Frequency-Separating Devices for Secondary Surveillance Radar Systems
- Authors: Suchkov A.V.1
-
Affiliations:
- Research and Production Corporation Almaz
- Issue: Vol 68, No 8 (2023)
- Pages: 790-797
- Section: К 100-ЛЕТИЮ Б.В. СЕСТРОРЕЦКОГО
- URL: https://journals.rcsi.science/0033-8494/article/view/138351
- DOI: https://doi.org/10.31857/S0033849423080120
- EDN: https://elibrary.ru/ZKBIAL
- ID: 138351
Cite item
Full Text
Abstract
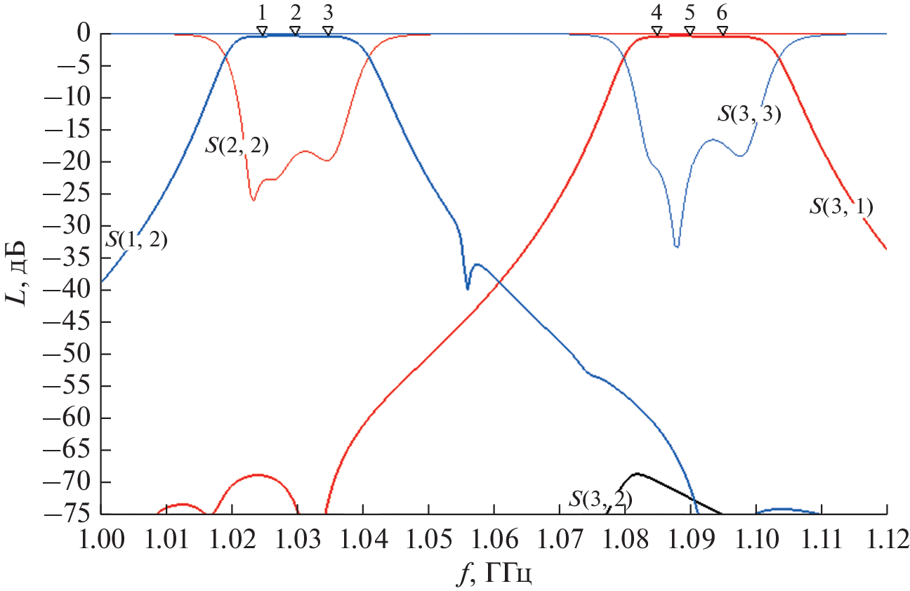
A frequency-separating device (FSD) with low insertion losses has been developed that provides electrical strength at high input power and combines the functions of several typical elements of the feeder path of a secondary surveillance radar (SSR): a receive/transmit switch, a harmonic filter, and a receiving band-pass filter. The issues of synthesis, analysis, and optimization of filters for the receiving and transmitting channels of the FSD are considered. Two options for the implementation of an FSD with insertion loss in the channel bandwidths within 0.7 dB, a harmonic suppression level of more than 40 dB, channel isolation, and attenuation at a deviation of ±60 MHz from the center frequencies of the passbands of at least 50 dB are proposed, the devices operate at frequencies of the FSD and of the seventh range of SSR systems with input pulse power up to 12 kW. The main dimensions of the FSD design, the results of numerical simulation, and the data of experimental verification of the characteristics are given. A comparative analysis of theoretical and experimental results is given.
About the authors
A. V. Suchkov
Research and Production Corporation Almaz
Author for correspondence.
Email: avsu@bk.ru
Moscow, 127411 Russia
References
- Belostotskay K.K., Klimov C.N., Sestroretskiy B.V. et al. // Proc. 5th Int. Conf. Antenna Theory and Techniques. Kyiv. 24–27 May 2005. N.Y.: IEEE, 2005. P. 457.
- Pelliccia L., Cacciamani F., Cazzorla A. et al. // Proc. 49th Europ. Microwave Conf. (EuMC). Paris. Oct. 1–3. 2019. N.Y.: IEEE, 2019. P. 61.
- Vallerotonda P., Cacciamani F., Pelliccia L. et al. //Proc. IEEE MTT-S Int. Microwave Filter Workshop (IMFW). Perugia. 17–19 Nov. 2021. N.Y.: IEEE, 2021. P. 11.
- Shamsaifar K., Rodriguez T., Haas J. // IEEE Trans. 2013. V. MTT-61. № 5. P. 1850.
- Blair W.D., Harbor L., Bentivenga S. Duplexing Filter. US Pat. № 5151670. Publ. 29 Sep. 1992.
- Snyder R.V., Macchiarella G., Bastioli S., Tomassoni C. // IEEE J. Microwaves. 2021. V. 1. № 1. P. 317.
- Рученков В.А., Сестрорецкий Б.В., Белостоцкая К.К., Бакитько Р.В. Режекторный волноводный многозвенный СВЧ-фильтр. Пат. РФ № 2399997. Опубл. офиц. бюл. “Изобретения. Полезные модели” № 26 от 20.09.2010.
- Ермак С.Н., Касанин С.Н., Хожевец О.А. Устройство и эксплуатация наземных средств системы государственного опознавания. Минск: БГУИР, 2017.
- Леонченко В.П., Фельдштейн А.Л., Шепелянский Л.А. Расчет полосковых фильтров на встречных стержнях. Справочник. М.: Связь, 1975.
- Гринев А.Ю. Численные методы решения прикладных задач электродинамики. М.: Радиотехника, 2012.
- Кухаркин Е.С., Сестрорецкий Б.В. Электрическая прочность волноводных устройств. М.: Высш. школа, 1963.
- Сучков А.В. Частотно-разделительное устройство. Пат. РФ № 2 775 338. Опубл. офиц. бюл. “Изобретения. Полезные модели” № 19 от 29.06.2022.
Supplementary files











