Two classes of window functions
- Authors: Lerner Z.D.
- Issue: Vol 69, No 5 (2024)
- Pages: 435-440
- Section: THEORY AND METHODS OF SIGNAL PROCESSING
- URL: https://journals.rcsi.science/0033-8494/article/view/275942
- DOI: https://doi.org/10.31857/S0033849424050052
- EDN: https://elibrary.ru/ILJZBL
- ID: 275942
Cite item
Full Text
Abstract
Two new classes of window functions, a special case of each of which is the Kaiser window taken as a sample, are proposed and investigated. In each class, we experimentally find suboptimal windows with the level of the maximum side lobe of the spectrum smaller than that of a sample with the same main lobe width and window duration.
Full Text
1. ПОСТАНОВКА ЗАДАЧИ
Оконная функция и ее спектр F(f) взаимно однозначно связаны дискретным преобразованием Фурье (ДПФ). Поэтому любое окно можно задать одной из двух функций: u(x) или F(f). Определим φ-класс окон (оконных функций)
(1)
и Ψ-класс окон (оконных функций)
(2)
соотношениями (1) и (2). Здесь и далее оконная функция u(x) и ДПФ-спектр F(f) — безразмерные нормированные четные действительные функции [1] аргументов x и f, не содержащие неустранимых особенностей ([2, с. 202], см. также Приложение 1); |F(f)| — модуль спектра (далее — спектр); α и β — параметры, при этом α характеризует ширину главного лепестка спектра по нулевому уровню ∆f0 (примеры приведены ниже, см. формулы (6) и (9)), β — продолжительность окна; f — частота; Fs — частота дискретизации; φ(.) — действительная функция, Ψ(.) — действительная четная функция.
Кроме того, подразумевается равенство нулю функций u(x) и F(f) вне интервалов, на которых они заданы. Прежде всего отметим, что φ- и Ψ- классы пересекаются. В частности, окно Кайзера [1] принадлежит обоим классам. Его принадлежность к φ-классу очевидна:
(3)
Интегральное преобразование Фурье (ИПФ) функции u(x) (3) известно [3, с. 229] и может быть записано в виде
(4)
С учетом свойств ДПФ-спектра можно записать
(5)
Поскольку окно Кайзера близко к оптимальному по степени концентрации энергии в главном лепестке спектра, будем использовать его как образец при оценке окон φ- и Ψ-классов. Практическая цель исследования — синтез субоптимальных окон.
2. СУБОПТИМАЛЬНЫЕ ОКНА
Важной характеристикой окна является величина Wmax — уровень максимального бокового лепестка спектра относительно главного лепестка спектра в децибелах. Оптимальное окно, минимизирующее уровень Wmax при фиксированных характеристиках окна ∆f0 и β, неизвестно. Субоптимальным будем называть окно, которое при фиксированных ∆f0 и β характеризуется уровнем Wmax, меньшим, чем у окна Кайзера (с теми же ∆f0 и β): Wmax< Wmax k.
Проведено множество экспериментов (расчетов) с различными φ(.)- и Ψ(.)-функциями. Все экспериментальные окна одного класса сравнивались между собой и с образцом. Ниже представлены лучшие экспериментальные данные субоптимальных окон каждого класса.
Проще всего зафиксировать величину ∆f0 выразив ее через параметр окна α. Это легко сделать для окна Кайзера и для окон Ψ- класса. Дело в том, что ∆f0 — это наименьшее значение частоты f, при котором F(f) = 0. Решив это уравнение, например для окна Кайзера, найдем, что ширина главного лепестка спектра по нулевому уровню равна
(6)
Сложнее найти величину ∆f0 для тех окон φ-класса, аналитическое выражение спектра которых невозможно найти. Тогда приходится пользоваться цифровыми и графическими данными, полученными в результате операции БПФ, проведенной над оконной функцией u(x).
3. φ-КЛАСС ОКОННЫХ ФУНКЦИЙ
Для оконных функций
подкоренное выражение неотрицательно, поэтому функцией φ(.) принципиально может быть любая действительная функция, не содержащая неустранимых особенностей. Однако для уменьшения боковых лепестков спектра желательно выбирать быстро возрастающую функцию. Одной из таких функций является модифицированная функция Бесселя первого рода нулевого порядка I0(.) в равенстве (3) — окно Кайзера. Рассмотрим субоптимальное окно, образованное экспоненциальной функцией, растущей быстрее, чем функция I0(.). Рассмотрим наиболее практичный случай, когда продолжительность окна равна единице (β = 1)
Варьируя параметры экспоненты, вводя ускоряющие (замедляющие) скорость спада оконной функции множители и (или) делители, можно добиваться изменения (в частности, уменьшения) боковых лепестков спектра окна.
На рис. 1 представлены три пары оконных функций. В каждой паре присутствует субоптимальное окно (см. Приложение 1) следующего вида:
(7)
и для сравнения окно Кайзера.
Рис. 1. Оконные функции субоптимального окна φ-класса при α = 3.07 (1), 4.05 (3) и 5.02 (5), оконные функции Кайзера при αk = 3 (2), 4 (4) и 5 (6), для всех кривых ≤ = 1.
Параметр α для оконных функций Кайзера принимает значения: αk = 3, 4 и 5. Значения параметра α субоптимального окна (с той же шириной главного лепестка спектра по нулевому уровню ∆f0) оказываются близкими, но не равными величинам 3, 4 и 5.
На рис. 2–4 представлены спектры каждой из трех пар. Выигрыш окна (7) по уровню максимального бокового лепестка спектра в сравнении с окном Кайзера составляет:
αk | 3 | 4 | 5 |
± | 3.07 | 4.05 | 5.02 |
Выигрыш, дБ | 76–69 = 7 | 103–94= 9 | 130–120 = 10 |
Рис. 2. Спектры оконной функции субоптимального окна φ-класса при α = 3.07 (1) и оконной функции Кайзера при αk = 3 (2), для обеих кривых β = 1.
Рис. 3. Спектры оконной функции субоптимального окна φ-класса при α = 4.05 (1) и оконной функции Кайзера при αk = 4 (2), для обеих кривых β = 1.
Рис. 4. Спектры оконной функции субоптимального окна φ-класса при α = 5.02 (1) и оконной функции Кайзера при αk = 5 (2), для обеих кривых β = 1.
Все вычисления здесь и ниже произведены с помощью программы Matlab.
4. Ψ-КЛАСС ОКОННЫХ ФУНКЦИЙ
Для оконных функций
подкоренное выражение может принимать как положительные, так и отрицательные значения. Поэтому функцией Ψ(.) может быть только четная действительная функция, не содержащая неустранимых особенностей. Если же Ψ(.) не является четной функцией, то F(f) – комплексная функция, не соответствующая требованиям к спектру оконной функции.
Рассмотрим субоптимальное окно Ψ-класса, заданное спектром
(8)
Ширина главного лепестка спектра (8) по нулевому уровню равна
(9)
Начнем со случая, когда продолжительность окна равна единице (β = 1). На рис. 5–7 представлены спектры трех пар окон.
Рис. 5. Спектры оконной функции субоптимального окна Ψ-класса при α = α = 3.1225 (1) и оконной функции Кайзера при αk = 3 (2), для обеих кривых β = 1.
Рис. 6. Спектры оконной функции субоптимального окна Ψ-класса при α = 4.0927 (1) и оконной функции Кайзера при αk = 4 (2), для обеих кривых β = 1.
Рис. 7. Спектры оконной функции субоптимального окна Ψ-класса при α = 5.0744 (1) и оконной функции Кайзера при αk = 5 (2), для обеих кривых β = 1.
Как видим, при мало отличающихся главных лепестках спектров субоптимальное окно (8) имеет выигрыш по сравнению с окном Кайзера :
αk | 3 | 4 | 5 |
α | 3.1225 | 4.0927 | 5.0744 |
Выигрыш, дБ | 9 | 11 | 13 |
5. ОПРЕДЕЛЕНИЕ ОКОННЫХ ФУНКЦИЙ ДЛЯ ОКОН Ψ-КЛАССА
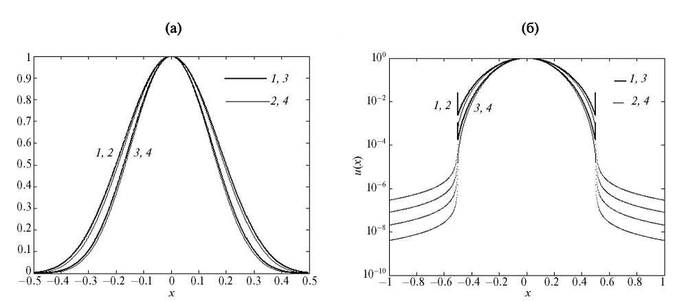
К сожалению, теоретически определить аналитическое выражение для оконной функции u(x), соответствующей спектру (8), не удается. Для численного определения оконной функции следует подвергнуть спектр (8) обратному быстрому преобразованию Фурье (ОБПФ). На рис. 8а и 8б представлены графики оконных функций u(x), соответствующих спектрам, показанным на рис. 5 и 6 (α = 3.1225 и 4.0927 при β = 1 и для сравнения оконных функций Кайзера (αk = 3 и 4 при β = 1).
Рис. 8. Оконные функции субоптимального окна Ψ-класса при α = 3.1225 (1) и 4.0927 (3), оконные функции Кайзера при αk = 3 (2) и 4 (4), для всех кривых β = 1, шкала по оси ординат — линейная (а) и логарифмическая (б).
На рис. 9а и 9б показаны функции u(x), полученные в результате ОБПФ над спектрами окна, заданного соотношениями (8) (α = 5,0744, β = 1 и 1.5), и для сравнения — над спектрами окна Кайзера (αk = 5, β = 1 и 1.5).
Рис. 9. Оконные функции субоптимального окна Ψ-класса: α = 5.0744 при β = 1 (1) и 1.5 (3); оконные функции Кайзера: αk = 5 при β = 1 (2) и 1.5 (4); для всех кривых шкала по оси ординат — линейная (а) и логарифмическая (б).
По рис. 8а и 9а с линейной шкалой по оси ординат невозможно определить продолжительность окна. Зато на рис. 8б и 9б с логарифмической шкалой по оси ординат хорошо видны скачки обсуждаемых оконных функций при x = ±0.5(β = 1) и при x = ±0.75(β = 1.5). Тот факт, что скачки – не идеальные, т. е. не доходят до нуля, свидетельствует об условности модели окна, ограниченного как по частотному диапазону Fs ≥ f ≥ 0, так и продолжительности 0.5 ≥ x ≥ –0.5 или 0.75 ≥ x ≥ –0.75. Тем не менее многочисленные эксперименты (расчеты) показывают, что “хвосты” оконных функций за пределами интервала |x| ≤ β / 2 настолько малы, что их отсечение (идеальное ограничение) вызывает несущественные изменения спектра на графиках |F(f)|. Для случая α = 5,0744, β = 1 почти во всем диапазоне частот эти изменения не превышают величины 10–8. Только в узкой полосе частот вблизи Fs / 2 изменения достигают величины 4 × 10–8. И этот факт лишний раз подтверждает состоятельность модели.
6. МАКСИМАЛЬНЫЙ УРОВЕНЬ БОКОВЫХ ЛЕПЕСТКОВ СПЕКТРА СУБОПТИМАЛЬНОГО ОКНА Ψ- КЛАССА
На рис. 10 представлены спектры субоптимального окна Ψ- класса α = 5,0744 при различных продолжительностях окна (β = 1 и 1.5) и для сравнения спектры окна Кайзера (αk = 5, β = 1 и 1.5). Спектры построены согласно соотношениям (5) и (8).
Рис. 10. Спектры оконных функций субоптимального окна Ψ-класса: α = 5.0744 при β = 1 (1) и 1.5 (3); спектры оконных функций окна Кайзера: αk = 5 при β = 1 (2) и 1.5 (4).
Нетрудно заметить, что при увеличении продолжительности окна в 1.5 раза примерно во столько же раз возрастает превышение в децибелах уровня главного лепестка спектра над максимальным боковым лепестком. Но при этом ухудшаются такие характеристики окна, как когерентное усиление и максимальные потери преобразования. Поэтому на практике, как правило, пользуются окнами с продолжительностью β = 1
7. ОБСУЖДЕНИЕ РЕЗУЛЬТАТОВ
При традиционных исследованиях окон чаще встречаются окна, заданные оконной функцией u(x). В случае окон, заданных ДПФ-спектром F(f) исследователь сталкивается с проблемой определения продолжительности оконной функции u(x).
При произвольно заданном спектре F(f) не соответствующем равенству (2), нет гарантии, что ему соответствует функция u(x) ограниченной продолжительности β. Это обстоятельство значительно сужает многообразие спектров, подходящих для синтеза окон. Эксперименты показали, что скачки, пусть и не идеальные (не до нуля) на границах интервала , как на рис. 9 и 11 с логарифмической шкалой по оси ординат, свидетельствуют об ограниченной продолжительности β оконной функции u(x).
Малые отличия оконных функций субоптимальных окон φ- и Ψ- классов от соответствующих оконных функций Кайзера означают малые отличия таких характеристик окон, как когерентное усиление и максимальные потери преобразования.
ЗАКЛЮЧЕНИЕ
Предложены и исследованы два новых двухпараметрических класса окон: φ-класс, заданный оконными функциями (1), и Ψ-класс, заданный ДПФ-спектрами (2) оконных функций. Экспериментально найдены субоптимальные окна, которые при фиксированных характеристиках окон ∆f0 и β имеют уровень максимального бокового лепестка спектра относительно главного лепестка Wmax, меньший, чем у окна Кайзера (с теми же Df0 и β: Wmax < Wmax k. При значениях параметров окна Кайзера αk = 5, β = 1 его Wmax k = –120дБ, тогда как для окна (7) φ-класса Wmax= –130дБ, а для окна (8) Ψ-класса Wmax= −133дБ.
ПРИЛОЖЕНИЕ
Об особенностях оконных функций и их спектров
В формировании функций φ(.) и Ψ(.) могут принимать участие несколько множителей и (или) делителей. При этом необходимо учесть, что эти функции не должны содержать неустранимых особенностей. К примеру, используемая в формулах (4) и (5) функция sinc(z) = sin(z) / z имеет особенность в точке z = 0, но эта особенность устранимая, так как существует договоренность, что sinc(0) = 1 [2].
Строгий читатель может заметить, что соответствие формулы (7) определению (1) выполняется с небольшой погрешностью: делитель имеет вид (1— 3.9984x2)0.6 вместо (1— 4x2)0.6. Эта погрешность введена во избежание неустранимой особенности — деления на нуль на границах интервала |x| ≤ 0.5.
Автор данной работы заявляет, что у него нет конфликта интересов.
About the authors
Z. D. Lerner
Author for correspondence.
Email: lerner269@gmail.com
Russian Federation
References
- Дворкович В.П., Дворкович А.В. Оконные функции для гармонического анализа сигналов. М.: Техносфера, 2016.
- Корн Г., Корн Т. Справочник по математике. М.: Физматлит, 1970.
- Диткин В.А., Прудников А.П. Интегральные преобразования и операционное исчисление. М.: Физматлит, 1961
Supplementary files












