Бифокальная система двух отражательных решеток
- Авторы: Калошин В.А.1, Туан Ч.2
-
Учреждения:
- Институт радиотехники и электроники им. В. А. Котельникова РАН
- Московский физико-технический институт (НИУ)
- Выпуск: Том 69, № 3 (2024)
- Страницы: 217-226
- Раздел: АНТЕННО-ФИДЕРНЫЕ СИСТЕМЫ
- URL: https://journals.rcsi.science/0033-8494/article/view/266077
- DOI: https://doi.org/10.31857/S0033849424030024
- EDN: https://elibrary.ru/JVOATR
- ID: 266077
Цитировать
Полный текст
Аннотация
Развита методика точного решения задачи геометрооптического синтеза бифокальной системы двух плоских отражательных решеток, основанная на последовательном нахождении распределения эйконала, внесенного различными участками решеток, с его заданием на начальном участке одной из решеток, при этом внесенный эйконал на начальном участке другой решетки находится в результате синтеза выходного плоского фронта для центрального положения луча. Методика обеспечивает непрерывность функций, описывающих распределения внесенных эйконалов, а также их первой и второй производной (по одной координате) на границах участков. Исследована зависимость величины среднеквадратической аберрации эйконала на выходе системы от параметров решеток. В качестве примера применения развитой методики синтезированы и оптимизированы бифокальные системы для угла зрения 40° и 65°. Проведено исследование характеристик излучения антенны на основе синтезированных и оптимизированных бифокальных систем.
Ключевые слова
Полный текст
Введение
В последнее время возрос интерес к исследованиям систем двух плоских отражательных антенных решеток [1–6], в том числе в качестве квазиоптических диаграммообразующих систем (ДОС) для многолучевых антенн. В частности, в работах [4–6] для формирования в плоскости симметрии антенны многолучевой диаграммы использована бифокальная офсетная система двух плоских отражательных решеток. Оптимизация фазовых распределений в отражательных решетках с целью минимизации аберраций при отклонении луча за счет смещения облучателя из фокуса системы проведена в этих работах с использованием численной процедуры. В результате в работе [5] реализовано усиление антенны 48 дБ в угловом секторе 8.6°.
Целью данной работы является разработка методики точного синтеза бифокальной системы двух плоских отражательных решеток, оптимизация параметров с целью минимизации среднеквадратичной аберрации эйконала на выходе системы при смещении облучателя из фокуса ортогонально плоскости симметрии системы и исследование характеристик антенн на основе синтезированных и оптимизированных бифокальных систем.
1. Синтез двухмерной бифокальной системы двух отражательных решеток
Рассмотрим сначала двумерную задачу синтеза бифокальной системы двух отражательных решеток, с одной стороны которой расположены два симметричных относительно оси y (рис. 1) фокуса (точки идеальной фокусировки F1 и F2).
Пусть распределения эйконала, внесенного вспомогательной 1 и основной 2 решетками (далее — решетка 1 и решетка 2) в результате двукратного прохождения сигналов через линии задержки каждой из решеток, описываются неизвестными функциями f1(x) и f2(x) соответственно. Зададим начальный участок распределения эйконала, внесенного решеткой 1, f10(x) = ax2 (–x0 ≤ x ≤ x0), а решеткой 2 — f20(x). Задача синтеза состоит в определении функций f10(x) и f20(x).
Потребуем, чтобы лучи источника, расположенного в точке фокуса F0 с координатами (0, d — f0), после двух отражений от начальных участков решеток сформировали линейный фронт y = h, где h — произвольная постоянная, d — глубина системы, f0 — расстояние от фокуса F0 до решетки 1. При этом центральный луч, падающий вдоль оси y на решетку 1 в точке H c координатами (0, d), отражается от нее, падает на решетку 2 в точке O, снова отражается и идет вдоль оси y. Эйконал этого луча от источника до фронта имеет вид
где f10(0) и f20(0) — внесенные эйконалы в точках H, O соответственно.
Рис. 1. Двумерная бифокальная система: 1 — вспомогательная решетка; 2 — основная решетка; 3 — распределение эйконала, внесенного решеткой 1; 4 — распределение эйконала, внесенного решеткой 2.
Другой луч, выходящий из точки F0, падает на решетку 1 в точке S, отражается от нее, падает на решетку 2 в точке T и отражается от нее параллельно оси y. При этом его эйконал определяется формулой
где f10(xS) и f20(xT) — эйконалы, внесенные в точках xS и xT соответственно.
F0S — расстояние от точки F0 до точки S, а – расстояние от точки S до точки T.
При этом угол α падения луча на решетку 1 и угол β отражения (см. рис. 1) связаны формулой
где α = arctg(xS /(d–f0)), — первая производная функции f10 в точке S.
Зная угол β, нетрудно найти координаты точки T (см. рис. 1):
Потребуем, чтобы все лучи, выходящие из фокуса F0 после двух отражений от решеток, были параллельны оси y и формировали в результате линейный фронт на выходе системы. Для этого необходимо равенство эйконалов всех лучей (от источника до фронта). Потребуем, чтобы эйконалы всех лучей были равны эйконалу центрального луча:
Решение этого уравнения имеет вид
Из выражения (3) определим первую производную функцию f2 в точке T
Множество точек T образует начальный участок решетки 2.
Далее определим координаты фокусов F1 и F2 таким образом, чтобы луч плоской волны, падающий на решетку под углом δ0 к оси y, после отражения в точке D(x0,0) попадал в точку A(–x0, d), а после отражения в точке A — в фокус F1. Из геометрии, представленной на рис. 1, нетрудно найти координаты этого фокуса, а также фокуса F2, учитывая, что он симметричен фокусу F1 относительно оси y:
где xA = –x0, yA = d; f — расстояние от края начального участка до фокуса, — угол между осью y и прямой, соединяющей фокус F1 с краем (точкой A) начального участка решетки 1. При этом
Из геометрии на рис. 1 следует, что угол выхода луча из системы определяется формулой
где – первая производная функции f2 в точке D.
Для определения нового участка решетки 2 предположим, что луч из фокуса F1 падает на начальный участок решетки 1, отражается от нее в точке Р, падает на решетку 2 в точке Q и отражается под углом δ0 (см. рис. 1). При этом угол между осью Y и лучом, падающим из точки F1 в точку P
а угол между осью y и лучом, отраженным от решетки в точке P
Координаты точки Q при этом определяются формулой
Потребуем равенство эйконалов всех лучей, которые выходят из фокуса F1 и после отражения от решетки идут параллельно (под углом δ0 к оси y)
где dD, dQ — расстояние соответственно от точек D и Q до фронта.
Решение уравнения (12) имеет вид
Множество точек Q образует новый участок решетки 2. При этом
Для определения эйконала на новом участке решетки 1 рассмотрим падение волны с линейным фронтом на решетку 2. Пусть луч, падающий на начальный участок решетки 2 в точке M под углом δ0 к оси y, отражается от решетки 2 и падает на решетку 1 в точке N, снова отражается и проходит через фокус F2 (см. рис. 1). Угол между осью y и отраженным лучом в точке М получаем по формуле
При этом координаты точки N
Приравнивая эйконалы лучей, получим уравнение
где dС, dМ — расстояние от точек С и М соответственно до фронта плоской волны.
Решение этого уравнения имеет вид
При этом
где αFN = arctg((xN–xF2)/f cosα0).
Множество точек N образует новый участок решетки 1.
Для обеспечения непрерывности амплитудного распределения отраженных от решеток волн в первом приближении геометрической оптики необходимо, чтобы вторые производные функций, описывающих распределение эйконалов, были непрерывными. Так как координаты точки N определяются через координаты точки M, вторую производную эйконала, внесенного вторым участком решетки 1 в точке N, определяем дифференцированием его первой производной в точке N по координате xM:
где
В результате получаем
Для того чтобы вторая производная на стыках участков решетки 1 была непрерывной, значение второй производной первого участка в точке В с координатами (x0, d) должно равняться значению второй производной в точке N, когда точки M и C совпадают. В результате получим уравнение
Решение уравнения (20) определяет коэффициент a, обеспечивающий непрерывность второй производной в точке B.
2. Синтез трехмерной бифокальной системы двух отражательных решеток
Рассмотрим трехмерную задачу синтеза бифокальной системы двух отражательных решеток, показанной на рис. 2.
Основная решетка 2 расположена в плоскости XY, а вспомогательная решетка 1 расположена под углом ξ к этой плоскости. При этом плоскость YZ является плоскостью симметрии задачи. При расположении источника сферической волны в двух симметричных относительно этой плоскости фокусах (F1 и F2) с другой стороны бифокальной системы формируются два симметричных относительно плоскости YZ плоских фронта.
Пусть распределение внесенного эйконала начальным участком решетки 1 имеет вид L10 = ax2+by2, где коэффициент b полагается заданным в начале синтеза. Для определения коэффициента а зададим также параметры: размер 2x0 начального участка решетки1 при y = 0, расстояние f от краев этого участка до фокусов и расстояние f0 от точки фокуса F0 для начальных участков до решетки1. Применяя алгоритм, описанный в разд. 1, находим коэффициент а и координаты точек F1, F2.
Рис. 2. Трехмерная бифокальная система: 1 — вспомогательная решетка; 2 — основная решетка; 3 — распределение эйконала внесенного решеткой 1; 4 — распределение эйконала внесенного решеткой 2.
Найдем распределение эйконала, внесенного начальным участком решетки 2, L20(x, y). Единичная нормаль к одному из выходных фронтов имеет вид
где δ — угол выхода луча (см. рис. 2). Эйконал соответствующего луча имеет вид
где h — расстояние от начала системы координат до фронта, L10(A), L20(D) — эйконалы в точках А, D соответственно.
Предположим, что луч из фокуса F1 попадает в точку M (yM ≠ 0), которая находится на границе начального участка решетки 1. После отражения в точке М луч проходит через точку N, лежащую на границе начального участка решетки 2. Лучевой вектор отраженного от решетки 1 луча имеет вид
где
F1M — расстояние от точки F1 до точки M,
Координаты точки N определяются формулой
где – единичная нормаль к плоскости XY, а эйконал луча имеет вид
где L20(N) — внесенный эйконал в точке N, а единичная нормаль определена в формуле (21).
После отражения в точке N луч выходит из нее параллельно
где – единичный выходной вектор луча в точке N,
MN — расстояние от точки M до точки N,
Учитывая условие параллельности всех лучей, выходяших из системы, получаем уравнение
где nxF, nxNF — проекции векторов , на ось x, а nzF, nzNF — проекции векторов на ось z.
Решая с использованием численной процедуры уравнение (27), находим зависимость xM(yM), которая определяет границу начального участка решетки 1. Зная координаты точки M на этой границе и используя формулы (24), определяем вектор и соответствующую границу xN(yN) начального участка решетки 2. Из условия равенства эйконалов находим величину
которая определяет начальный участок решетки 2.
Множества точек M, N образуют границы начальных участков решеток 1 и 2 соответственно.
Для синтеза нового участка решетки 2 предположим, что луч из фокуса F1 падает на решетку 1 в точке S. После отражения луч выходит из решетки в точке Т (см. рис. 2). Эти координаты можно найти по формулам (21)–(28) соответствующей заменой обозначений. Множество точек Т образует новый участок решетки 2.
Для синтеза нового участка решетки 1 рассмотрим падение плоского фронта, нормаль к которому параллельна плоскости XZ на начальный участок решетки 2. Пусть луч падает на эту решетку в точке Q под углом δ к плоскости XY (см. рис. 2). Его лучевой вектор имеет вид
Этот луч отражается решеткой 2, отражается в точке Р решетки 1 и проходит через фокус F2. Лучевой вектор луча PQ имеет вид
где nxPQ, nyPQ, nzPQ — проекции вектора .
Координаты точки P определяются формулами
Эйконал соответствующего луча имеет вид
где dQ — расстояние от точки Q до фронта плоской волны, L2(Q), L1(P) — эйконалы в точках Q, P соответственно.
Приравнивая (22) и (32), получаем уравнение
Производные функции в точке Р определяются формулами
Множество точек P образует новый участок решетки 1.
Для определения следующих участков решеток применим такой же алгоритм, используя синтезированные участки в качестве начальных.
3. Анализ аберраций и оптимизация параметров трехмерной бифокальной системы двух отражательных решеток
Для проведения процедуры синтеза, анализа аберраций и оптимизации системы необходимо определить набор исходных параметров: расстояние между решетками d, полуразмер начального отрезка решетки 1 x0, расстояние f от конца начального отрезка решетки 1 до фокуса F1, расстояние f0 от решетки 1 до фокуса F0. Далее используем описанный выше алгоритм для определения начальных участков решетки, затем повторим этот алгоритм m раз, чтобы получить новые участки решеток. В результате находим распределения внесенного эйконала на 2m+1 участке решеток.
Для анализа качества синтеза и оптимизации параметров бифокальной системы найдем среднеквадратическую аберрацию (СКА) эйконала на выходе, а также фокальную кривую, которая обеспечивает минимальное значение СКА. Формула для определения нормированной величины СКА (σ) имеет вид
где Li — эйконал i-го луча; n — количество учтенных лучей, D — размер эллиптической апертуры решетки 2 вдоль большой оси; L0 — эйконал опорного луча (относительно которого СКА имеет минимальное значение).
Для вычисления СКА бифокальной системы необходимо вычислить эйконалы n лучей, а для этого требуется знать направление фронта и значение эйконала L0 опорного луча.
В случае смещения источника из фокуса углы выхода лучей и положения ортогональных им фронтов будут различными. Рассчитаем траектории n лучей с разными углами выхода и из них выберем в качестве опорных несколько лучей, выходящих вблизи центра решетки 2. Затем, используя формулу (36), рассчитаем СКА относительно каждого опорного луча с соответствующим (ортогональным) фронтом и из полученных значений СКА выберем минимальное. Уточнить значение СКА можно, если ввести новые опорные лучи (вблизи найденного) и снова найти минимальное значение СКА.
Для определения фокальной кривой бифокальной системы, необходимо найти геометрическое место положений источника, которое обеспечивает минимальное значение СКА. Декартовые и полярные координаты источника связаны следующими формулами:
где ρ — радиальная, а ψ — угловая координата (рис. 3).
Задача состоит в нахождении оптимальной функции ρ(ψ). Для этого, используя в качестве начальных точек фокусы системы и стандартную численную процедуру поиска минимума, находим ρ для нескольких значений угла ψ. Затем, применяя сплайн-интерполяцию, получаем функцию ρ(ψ), которая определяет фокальную кривую.
Далее исследуем СКА бифокальной системы в зависимости от параметров f и p = d — f0 для двух значений параметра x0, которые при заданной величине d определяют угол зрения. Линии уровня СКА для d = 1 и x0 = 0.15 и x0 = 0.205, соответствующих значениям угла зрения 40° и 65°, в зависимости от параметров f и p показаны на рис. 4а, 4б. Из рисунков видно уменьшение величины СКА по мере приближения параметров системы к границам областей существования решения задачи синтеза.
На рис. 5 представлены графики зависимости от угла зрения СКА бифокальных систем, синтезированных и оптимизированных для угла зрения 40° и 65°.
Как видно на рисунке, минимальные значения СКА для первой системы в пределах угла зрения 40° составляют 3.2×10–4, а в пределах угла зрения 65° для второй системы — 6.5×10–4.
Рис. 3. Геометрия системы с фокальной кривой: 1 — решетка 1; 2 — решетка 2; 3 — фокальная кривая.
Рис. 4. Линии уровня величины 106 σ в зависимости от параметров p и f/p: (а) — угол зрения 40° (x0 = 0.15, d = 1), (б) — угол зрения 65° (x0 = 0.205, d = 1).
Рис. 5. Зависимость величины 104σ оптимальных бифокальных систем от угла зрения: x0 = 0.205, f/p = 0.9334, p = 0.9575 (кривая 1); x0 = 0.15, f/p = 1.0043, p = 0.9815 (кривая 2).
4. Анализ бифокальной антенны
Рассмотрим антенну на основе бифокальной системы, синтезированной и оптимизированной для угла зрения 40° (рис. 6). В качестве облучателя используем скалярный рупор с амплитудным распределением в апертуре
где J0 — бесселева функция с нулевым индексом, радиус в полярной системе координат, ρ0 — радиус апертуры рупора, δ0 = 2.4048 — первый корень производной функции Бесселя с нулевым индексом.
Рис. 6. Проекция трехмерной бифокальной системы на плоскость XY.
Рис. 7. Диаграммы направленности лучей бифокальной антенны в H-плоскости.
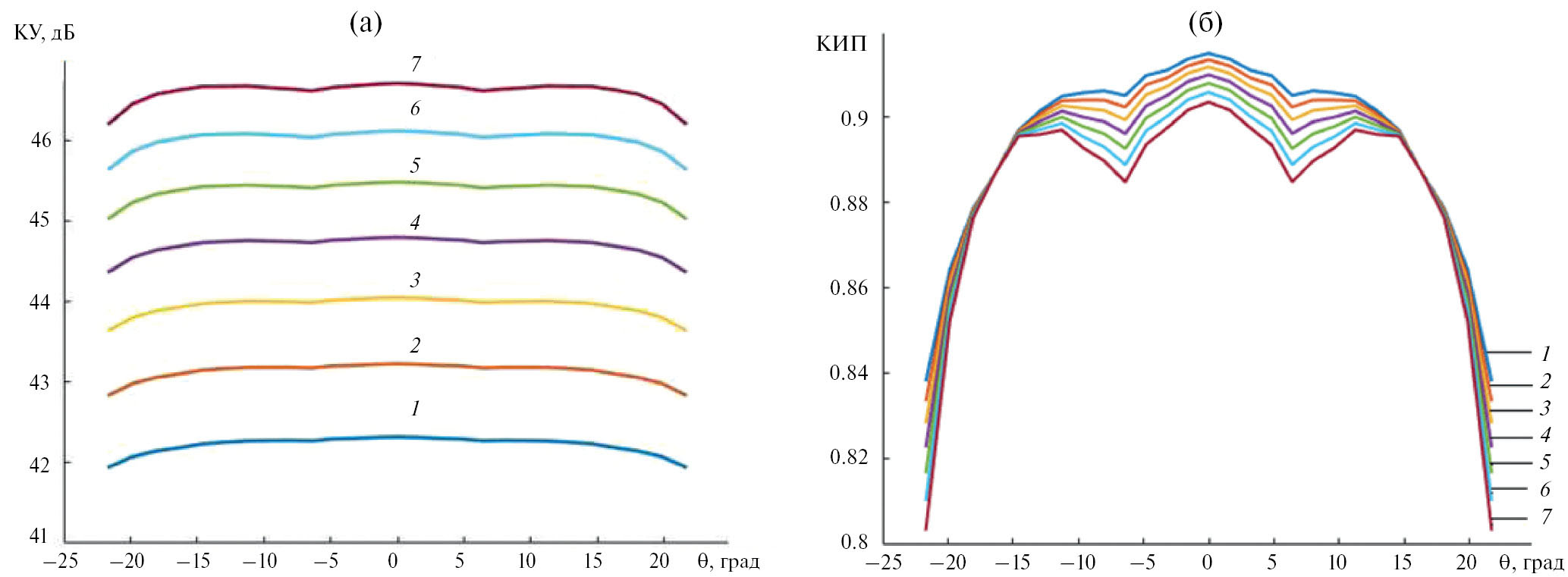
Рис. 8. Зависимости коэффициентов усиления (а) и апертурного КИПа (б) от угла зрения на частотах: 18 (1), 20 (2), 22 (3), 24 (4), 26 (5), 28 (6) и 30 ГГц (7).
Амплитуду электрического поля в дальней зоне найдем с использованием скалярного приближения Кирхгофа (физической оптики) [7]
где k — волновое число, а интегрирование проводится по поверхности S апертуры облучателя. Подставляя в интеграл (38) в качестве Еs амплитудное распределение (37), находим диаграмму направленности облучателя
где J0(x) — функция Бесселя. Закон сохранения энергии в приближении геометрической оптики имеет вид В результате для распределения амплитуды отраженного от решетки 2 поля получаем
где
а компоненты nx, ny, nz определены формулой (30).
Амплитудно-фазовое распределение отраженного от решетки 2 поля имеет вид
где L — эйконал луча от облучателя до выхода из системы в точке решетки 2 с координатами x, y. Подставляя это выражение в формулу (38) и интегрируя по всей поверхности решетки 2, находим диаграмму направленности бифокальной системы в приближении Кирхгофа. На рис. 7 приведены результаты расчета диаграммы направленности бифокальной антенны с облучателем диаметром 25 мм, габаритами решетки 2, равными 1×0.52 м, f1 = f2 = 0.9862 м, d = 1 м на частоте 24 ГГц при перемещении облучателя по фокальной кривой.
На рис. 8а и 8б показаны зависимости соответственно коэффициента усиления (КУ) и апертурного коэффициента использования поверхности (КИП) бифокальной антенны от угла зрения на семи частотах.
Как видно из рис. 8, в угловом секторе 40° уровень боковых лепестков диаграммы направленности лучей ниже — 15.8 дБ, а величина КИП выше уровня 0.84 в полосе частот от 18 до 30 ГГц.
Заключение
На основе полученных результатов можно сделать следующие выводы.
- Разработанная методика позволяет синтезировать и оптимизировать бифокальные системы двух отражательных решеток по минимуму СКА.
- Синтезированные и оптимизированные бифокальные системы двух отражательных решеток для углов зрения 40° и 65° имеют среднеквадратическую аберрацию менее 3.2×10–4и 6.5×10–4соответственно.
- Модель антенны в приближении Кирхгофа на основе синтезированной и оптимизированной бифокальных систем двух отражательных решеток в полосе частот от 18 до 30 ГГц обеспечивает КУ более 42 дБ и апертурный КИП больше 0.84 в угловом секторе 40°.
Финансирование работы
Работа выполнена за счет бюджетного финансирования в рамках государственного задания.
Об авторах
В. А. Калошин
Институт радиотехники и электроники им. В. А. Котельникова РАН
Автор, ответственный за переписку.
Email: vak@cplire.ru
Россия, ул. Моховая, 11, стр. 7, Москва, 125007
Чинь Ван Туан
Московский физико-технический институт (НИУ)
Email: vak@cplire.ru
Россия, Институтский пер., 9, Долгопрудный, Московской обл., 141700
Список литературы
- Leberer R., Menzel W. // IEEE Trans. 2005. AP-53. № 11. P. 3534.
- Tienda C., Encinar J.A., Carrasco E., Arrebola M. // J. Wireless Networking and Commun. 2012. V. AP-1. № 2. P. 9.
- Tienda C., Arrebola M., Encinar J. A. // Intern. J. Antennas and Propagation. 2012. V. 2012. № 125287. P. 10. doi.org/10.1155/2012/125287.
- Martinez-de-Rioja E., Encinar J.A., Florencio R., Tienda C. // IEEE Trans. 2019. V. AP-67.№ 1. P. 450.
- Martinez-de-Rioja E., Encinar J.A., Pino A., Gonzalez-Valdes B. // 13th Eur. Conf. on Antennas and Proragation (EuCAP). 2019. Poland. 31/3/2019-05/4/2019. https://ieeexplore.ieee.org/document/8740142.
- Martinez-de-Rioja E., Encinar J.A., Toso G. Electronics. 2020. V. AP-9. № 6. P. 961.
- Фрадин А.З. Антенны сверхвысоких частот. М.: Сов. радио, 1957.
Дополнительные файлы











