди и золота к кварцевому стеклу приводит к перколяционным толщинам в пленках этих материалов около 5…6 нм [9]. Серебро же смачивает стекло столь плохо, что его dc ≈ 11 нм.
Если адгезия металла к подложке невелика и толщина dc значительна, то иногда ситуацию с большой величиной dc можно улучшить напылением на поверхность подложки материала, взаимодействие с которым у рассматриваемого металла значительно выше, чем у металла непосредственно с подложкой. Вследствие существенного роста такого взаимодействия смачивание металлом подложки с подслоем улучшается, что позволяет в разы уменьшать толщину dc пленок. В качестве материала для подслоя часто выбирают германий (Ge) или сурьму. Конкретный выбор диктуется химическими свойствами напыляемого металла.
Цель данной работы – изучить влияние подслоя Ge на процессы перколяции в ультратонких (1…10 нм) пленках меди и их оптические коэффициенты в микроволновом диапазоне длин волн. Для этого мы сравниваем упомянутые коэффициенты Cu пленок, напыленных непосредственно на поверхность подложек из кварцевого стекла, с аналогичными коэффициентами медных пленок на таких же подложках, но с подслоем Ge толщиной 1.5…2 нм. Выбор германия, а не сурьмы в качестве материала подслоя обусловлен высокой химической активностью сурьмы в отношении меди, приводящей при контакте этих элементов к образованию соединений, которые по своим электрическим свойствам являются изоляторами.
1. МАТЕРИАЛЫ И МЕТОДЫ
Напыление медных и германиевых слоев проводили термическим испарением навесок Cu (чистотой 99.999%) и Ge (99.9999%) в вакууме 5⋅10–6 мм рт. ст. на предварительно отожженные при 250 ˚С и находящиеся при комнатной температуре подложки из высокосортного кварцевого стекла марки КУ-1 размером 22.9×9.8×4 мм3.
Было изготовлено десять образцов с толщинами медных слоев 1.0, 2.0, 2.6, 4.2, 5.2, 6.0, 7.9, 8.7, 12.0 и 16.4 нм, напыленных на слои Ge толщиной 1.5…2 нм сразу после их осаждения. Для выяснения того, как влияют германиевые слои на измерения, были исследованы оптические коэффициенты трех подложек из стекла марки КУ-1, на которые напыляли слои Ge толщиной 2.6, 4.2 и 8.8 нм. Результаты измерений оптических коэффициентов таких образцов в пределах погрешностей были неотличимы от аналогичных коэффициентов чистых подложек, что свидетельствует о диэлектрической природе тонких слоев Ge, полученных осаждением из газовой фазы в вакууме. Из этого был сделан вывод, что Ge подслой нанометровой толщины не оказывает какого-либо влияния на проводимые СВЧ-измерения.
Электронно-микроскопическое исследование пленок проводили на установке Neon 40 ESB-35-09 (Carl Zeiss). Для улучшения стока электронов с исследуемых медных пленок и уменьшения размывания изображения из-за эффектов накопления заряда на образце были использованы подложки из проводящего кремния микроэлектронного качества, легированного фосфором или бором. Как известно, поверхность таких подложек покрыта естественным слоем оксида кремния SiO2 толщиной 1…2 нм, структурно и физико-химически эквивалентного кварцевому стеклу, имеющему тот же химический состав (SiO2). Поэтому считалось, что структура медных пленок, выращенных на поверхности кремниевых подложек, эквивалентна структуре Cu пленок напыленных на поверхность подложек из кварцевого стекла. Кремниевые подложки с металлическими пленками крепили к медной пластине миллиметровой толщины с помощью индиевых проводников, соединяющих поверхность пленок с пластиной и обеспечивающих сток электронов микроскопа. Для исследований структуры поверхности пленок (особенно островковых) выбирали области вблизи индиевых стоков, в окрестности которых эффект накопления заряда минимален.
При изготовлении образцов для электронно-микроскопических исследований на кремниевой подложке размещали экран, который частично затенял источник германия таким образом, чтобы на подложке формировались области, покрытые либо только медной пленкой, либо медной пленкой, напыленной поверх германиевого подслоя. Наличие таких областей позволяет проводить сравнение структурных характеристик Cu-пленок, полученных напылением в сходных условиях на совершенно различные по свойствам поверхности.
Измерения зависимости проводимости пленок по постоянному току от толщины проводили на тех же образцах, для которых ранее были измерены микроволновые коэффициенты отражения и прохождения. Для формирования электрических контактов к пленкам, на их поверхность вблизи коротких торцов подложек напыляли узкие (2…3 мм) медные полоски толщиной 40…50 нм, в каждую из которых втирали несколько кусочков индия миллиметровых размеров. Получаемые таким образом индиевые контактные площадки позволяли подключать образцы к электрической измерительной схеме без использования пайки простым прижимом тонких проволок к контактным площадкам малыми кусочками индия.
Окисление индия и поверхности медной полоски, а также соприкосновение индия с поверхностью лишь на малой доле общей площади контакта приводили к появлению контактного сопротивления величиной около 0.5 Ом в расчете на два контакта. Во избежание ошибок, обусловленных этим контактным сопротивлением, и особенно значительных при исследовании низкоомных толстых пленок, для измерения проводимости использовалась четырехзондовая методика. Расчет проводимостей пленок осуществлялся по формуле , где r – измеренное четырехзондовым методом сопротивление образца, L – расстояние между ближайшими краями торцевых контактных полосок, w – ширина подложки, d – толщина пленки.
Измерения оптических коэффициентов в диапазоне 8.5…12.5 ГГц проводили в прямоугольном волноводе сечением 23 x 10 мм2 по схеме, описанной в [10]. Из этой работы также были заимствованы экспериментальные зависимости от толщины оптических коэффициентов медных пленок, напыленных непосредственно на поверхность подложек из кварцевого стекла.
2. ПОЛУЧЕННЫЕ РЕЗУЛЬТАТЫ И ИХ ОБСУЖДЕНИЕ
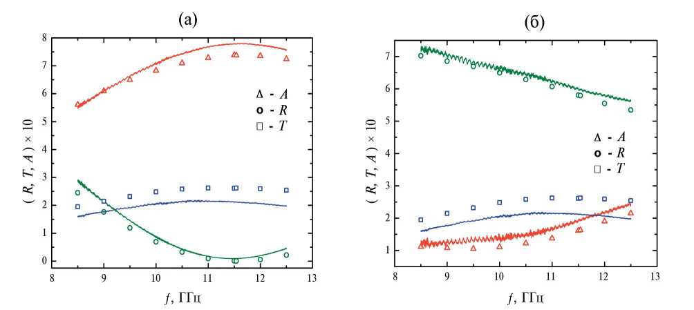
На рис. 1 представлены частотные зависимости оптических коэффициентов R, T и A макроскопически проводящих пленок меди толщиной 7.9 нм, выращенных на подложке с подслоем Ge и без него. Поскольку в СВЧ-диапазоне проводимость металлов не зависит от частоты, то представленные на рисунке частотные зависимости обусловлены интерференционным перераспределением энергии падающей волны при изменении ее длины, происходящем при перестройке частоты с учетом волноводной дисперсии.
Рис. 1. Частотные зависимости микроволновых коэффициентов R, T и A медной пленки для двух геометрий падения волны: падение волны со стороны подложки (а) и падение волны со стороны пленки (б); символы – коэффициенты медной пленки толщиной 7.9 нм, напыленной непосредственно на подложку из кварцевого стекла, сплошные кривые – значения аналогичных коэффициентов для Cu-пленки такой же толщины, но выращенной на германиевом подслое.
Наблюдаемые на частоте 11.5 ГГц экстремумы коэффициентов в геометрии, когда волна падает на Cu-пленку со стороны подложки, определяются толщиной подложки и ее диэлектрической проницаемостью. Все эти соображения объясняют наблюдаемое подобие частотных зависимостей коэффициентов пленок, выращенных на подслое Ge и в его отсутствие. Полное совпадение зависимостей не происходит только из-за различия проводимостей медных слоев, напыленных непосредственно на подложку и на германиевый подслой, имеющий нулевую проводимость, а толщину, на шесть порядков меньшую толщины подложки.
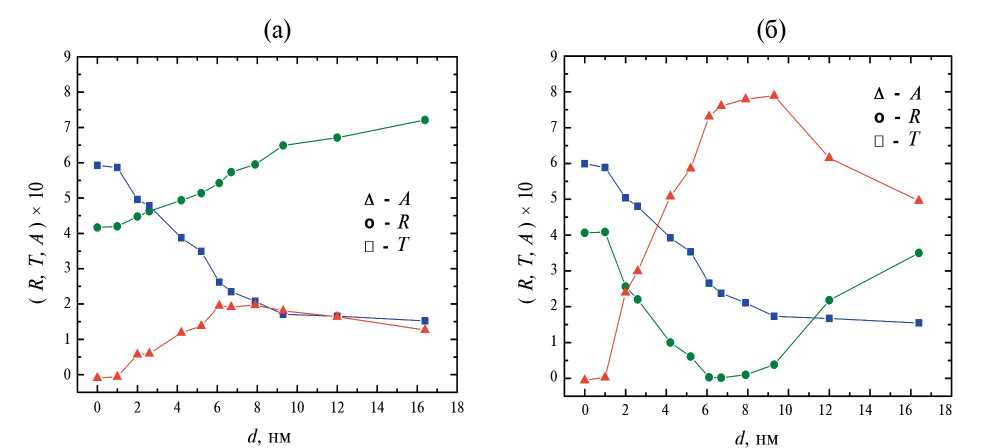
На рис. 2 приведены измеренные на частоте 11.5 ГГц зависимости коэффициентов R, T и A от толщины d пленки меди, выращенной на подложке с подслоем Ge, для двух геометрий падающей на пленку волны. Как видно из рисунка, Cu пленка толщиной 1 нм, напыленная на Ge-подслой, имеет оптические коэффициенты, которые практически не отличаются от аналогичных коэффициентов совершенно чистой подложки (см. рис. 2, d = 0).
Рис. 2. Измеренные на частоте 11.5 ГГц зависимости коэффициентов R, T и A от толщины пленки меди, выращенной на подслое Ge, для случая падения волны со стороны пленки (а) и со стороны подложки (б).
В то же время видно, что заметное отличие от коэффициентов чистой подложки начинает проявляться у пленок меди, выращенных на подслое Ge, начиная с толщины d = 2 нм. Исходя из этого, можно сделать вывод, что значение перколяционной толщины dc таких пленок заключено в диапазоне между 1 и 2 нм.
На рис. 3 сравниваются аналогичные коэффициенты пленок, выращенных непосредственно на подложке и на подслое германия. Очевидно, что медные пленки, напыленные на подслой Ge, демонстрируют более плавное изменение коэффициентов в гораздо большем интервале толщин. Резкое изменение коэффициентов Cu-пленки, напыленной на подложку без подслоя, в области толщины около 7 нм обусловлено перколяционным переходом.
Рис. 3. Измеренные на частоте 11.5 ГГц зависимости коэффициентов R, T и A от толщины пленки меди, выращенной на подложке с подслоем Ge (закрашенные символы) и в его отсутствие (контурные символы). Приведенные на рисунке зависимости соответствуют случаю падения СВЧ-волны со стороны подложки.
Из рис. 3 видно, что значения коэффициентов отражения и прохождения таких пленок при толщинах менее 7 нм совпадают с аналогичными коэффициентами чистой подложки, что указывает на их островковую структуру.
Такая интерпретация данных, приведенных на рис. 2 и 3, подкрепляется прямыми исследованиями структуры Cu-пленок на сканирующем электронном микроскопе. На рис. 4а и 4б приведены электронно-микроскопические изображения пленок весовой толщиной 5 нм, выращенных на подслое Ge и без него, соответственно.
Рис. 4. Сплошная 5 нм пленка Cu, выращенная на германиевом подслое толщиной 1.8 нм, напыленном на SiO2 поверхность проводящего кремния (а) и островковая пленка Cu толщиной 5 нм на SiO2 поверхности проводящего кремния (б).
Слабоконтрастное изображение рис. 4а отвечает сплошной пленке, в то время как на значительно более контрастном изображении рис. 4б хорошо различима островковая структура Cu-пленки, выращенной на подложке без подслоя Ge. Темные участки на этом изображении соответствуют подложке, более светлые – металлическим островкам. Едва различимые области на рис. 4а, чуть более светлые, чем общий фон, характеризуют сложную, шероховатую поверхность растущей сплошной пленки металла, на которой только начинают проявляться особенности формирующейся поверхности кристаллитов пленки.
Для более детального выяснения влияния подслоя германия на транспортные свойства тонких пленок меди была исследована зависимость их проводимости по постоянному току σ от толщины. Результаты измерений на пяти образцах представлены на рис. 5. Как видно из рисунка, проводимость образцов увеличивается почти в пять раз при четырехкратном увеличении толщины пленки.
Рис. 5. Зависимость от толщины dc проводимости пленок меди, выращенных на подложке с подслоем Ge (точки), линией обозначен результат подгонки экспериментальных точек формулой (1) при фиксированном параметре σ0 = 5.95⋅105 См/см.
Сам факт зависимости удельной проводимости от толщины указывает на то, что существенное влияние на электронный транспорт в исследуемых пленках оказывает классический размерный эффект. В тонких монокристаллических или в крупноблочных пленках, продольные размеры кристаллитов D в которых намного превосходят длину свободного пробега l0 электронов в соответствующих объемных металлах с проводимостью σ0, классический размерный эффект обусловлен незеркальностью отражения электронов от внешней поверхности пленки и ее внутренней поверхности, примыкающей к подложке. Размерный эффект такого рода называется внешним и хорошо описывается теорией Фукса–Зондгеймера (ФЗ) [4, 6]. Однако малое отношение σ / σ0 в исследованных нами пленках в сочетании со значительным ростом σ при четырехкратном увеличении их толщины невозможно совместить с предсказаниями данной теории. Это указывает на то, что исследованные пленки – мелкокристаллические (), и размерный эффект в них обусловлен преимущественно рассеянием носителей заряда на границах кристаллитов, а не на поверхностях пленки. Размерный эффект такого типа называется внутренним. Для его описания обычно используется теория Маядеса-Шацкеса-Дженека (МШД) [7, 8], которая является более общей, чем теория ФЗ, и содержит последнюю как предельный случай.
Если считать, что размерный эффект полностью определяется рассеянием на границах кристаллитов, средний размер которых D равен толщине пленки d, то уравнения теории МШД приобретают наиболее простой вид. Как показано в [7], в этом случае
, (1)
где . В данной формуле – приведенная толщина, а – коэффициент отражения электронов от межкристаллитных границ. Формула (1) весьма удобна для подгонки экспериментальных данных по размерному эффекту в изотропных металлах, таких как щелочные металлы и металлы подгруппы меди, с поверхностью Ферми, близкой к сферической, поскольку в них σ0 и l0 связаны соотношением
,
где ℏ – постоянная Планка, e – заряд электрона, n – концентрация носителей заряда в металле. Наличие этой связи приводит к тому, что формула (1) содержит всего лишь два свободных параметра: σ0 и Rb или l0 и Rb, которые могут быть определены из подгонки.
Следует отметить, что применение этой формулы для анализа данных рис. 5 сопряжено с некоторыми ограничениями, связанными с небольшим количеством экспериментальных точек на рисунке, не позволяющем найти из подгонки надежные значения сразу для двух свободных параметров. По этой причине требуется фиксация одного из них на каком-нибудь разумном значении. Полагая σ0 равным значению удельной проводимости чистой меди при комнатной температуре и подгоняя экспериментальные точки рис. 5 формулой (1), находим, что Rb = 0.80 ± 0.01.
Данное значение коэффициента отражения электронов от межкристаллитных границ в пленках меди, выращенных на поверхности германиевого подслоя, более чем в три раза превосходит аналогичный параметр медных пленок, напыленных непосредственно на подложку, величина которого по данным работы [11], составляет 0.26. Высокое значение Rb в исследованных нами пленках указывает на большое количество в них кристаллитов-двойников, границы которых эффективно рассеивают электроны проводимости.
ЗАКЛЮЧЕНИЕ
Таким образом, в данной статье было исследовано влияние, которое оказывает слой германия на транспорт и процессы перколяции в сверхтонких пленках меди, выращенных на его поверхности. С этой целью мы сравнивали зависимости оптических коэффициентов Cu-пленок, выращенных на подложках с германиевым подслоем и без него, от толщины пленки. Также была изучена зависимость проводимости по постоянному току от толщины образцов, у которых ранее были измерены СВЧ-коэффициенты отражения, прохождения и поглощения.
Мы обнаружили, что использование германиевого подслоя позволяет уменьшить перколяционную толщину dc пленок меди в три-четыре раза. При этом экспериментальные зависимости оптических коэффициентов пленок, напыленных на Ge-подслой уже начиная с толщины 2 нм становятся качественно подобными теоретическим зависимостям, вычисляемым по схеме, предложенной в работе [12].
Нами было установлено, что Ge-подслой оказывает сильное влияние на электронный транспорт в пленках меди, выращенных на его поверхности. Так, при исследовании зависимости проводимости таких пленок по постоянному току от толщины был обнаружен сильный размерный эффект, обусловленный рассеянием электронов проводимости на межкристаллитных границах. Подгонка экспериментальной зависимости σ(d) соотношением (1), следующим из теории МШД, позволила установить, что коэффициент отражения электронов от межкристаллитных границ в Cu-пленках с германиевым подслоем более чем в три раза превосходит аналогичный коэффициент в пленках, выращенных непосредственно на подложке. Иными словами, медные пленки, растущие на Ge-подслое, насыщены кристаллитами-двойниками, границы которых рассеивают электроны проводимости максимально сильно, в то время как влияние таких границ на транспорт в обычных пленках Cu не является преобладающим из-за немногочисленности в них кристаллитов-двойников. Таким образом, сильное влияние германиевого подслоя на электронный транспорт в растущих на его поверхности медных пленках реализуется через заметное изменение их структурной морфологии.
Авторы данной работы заявляют об отсутствии конфликта интересов.
БЛАГОДАРНОСТИ
Авторы признательны А. П. Орлову (ИРЭ им. В. А. Котельникова РАН) за проведенные исследования образцов на сканирующем электронном микроскопе.
ФИНАНСИРОВАНИЕ РАБОТЫ
Работа выполнена в рамках темы “Пика” государственного задания ИРЭ им. В. А. Котельникова РАН.
About the authors
V. A. Vdovin
Kotel’nikov Institute of Radio Engineering and Electronics of RAS
Author for correspondence.
Email: vdv@cplire.ru
Russian Federation, Mokhovaya, 11, building 7, Moscow, 125009
V. G. Andreev
Kotel’nikov Institute of Radio Engineering and Electronics of RAS
Email: vdv@cplire.ru
Russian Federation, Mokhovaya, 11, building 7, Moscow, 125009
I. I. Pyataikin
Kotel’nikov Institute of Radio Engineering and Electronics of RAS
Email: vdv@cplire.ru
Russian Federation, Mokhovaya, 11, building 7, Moscow, 125009
Yu. V. Pinaev
Kotel’nikov Institute of Radio Engineering and Electronics of RAS
Email: vdv@cplire.ru
Russian Federation, Mokhovaya, 11, building 7, Moscow, 125009
References
- Каплан А. Е. // РЭ. 1964. Т. 9. № 10. С. 1781.
- Kaplan A. E. // J. Optical Soc.Am. B. 2018. V. 35. № 6. P. 1328. doi: 10.1364/JOSAB.35.001328
- Khorin I., Orlikovsky N., Rogozhin A. et al. // Proc. SPIE. 2016. V. 10224. Р. 1022407–1. doi: 10.1117/12.2266504
- Fuchs K. // Mathematical Proc. Cambridge Philosophical Soc. 1938. V. 34. № 1. P. 100. doi: 10.1017/S0305004100019952
- Dingle R. B. // Proc. Royal Soc. A. 1950. V. 201. № 1067. P. 545. doi: 10.1098/rspa.1950.0077
- Sondheimer E. H. // Adv. Phys. 1952. V. 1. № 1. P. 1. doi: 10.1080/00018735200101151
- Mayadas A. F., Shatzkes M., Janak J. F. // Appl. Phys. Lett. 1969. V. 14. № 11. P. 345. doi: 10.1063/1.1652680
- Mayadas A. F., Shatzkes M. // Phys. Rev. B. 1970. V. 1. № 4. P. 1382. doi: 10.1103/PhysRevB.1.1382
- Camacho J. M., Oliva A. I. // Thin Solid Films. 2006. V. 515. P. 1881. doi: 10.1016/j.tsf.2006.07.024
- Андреев В. Г., Вдовин В. А., Глазунов П. С. и др. // Оптика и спектроскопия. 2022. Т. 130. № 9. С. 1410. doi: 10.21883/OS.2022.09.53304.3539–22
- Barmak K., Darbal A., Ganesh K. J. et al. // J. Vacuum Sci. Technol. A. 2014. V. 32. № 6. P. 061503–1. doi: 10.1116/1.4894453
- Вдовин В. А., Андреев В. Г., Глазунов П. С. и др. // Оптика и спектроскопия. 2019. Т. 127. № 5. С. 834. doi: 10.21883/OS.2019.11.48524.132–19
Supplementary files







