Recurrent Estimation of Phases Probability Density Function of Modulated Signals
- Authors: Maslakov M.L.1,2, Egorov V.V.1,2
-
Affiliations:
- Russian Institute of Powerful Radio Engineering
- St. Petersburg State University of Aerospace Instrumentation
- Issue: Vol 68, No 5 (2023)
- Pages: 432-437
- Section: THEORY AND METHODS OF SIGNAL PROCESSING
- URL: https://journals.rcsi.science/0033-8494/article/view/138239
- DOI: https://doi.org/10.31857/S0033849423050121
- EDN: https://elibrary.ru/UHWMHT
- ID: 138239
Cite item
Full Text
Abstract
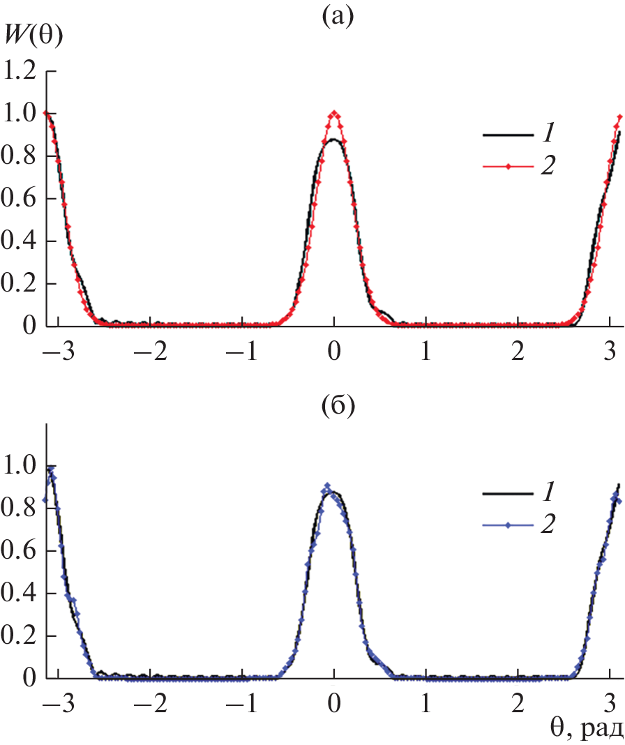
The problem of constructing an empirical probability density distribution of the phases of a signal with phase shift keying modulation, as well as nonparametric estimation methods, is considered. The transition from the approximation method using basis functions to the method of windowed kernel functions based on harmonic functions is shown. The results of numerical experiments are presented.
About the authors
M. L. Maslakov
Russian Institute of Powerful Radio Engineering; St. Petersburg State University of Aerospace Instrumentation
Email: maslakovml@gmail.com
St. Petersburg, 199178 Russia; St. Petersburg, 190000 Russia
V. V. Egorov
Russian Institute of Powerful Radio Engineering; St. Petersburg State University of Aerospace Instrumentation
Author for correspondence.
Email: maslakovml@gmail.com
St. Petersburg, 199178 Russia; St. Petersburg, 190000 Russia
References
- Mardia K.V., Jupp P.E. Directional Statistics. Chichester: John Wiley & Sons, Inc, 2000.
- Jammalamadaka S.R., SenGupta A. Topics in Circular Statistics. Singapore: World Sci. Publ. Co., 2001.
- Егоров В.В, Смаль М.С. // Телекоммуникации. 2012. № 8. С. 2.
- Яковлева Т.В. // Компьютерные исследования и моделирование. 2018. Т. 10. № 5. С. 511.
- Егоров В.В., Смаль М.С. // Телекоммуникации. 2013. № 5. С. 29.
- Мартынов Ю.В. Оценка качества передачи дискретной информации по статистическим характеристикам каналов связи. Автореф. канд. дис. … техн. наук. Л.: ЛЭИС им. М.А. Бонч-Бруевича, 1971. 15 с.
- Смаль М.С. Бестестовые способы оценивания состояния коротковолнового радиоканала в адаптивных радиолиниях. Автореф. канд. дис. … техн. наук. СПб.: ГУАП, 2018. 19 с.
- Зяблов В.В., Коробков Д.Л., Портной С.Л. Высокоскоростная передача сообщений в реальных каналах. М.: Радио и связь, 1991.
- Тихонов В.И. Статистическая радиотехника. М.: Сов. радио, 1966.
- Сирота А.А. Методы и алгоритмы анализа данных и их моделирование в MATLAB. СПб.: БХВ-Петербург, 2016.
- Жук В.В., Нантон Г.И. Тригонометрические ряды Фурье и элементы теории аппроксимации. Л.: Изд-во ЛГУ, 1983.
- Жук В.В. Аппроксимация периодических функций. Л.: Изд-во ЛГУ, 1982.
- Толстов Г.П. Ряды Фурье. М.: Наука, 1980.
- Губарев В.В. Алгоритмы статистических измерений. М.: Энергоатомиздат, 1985.
- Parzen E. // Ann. Mathematical Statistic. 1962. V. 33(3). P. 1065.
- Иглин С.П. Теория вероятностей и математическая статистика на базе MATLAB. Харьков: НТУ “ХПИ”, 2006.
- Silverman B.W. Density Estimation for Statistics and Data Analysis. L.: Chapman & Hall/CRC, 1986.
- Грешилов А.А. Математические методы принятия решений. М.: МГТУ им. Н.Э. Баумана, 2014.
- Федосов В.П. Прикладные математические методы в статистической радиотехнике. Таганрог: Изд-во ТРТУ, 1998.
- ARINC Characteristic 635-4. HF Data Link Protocol. Dec. 22, 2003. Annapolis: Aviation Radio Inc. (ARINC), 2003.
Supplementary files






