A combination of asymptotic and numerical methods in calculating the characteristics of a convex quasi-periodic phased antenna array with account the interaction of elements of an arbitrary type
- Authors: Indenbom M.V.1
-
Affiliations:
- All-Russian Research Institute of Radio Engineering
- Issue: Vol 69, No 1 (2024)
- Pages: 46-58
- Section: АНТЕННО-ФИДЕРНЫЕ СИСТЕМЫ
- URL: https://journals.rcsi.science/0033-8494/article/view/259725
- DOI: https://doi.org/10.31857/S0033849424010037
- EDN: https://elibrary.ru/LAIVFM
- ID: 259725
Cite item
Full Text
Abstract
Approximate asymptotic expressions are obtained for the partial radiating elements pattern and the active reflection coefficient of a large-sized quasi-periodic convex phased array antenna (PAA), using as a basis the results of a numerical solution for the electromagnetic field in a single PAA cell under periodic boundary conditions on the lateral surface of the cell. These expressions can be used to create mathematical software for modelling such phased arrays, taking into account the interaction of radiating elements, based on a combination of direct numerical methods, such as the finite element method, to analyse the field in a single cell of the phased array with the calculation of the characteristics of the phased array as a whole using analytical asymptotic expressions. Numerical results of applying the method are presented for calculating the characteristics of multi-element spherical phased array of slot radiating elements and conical phased array of slot and director radiating elements.
Full Text
ВВЕДЕНИЕ
Выпуклые фазированные антенные решетки (ФАР) могут применяться для широкоугольного (полусферического и более) электрического сканирования или совмещения поверхности ФАР с выпуклой поверхностью летательного аппарата (конформные ФАР) [1–3]. Излучающие элементы выпуклых ФАР близко расположены между собой, что приводит к существенному влиянию их электромагнитного взаимодействия на характеристики выпуклой ФАР. При больших по сравнению с длиной волны размерах поверхности ФАР для учета взаимодействия или, иначе, взаимной связи элементов квазипериодической антенной решетки, характеризующейся плавно меняющимися размерами единичной ячейки антенной решетки, был предложен асимптотический (коротковолновый) метод [4, 5], обобщающий используемую для анализа плоских ФАР теорию периодических структур. Метод развит в общем виде для излучателей, представимых в виде системы электрических и магнитных токов в ячейке ФАР, и конкретизирован для щелевых [6–8] и вибраторных (директорных) излучателей [5].
Цель данной работы показать, что асимптотический (относительно больших электрических размеров поверхности ФАР) метод может быть соединен с численным методом моделирования поля в единичной ячейке ФАР при периодических граничных условиях на ее боковой поверхности. В качестве численного метода может применяться, например, метод конечных элементов (МКЭ) [9] или метод конечных разностей во временной области (МКР) [10]. В работе получены также новые асимптотические выражения для расчета парциальной диаграммы элемента выпуклой ФАР по численным результатам моделирования поля в единичной ячейке ФАР.Такое сочетание численного и асимптотического методов позволяет анализировать выпуклые квазипериодические ФАР с излучающими элементами практически любого типа. Для цилиндрической (круговой) периодической ФАР сочетание прямого численного метода для расчета электромагнитного поля в ячейке при парциальном (модальном) возбуждении и аналитических выражений для расчета парциальной диаграммы элемента ранее предложено в [11].
1. ЭЛЕКТРОМАГНИТНОЕ ПОЛЕ ФАР ВБЛИЗИ ПОВЕРХНОСТИ
Выпуклая ФАР схематически представлена на рис. 1, S – проводящая поверхность ФАР, S' – параллельная ей поверхность n = n₀, охватывающая излучатели (n – расстояние вдоль нормали к поверхности S).
Вектор-столбец падающих волн в фидерах на входе элементов ФАР обозначим a = ||am₁m₂||, где m₁, m₂ – номера элемента.
В силу теоремы 1 для первой граничной задачи электродинамики [12] электрическое и магнитное поля во внешней области поверхности S' могут быть выражены через эквивалентный (сторонний) магнитный ток на этой поверхности
,
которая должна при этом считаться идеально проводящей. Для квазипериодической выпуклой ФАР в случае специального вида векторастолбца падающих волн a = e(γ, ν), названного парциальным возбуждением, электромагнитное поле магнитного тока при n = n₀ может быть представлено в виде суммы пространственных гармоник [5]:
(1а)
(1б)
(выражения для векторных функций , приведены в [5]),
(2)
где ς, h – поверхностные координаты, в которых излучатели расположены с постоянными шагами dς и dh соответственно: , ; парциальное возбуждение определяется выражением
(3)
Подставив поверхностный магнитный ток
в выражения для коэффициентов разложения [5], получим
(4)
где − проекции вектора
(5)
на координатные линии ξ
(6)
и ортогональные им координатные линии η.
Выражения (1)–(5) соответствуют асимптотическому приближению первого порядка [5, 7], при котором коэффициенты разложения поля по пространственным гармоникам (4), (5) при парциальном возбуждении (3) определяются только полем в данной ячейке решетки (рис. 2) независимо от полей в других ячейках при “периодических” граничных условиях на ее боковой поверхности
(7)
Для расчета электрического поля в ячейке с граничными условиями (7), граничным условием при n = 0 (на проводящей поверхности S) и условиями излучения или поглощения при n ≥ n₀может быть использован подходящий прямой численный метод электродинамики, например МКЭ [9]. Применение тетраэдральных конечных элементов позволяет более адекватно описать электромагнитное поле при непараллельных противолежащих и не ортогональных соседних боковых стенках ячейки и произвольной конфигурации конструктивных элементов излучателя. После того как поле в ячейке определено численным методом, можно по формулам (4), (5) рассчитать коэффициенты возбуждения пространственных гармоник , а также амплитуду обратной волны в фидере, определяющую действующий коэффициент отражения на входе элемента . Все эти величины зависят от местоположения излучателя на поверхности выпуклой антенной решетки и постоянных γ, ν, определяющих фазовые сдвиги между элементами. Характеристики ФАР при любом другом возбуждении определяются интегрированием произведения характеристики при парциальном возбуждении и пространственного спектра возбуждения (комплексных амплитуд падающих волн) по γ, ν [4, 5].
Рис. 1. Схематическое изображение выпуклой ФАР.
Отсюда логически следующий шаг для расчета диаграммы направленности (ДН) ФАР должен заключаться в асимптотическом вычислении ДН при парциальном возбуждении с использованием больших электрических размеров поверхности. Однако имеются две проблемы. Первая заключается в том, что для замкнутых поверхностей на поверхности S' имеется четыре точки стационарной фазы, при слиянии которых при увеличении (по модулю) параметров γ, ν образуется особая точка типа омбилики, что сильно усложняет равномерные асимптотики интегралов. Вторая трудность заключается в том, что при дальнейшем увеличении параметров γ, ν стационарная точка становится комплексной, что делает невозможным расчет поля в ячейке численным методом, так как единичная ячейка переходит с реальной поверхности ФАР в комплексное пространство. Обойти эти трудности проще, если увеличить кратность асимптотически вычисляемых интегралов, сразу перейдя к получению формул для парциальной диаграммы элемента ФАР. Диаграмма направленности ФАР в целом может быть затем получена как сумма парциальных диаграмм всех элементов с весовыми коэффициентами, равными амплитудам падающих волн на их входах.
Рис. 2. Единичная ячейка выпуклой ФАР.
2. ПАРЦИАЛЬНАЯ ДИАГРАММА ЭЛЕМЕНТА ФАР
Парциальная диаграмма элемента, т.е. ДН всей ФАР при возбуждении только одного элемента и согласованных нагрузках на входах всех остальных элементов, представляется в виде кратного интеграла по поверхности S' и γ, ν [5]. Главный вклад в этот интеграл может быть вычислен методом стационарной фазы с использованием проекций векторной диаграммы на орты, введенного в [5] поляризационного базиса , :
(8)
где стационарная точка на поверхности совпадает с центром элемента, стационарные значения переменных γ, ν
(9)
(10)
– единичный вектор направления наблюдения, – радиус-вектор точки на поверхности S', i = 1, 2, − площадь единичной ячейки излучателя с номерами m₁, m₂, Z₀ = 120π. Переход к проекциям на орты сферической системы координат производится вращением поляризационного базиса
(11)
где – вектор нормали в точке расположения (m₁, m₂)-го элемента,
(12)
– орты сферической системы координат для направления наблюдения. Выражения (8)−(10) непрерывны и гладки для всех углов наблюдения как в освещенной области , так и в теневой области данного элемента .
Выражение (8) представляет собой вклад в парциальную диаграмму элемента прямой пространственной волны, излучаемой этим элементом, и не учитывает вклада в парциальную диаграмму ползущих волн [13, 14], приводящих к осцилляциям на вершине и сглаживанию “провала”, связанного с дифракционными лепестками или вынужденными резонансами поверхностной волны. При расстоянии между элементами не более примерно λ/2 этот вклад невелик, особенно для излучателей, приподнятых над поверхностью проводящего экрана ФАР. Также не учитывается вклад волн соскальзывания в области тени, что, впрочем, не слишком сказывается на результатах расчета характеристик ФАР.
Асимптотическое выражение, учитывающее вклад ползущих волн в парциальную диаграмму элемента для случая осесимметричной выпуклой квазипериодической ФАР, получено в [8]. Обобщим его на случай произвольной выпуклой ФАР. Рассуждения, аналогичные приведенным в [8], дают исходное для дальнейшего вывода представление для парциальной диаграммы элемента
(13)
где
(14)
– вектор нормали в точке интегрирования, Lς = Nςdς, Nς − число элементов вдоль оси ς, которая предполагается ограниченной длины и замкнутой. Если число элементов вдоль ς не постоянно, то Nς = Nς(m₂), Lς = Lς(m₂). Далее: g = detǁgςhǁ − определитель метрического тензора поверхности (матрицы коэффициентов первой квадратичной формы поверхности) в координатах ς, h,
(15)
где , ‒ единичные векторы вдоль координатных линий ξ и η,
(16)
Раскрывая выражения для пространственных гармоник , [5], найдем
(17)
где
(18)
w₂(t), w₂'(t) − вторая функция Эйри и ее первая производная, t = tξ(ς, h, γ, ν):
(19)
g¹¹ − контравариантная компонента метрического тензора ǁgijǁ = ǁgijǁ⁻¹ в координатах ξ, η, соответствующая координате ξ:
(20)
gςς, gςh, ghh − контравариантные компоненты метрического тензора ǁgςhǁ = ǁgςhǁ⁻¹ в исходных координатах ς, h;
(21)
Здесь ρξ – радиус кривизны нормального сечения поверхности вдоль координатной линии ξ
(22)
где b¹¹ − контравариантная компонента тензора кривизны поверхности ǁbijǁ в координатах ξ, η, соответствующая координате ξ. Радиус кривизны (22) можно непосредственно выразить через контравариантные компоненты тензора ǁbςhǁ кривизны поверхности в исходных координатах ς, h
(23)
Контравариантные компоненты тензора кривизны известным образом связаны с ковариантными компонентами (коэффициентами второй квадратичной формы поверхности):
(24)
Входящая в (18) величина xξ(ς, h, γ, ν) [5] также может быть выражена через компоненты тензора кривизны и метрического тензора
(25)
где
(26)
− смешанные компоненты тензора кривизны.
Коэффициенты разложения поля (4) и касательные проекции единичного вектора, направленного в точку наблюдения, также выражаются через коэффициенты метрического тензора поверхности в системе поверхностных координат ς, h:
(27)
где Aς, Ah − проекции вектора (4) на касательные направления к координатным линиям ς, h, и введена матрица
.(28)
Формулы (20)–(28) позволяют выполнить расчет всех необходимых величин непосредственно через компоненты метрического тензора и тензора кривизны поверхности в исходной системе координат на поверхности ФАР ς, h, не прибегая к построению системы поверхностных координат ξ, η. Это существенно упрощает вычисления, поскольку устраняет необходимость решения дифференциального уравнения в частных производных первого порядка для η(ς, h), которое необходимо искать в противном случае при каждом значении параметров γ и ν, входящих в коэффициенты этого уравнения [4].Двойной интеграл в бесконечных пределах в (13) вычислим методом стационарной фазы [15]. Единственная точка стационарной фазы1
(29)
определитель матрицы вторых частных производных фазовой функции равен – k⁻² и в результате
(30)
Если число элементов вдоль координаты ς бесконечно (поверхность уходит на бесконечность), то вместо суммы в (30) предельным переходом Lς → ∞ получим интеграл по непрерывной переменной γ. Интегралы в (30) могут быть вычислены численным методом или асимптотически. Сложность применения равномерной асимптотики заключается в том, что при возникающих в этом случае комплексных значениях ς и ν невозможно определить численными методами. Чтобы обойти эту трудность, воспользуемся неравномерной асимптотикой относительно этих коэффициентов разложения. Точки стационарной фазы интегралов (30) определяются уравнением
(31)
Функция ς в правой части уравнения ограничена по модулю и непрерывна. Поэтому она имеет экстремум в некоторой точке . При
уравнение (31) имеет два вещественных корня . При
уравнение имеет два комплексных корня. При построении равномерной асимптотики интеграла с двумя точками стационарной фазы используются значения подынтегральной функции в этих точках. Положим , если точки (i = 1, 2) вещественные, и , если они комплексные, и будем вычислять в этих точках. Остальные функции будем вычислять в стационарных точках, что можно сделать, если поверхность и координаты излучателей заданы с помощью аналитических функций. Однако, получение равномерной асимптотики дополнительно усложняется тем, что кроме двух точек стационарной фазы имеются еще полюса подынтегральной функции (18) в нулях функции Эйри и ее производной, которые при определенных значениях параметров (углах точки наблюдения и больших значениях |γs|) могут приблизиться к точке слияния ς₀. Обозначим tk (k = 1, 2, ...) нули функции Эйри w(t) = 0 и ее производной w'(t) = 0, расположенные в общем порядке возрастания по модулю. Соответствующие им полюса определяются из уравнений
.
Равномерную асимптотику интегралов выразим через значения амплитудного множителя и фазовой функции в стационарных точках и полюсах , обобщив известное выражение [16] на случай нескольких полюсов:
(32)
где функция Эйри
(33)
− ее производная;
Im y < 0, (34)
– интеграл Эйри–Френеля [16] или обобщенная функция Эйри [17], другие представления которой приведены в Приложении;
(35)
где выбирается ветвь степенной функции, для которой при отрицательных значениях аргумента и – при мнимых значениях аргумента,
(36)
(37)
, (38)
(39)
где ветвь кубического корня выбирается из условия , а знак в (38) – из условия ,
(40)
(41)
(42)
Вклад вычетов существен, если значение γs, размеры ячейки решетки и направления наблюдения таковы, что имеются вещественные решения уравнения g¹¹ = 1, определяющие участки поверхности, на которых для направления излучения, совпадающего с направлением наблюдения, возникают дифракционные лепестки. Такие участки заведомо отсутствуют при расстоянии между элементами ФАР менее половины длины волны. Если таких точек на поверхности для данного значения параметров нет, можно положить = 0. В противном случае, учитывая, что
нетрудно получить, что вычеты связаны формулами (14), (17) с вычетами функций Lij, Nij (18), равными
(43)
(44)
где k' = 1, 2, ... Значение аргумента может быть приближенно заменено на значение корня уравнения g¹¹ = 1. Из-за быстрого экспоненциального убывания функций , , V(−ζ, Z) при −ζ >> 1 необходимое число членов ряда вычетов в (32) обычно невелико: не превышает нескольких единиц. В (41), (42) вычисление функций идет в точках стационарной фазы, в которых
, ,
поэтому формула (17) упрощается: . Это замечание справедливо и при расчете по формуле (8); при этом также применимы выражения (18).
Формула (32) уточняет аналогичное соотношение, полученное для осесимметричного случая [7], при совпадении одной из стационарных точек и полюса, а также расширяет его на случай произвольной квазипериодической выпуклой ФАР.
Недостаток полученных выражений для парциальной диаграммы элемента заключается в наличии скачка производной при переходе стационарных точек в комплексную область. Избежать негладкости решения позволяет метод интегрирования (30), заключающийся в представлении амплитудного сомножителя в виде отрезка ряда Фурье на периоде . Поскольку амплитуда является медленной функцией ς, число необходимых членов ряда будет невелико. Коэффициенты ряда Фурье имеют вид
(45)
При их вычислении можно аналогично [7] использовать дискретное преобразование Фурье. Оставшееся подынтегральное выражение не имеет особенностей, так что асимптотика диаграммы элемента ФАР принимает вид
(46)
где
(47)
Расчет по формуле (46) занимает несколько большее время, чем по (32), но дает лучшие результаты, так как выражения полностью аналитичны. Формула (13) и ее следствия учитывают полюса подынтегральной функции, обусловленные периодичностью антенной решетки по координате ς. Они справедливы до тех пор, пока не проявляется периодичность антенной решетки по другой координате. Для учета полюсов, обусловленных периодичностью антенной решетки по координате h, можно провести аналогичный вывод со взаимной заменой этих координат и заменой γ на ν. Выражение, учитывающее полюса обоих типов одновременно, приводится к двойной сумме в выражении типа (13) и двойному быстро осциллирующему интегралу по ς, h, имеющему четыре точки стационарной фазы с возможностью слияния (омбилика), что существенно усложняет расчетные выражения, в то время как двойное суммирование существенно увеличивает время счета. Для случая осесимметричной квазипериодической ФАР выражения для парциальной диаграммы переходят в полученные ранее (без учета возможности слияния точек стационарной фазы и полюсов) в [7]; для выпуклой цилиндрической ФАР с периодическим размещением элементов – в аналогичные выражения, полученные ранее в [13, 14].
3. АМПЛИТУДЫ ОТРАЖЕННЫХ ВОЛН НА ВХОДЕ ЭЛЕМЕНТОВ
При произвольном возбуждении ФАР комплексные амплитуды отраженных волн выражаются через действующий коэффициент отражения при парциальном возбуждении, полученный в результате численного решения в единичной ячейке с периодическими граничными условиями [4]
(48)
где
(49)
− пространственный спектр распределения комплексных амплитуд падающих волн на входе излучающих элементов .
Для остронаправленного излучения амплитудно-фазовое распределение падающих волн имеет вид
(50)
где − единичный вектор в направлении максимума ДН ФАР, не содержит быстро меняющейся фазы. В случае гладкой функции в приближении метода стационарной фазы [7]
(51)
Здесь определяются формулами (9), в которых, однако, – единичный вектор направления максимума ДН ФАР. Если амплитудное распределение имеет скачок до нуля на границе возбужденной области на поверхности ФАР, то в соответствии с (51) амплитуда отраженной волны также будет иметь такой скачок. На самом деле в этом случае на границе возбужденной области имеют место осцилляции амплитуды отраженной волны и плавный переход к нулевой амплитуде в невозбужденной области. Для учета этих явлений может быть использован метод асимптотического интегрирования с учетом близости стационарной точки к границе области, сводящий вычисление к интегралу вероятности в комплексной области [15, 16].Выражение (51) не учитывает вклада ползущих волн. Выражение, включающее этот вклад для осесимметричной квазипериодической ФАР, получено в [7], для цилиндрической ФАР произвольной формы с периодическим расположением элементов − в [13].
4. ЧИСЛЕННЫЕ РЕЗУЛЬТАТЫ
Формулы для расчета парциальной диаграммы были апробированы на сферической осесимметричной ФАР с треугольной сеткой размещения щелевых элементов по параллелям и меридианам. Параметры ФАР: радиус поверхности R = 3.951λ, число элементов в параллелях Nᵩ = 24, число параллелей Nr = 35, шаг которых ds = 0.327λ, длина щелей l = 0.5λ. Элементы, расположенные в соседних параллелях, смещены друг относительно друга на половину углового шага. Согласование решетки выполнено в синфазном режиме для элементов в кольце n = 12.
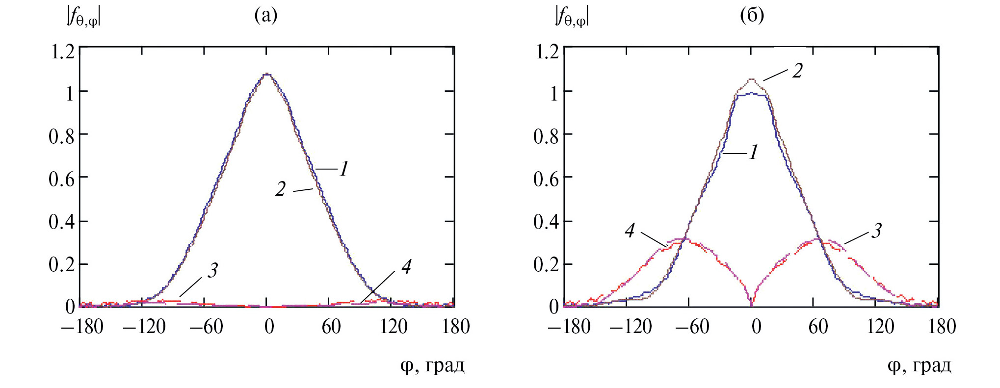
Рис. 3. Парциальная диаграмма аксиального щелевого элемента сферической ФАР, расположенного при ϑₙ = 72.3°, в сечениях θ = 44.3° (а) и θ = 50° (б) для φ-поляризации (1, 2) и θ-поляризации (3, 4): 1, 3 – по формуле (32); 2, 4 – по формуле (32) при ResM = 0.
На рис. 3а приведена парциальная диаграмма меридионального щелевого элемента, расположенного на параллели с углом ϑₙ = 72.3°, для угла наблюдения θ = 44.3°, соответствующего совпадению точки стационарной фазы с полюсом для гармоники с номером s ≈ kRsinϑₙ. Расчет выполнен по формуле (32) с учетом и без учета возможности совпадения точки стационарной фазы и полюса, т.е. при ResM = 0. Число учитываемых полюсов равно двум. Как видно, соотношения (32) позволяют устранить искажения, возникающие при совпадении точки стационарной фазы и полюса. При других, даже достаточно близких значениях параметров, например при изменении угла наблюдения θ, результаты расчета с учетом и без учета вычетов практически совпадают (рис. 3б).
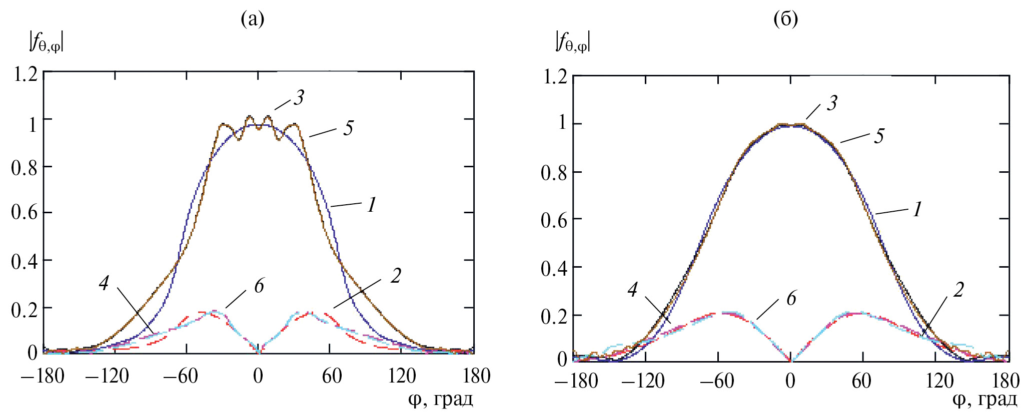
Рис. 4. Парциальная диаграмма аксиального щелевого элемента сферической антенной решетки, расположенного при ϑₙ = 72.3° (dᵩ = 0.986λ), для θ = 90° (а) и θ = 60° (б) для φ-поляризации (1, 3, 5) и θ-поляризации (2, 4, 6): 1, 2 – пространственная волна (8); 3, 4 –асимптотика интегралов (32); 5, 6 – асимптотика и ДПФ (46).
На рис. 4 приведены парциальные диаграммы элемента той же антенной решетки, рассчитанные тремя методами: вклад пространственной волны (8), асимптотическое интегрирование (32) и метод разложения амплитудного множителя в ряд Фурье (46) с использованием дискретного преобразования Фурье (ДПФ). Число членов ДПФ – 15. Для аксиальных щелевых элементов вклад ползущих волн проявляется наиболее сильно. Он приводит к осцилляциям на вершине парциальной диаграммы в азимутальной плоскости даже при шаге элементов меньше λ/2 (рис. 4а). При отходе от поперечной плоскости ползущие волны не проявляются и все три метода дают близкие значения парциальной диаграммы элемента (рис. 4б).
Сравнение асимптотического метода со строгим методом, основанным на разложении поля по собственным функциям с использованием осевой симметрии решетки для уменьшения порядка системы уравнений, определяющей амплитуды напряжений в щелях, [18] приведено в [7] для осесимметричной сферической ФАР. Для конической осесимметричной антенной решетки с треугольной сеткой результаты сравнения парциальной диаграммы полуволновых (одномодовых) азимутальных щелей, рассчитанной асимптотическим методом (с разложением амплитудного множителя в ряд Фурье) и строгим методом [18], приведены на рис. 5.
Рис. 5. Парциальная диаграмма азимутального щелевого элемента конической антенной решетки при θ = 90° (а) и θ = 60° (б) для φ-поляризации (1, 2) и θ-поляризации (3, 4): 1, 2 – строгий метод; 3, 4 –асимптотика и ДПФ (46).
Угол между осью конуса и прямолинейной направляющей α = 12°; число элементов в кольце Nᵩ = 20; электрический радиус наименьшего кольца излучателей kr₁sinα = 23.5; шаг щелей по образующей 2dr = 0.56λ. Число колец конечной антенной решетки (в методе собственных функций) Nr = 17. Антенная решетка согласована в синфазном режиме для элементов в кольце n = 9. Расчет парциальных диаграмм выполнен для щели, расположенной в кольце n = 9 (шаг элементов dᵩ = 1.174λ), для углов наблюдения θ = 90° и 60°.
В качестве более сложного примера рассмотрена коническая осесимметричная ФАР директорных элементов с треугольной сеткой, расстоянием между элементами по прямолинейной образующей 2dr = 0.6λ и числом элементов по направляющей окружности Nᵩ = 60. Угол между осью вращения и образующей конической поверхности α = 12°. Расчет коэффициентов возбуждения пространственных гармоник выполнен по соотношениям работы [5]. Аксиально ориентированные ленточные вибраторы директорных излучателей расположены на высоте над экраном h₁ = 0.232λ (активный вибратор), h₂ = 0.348λ, h₃ = 0.522λ; их длины l₁ = 0.513λ, l₂ = 0.358λ, l₃ = 0.271λ; ширины b₁ = 0.097λ, b₂,₃ = 0.029λ. Согласование ФАР выполнено для элементов, расположенных на направляющей, имеющей радиус aₙ = 11.5λ, для парциального возбуждения, синфазного по направляющей и формирующего максимум излучения под углом θ = 70°. Парциальная диаграмма элемента в плоскости θ = 90°, рассчитанная как вклад только пространственной волны и путем разложения в ряд Фурье при учете 25 членов ДПФ, приведена на рис. 6.
Рис. 6. Парциальная диаграмма аксиального директорного излучателя конической ФАР с треугольной сеткой (сечение θ = 90° ); aₙ = 11.5λ для φ-поляризации (1, 2) и θ-поляризации (3, 4): 1, 3 – пространственная волна (8); 2, 4 – асимптотика и ДПФ (46).
Рассматриваемый элемент решетки расположен на направляющей радиуса aₙ = 11.5λ с шагом элементов dᵩ = 1.2λ.
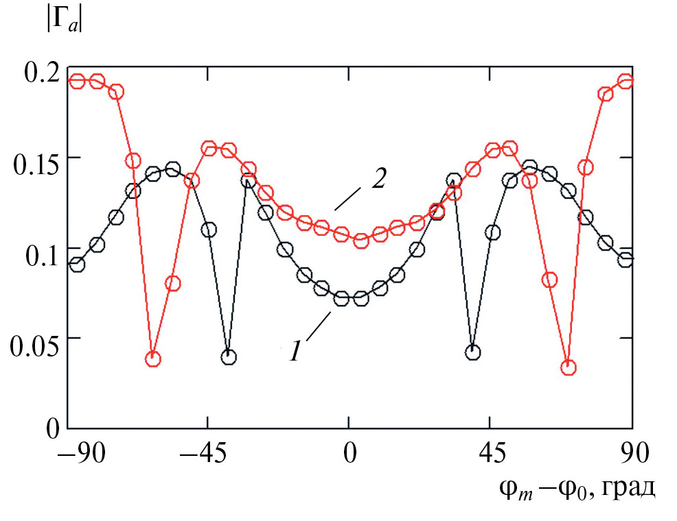
Рис. 7. Действующий коэффициент отражения конической ФАР аксиальных директорных излучателей при θ₀ = 90°: кривая 1 – aₙ = 11.5λ (dᵩ = 1.2λ); кривая 2 – aₙ = 9.2λ (dᵩ = λ).
На рис. 7 приведены зависимости действующего коэффициента отражения той же ФАР от азимутальной координаты излучающих элементов, расположенных на двух различных направляющих конической поверхности, при остронаправленном излучении под углом θ₀ = 90°. Расчет выполнен по формуле (52), полученной методом стационарной фазы.
ЗАКЛЮЧЕНИЕ
Получено асимптотическое выражение для электромагнитного поля в приповерхностном слое выпуклой квазипериодической фазированной антенной решетки большого размера в виде суммы ряда пространственных гармоник, коэффициенты которого находят на основе результатов численного решения уравнений электромагнитного поля при периодических граничных условиях на боковой поверхности единичной ячейки антенной решетки. Асимптотика парциальной диаграммы излучающего элемента выражена в явном виде через коэффициенты возбуждения нулевого члена ряда пространственных гармоник и коэффициенты первой и второй квадратичных форм поверхности антенной решетки в системе поверхностных координат сетки размещения излучателей. Полученные выражения могут быть использованы при создании математического обеспечения для моделирования квазипериодических выпуклых ФАР с учетом взаимодействия излучающих элементов произвольного типа на основе сочетания прямых численных методов, таких как метод конечных элементов для анализа поля в единичной ячейке ФАР, с асимптотическими формулами для определения характеристик ФАР в целом. Приведены численные результаты расчета характеристик многоэлементных сферической ФАР щелевых излучающих элементов и конической ФАР директорных излучающих элементов, подтверждающие возможность практического использования полученных соотношений. Представленные результаты согласуются с результатами строгого решения методом собственных функций.
ПРИЛОЖЕНИЕ
Обобщенная функция Эйри (33) может быть также записана в виде [16]
(П.1)
или
(П.2)
Подставляя сюда интегральное представление для функции Эйри (32), представим обобщенную функцию Эйри в виде двойного интеграла
(П.3)
Отсюда следует ее выражение через специальную функцию краевой волновой катастрофы типа C₃[19]:
Для вычисления обобщенной функции Эйри можно использовать численное интегрирование (П.1), (П.2), методы, развитые для расчета специальных функций волновых катастроф [19], и асимптотику при больших значениях аргументов [16, 17].
1 Нижний индекс ς, h у радиус-вектора здесь и далее означает частную производную по соответствующей координате.
About the authors
M. V. Indenbom
All-Russian Research Institute of Radio Engineering
Author for correspondence.
Email: mindenbom@mail.ru
Russian Federation, st. Bolshaya Pochtovaya, 22, Moscow, 105082
References
- Воскресенский Д.И., Пономарев Л.И., Филиппов В.С. Выпуклые сканирующие антенны. М.: Сов. радио, 1978.
- Josefsson L., Persson P. Conformal Array Antenna Theory and Design. Hoboken: John Wiley and Sons Inc., 2006.
- Caronti A., Celentano S., Immediata S. et al. // 2016 IEEE Int. Symp. on Phased Array Systems and Technology (PAST). Waltham.15-8 Oct. N.Y.: IEEE, 2016. Article No. 7832540.
- Инденбом М.В. Антенные решетки подвижных обзорных РЛС. Теория, расчет, конструкции. М.: Радиотехника, 2015.
- Инденбом М.В. // РЭ. Т. 67. № 6. 2022. С. 546.
- Инденбом М.В. // Антенны. 2017. Вып. 3. С. 3.
- Инденбом М.В. // Журн. радиоэлектроники. № 9. 2020. https://doi.org/10.30898/1684-1719.2020.9.2
- Инденбом М.В. // Антенны. 2018. Вып. 1. С. 9.
- Jin J. Finite Element Method in Electromagnetics. N.Y.: Willey, 2002.
- Kogon A.J., Sarris C.D. // IEEE Antennas & Propagation Magazine. 2022. № 3. P. 59.
- Fulton C.J., Maikamali A. // IEEE Antennas and Propagation Magazine. 2015. № 3. P. 132.
- Фельд Я.Н., Бененсон Л.С. Основы теории антенн. М.: Дрофа, 2007.
- Инденбом М.В., Филиппов В.С. // Изв. вузов. Радиоэлектроника. Т. 21. № 2. 1978. С. 22.
- Инденбом М.В., Филиппов В.С. // РЭ. 1978. Т. 23. № 8. С. 1616.
- Федорюк М.В. Асимптотика. Интегралы и ряды. М.: Наука, 1987.
- Анютин А.П., Боровиков В.А. Равномерные асимптотики интегралов от быстроосциллирующих функций с особенностями внеэкспоненциального множителя. Препринт АН СССР: Ин-т радиотехники и электроники. № 42 (414). 1984.
- Орлов Ю.И. // РЭ. Т. 21. № 1. 1976. С. 62.
- Инденбом М.В., Скуратов В.А. // Радиотехника. 2021. № 5. С. 117.
- Крюковский А.С., Лукин Д.С., Палкин Е.А., Растягаев Д.С. // РЭ. 2006. Т. 51. № 10. С. 1155.
Supplementary files









