Передача электромагнитных сигналов через горные породы
- Authors: 1, 2
-
Affiliations:
- Институт инженерной физики и радиоэлектроники Сибирского федерального университета
- Военно-инженерный институт Сибирского федерального университета
- Issue: Vol 68, No 11 (2023)
- Pages: 1045-1055
- Section: ELECTRODYNAMICS AND RADIO WAVE PROPAGATION
- URL: https://journals.rcsi.science/0033-8494/article/view/232601
- DOI: https://doi.org/10.31857/S0033849423070057
- EDN: https://elibrary.ru/WPEOXR
- ID: 232601
Cite item
Full Text
Abstract
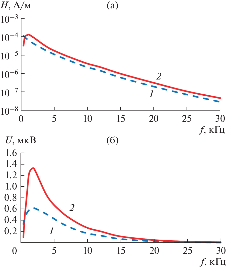
В качестве альтернативных беспроводных каналов повсеместного оповещения шахтеров рассмотрено использование электромагнитных волн инфранизких частот, 0.3…3 кГц и очень низких частот, 3…30 кГц. Исследована передача сигнала с помощью длинномерной заземленной антенны или петлевой магнитной антенны. Оценено влияние основных физических параметров горных пород на распространение и поглощение низкочастотного электромагнитного поля. Дан сравнительный анализ эффективности излучения с использованием магнитной рамки и длинномерной заземленной антенны в частотном диапазоне 0.5…30 кГц. Проведен анализ предельной глубины проникновения магнитного поля антенн через горные породы и зоны покрытия до глубины 1000 м. Приведены результаты экспериментов на руднике при передаче полезного сигнала с частотной и амплитудной манипуляцией.
About the authors
Институт инженерной физики и радиоэлектроники Сибирского федерального университета
Author for correspondence.
Email: kokhonkova@yandex.ru
Российская Федерация, 660074, Красноярск, ул. Академика Киренского, 28
Военно-инженерный институт Сибирского федерального университета
Email: kokhonkova@yandex.ru
Российская Федерация, 660036, Красноярск, ул. Академгородок, 13а
References
- Kamruzzaman S.M., Fernando X., Jaseemuddin M., Farjow W. // Smart Technologies for Emergency Response and Disaster Management. 2017. № 1. P. 42. https://doi.org/10.4018/978-1-5225-2575-2.ch002
- Farjow W., Raahemifar K., Fernando X. // Appl. Mathem. Modelling. 2015. V. 19. № 39. P. 5997. https://doi.org/10.1016/j.apm.2015.01.043
- Lin S.-C., Alshehri A.A., Wang P., Akyildiz I.F. // IEEE Internet of Things J. 2017. V. 4. № 5. P. 1454. https://doi.org/10.1109/JIOT.2017.2729887
- Akyildiz I.F., Wang P., Sun Z. // IEEE Commun. Magazine. 2015. V. 53. № 11. P. 42. https://doi.org/10.1109/MCOM.2015.7321970
- Ralchenko M., Roper M., Svilans M., Samson C. // IEEE Trans. 2017. V. AP-65. № 6. P. 3146. https://doi.org/10.1109/TAP.2017.2694758
- Ralchenko M., Roper M., Samson C., Svilans M. // Technical Program and Expanded Abstr. Soc. Exploration Geophysicists (SEG) Int. Exposition and 86th Annual Meet. Dallas. 18–21 Oct. 2016. Houston: SEG, 2016. P. 2154. https://doi.org/10.1190/segam2016-13688479.1
- Пархоменко Э.И. Электрические свойства горных пород. М.: Наука, 1965.
- Иголкин В.И., Шайдуров Г.Я., Тронин О.А., Хохлов М.Ф. Методы и аппаратура электроразведки на переменном токе. Красноярск: СФУ, 2016.
- Жданов М.С. Геофизическая электромагнитная теория и методы. М.: Научный мир, 2012.
- Григорьев А.Д. Методы вычислительной электродинамики. М.: Физматлит, 2012.
- Matinfara M., Zareamoghaddamb H., Eslamia M., Saeidy M. // Computers and Mathematics with Applications. 2012. № 63. № 1. P. 1. https://doi.org/10.1016/j.camwa.2011.09.022
- Бессонов Л.А. Теоретические основы электротехники. Электромагнитное поле. М.: Гардарики, 2003.
- Хомич В.И. Приемные ферритовые антенны. М.-Л.: Энергоиздат, 1963.
- Юдовская М.А. Минералого-геохимические особенности и условия формирования руд Малеевского месторождения на Рудном Алтае. Дис. канд. геолого-минералог. наук. М.: МГУ, 1995. 220 с.
Supplementary files











