Строгий электродинамический анализ цилиндрической линзы, составленной из полых идеально проводящих цилиндров
- Авторы: Донец И.В.1, Лерер А.М.1, Цветковская С.М.2
-
Учреждения:
- Южный федеральный университет
- Донской государственный технический университет
- Выпуск: Том 68, № 5 (2023)
- Страницы: 409-416
- Раздел: ЭЛЕКТРОДИНАМИКА И РАСПРОСТРАНЕНИЕ РАДИОВОЛН
- URL: https://journals.rcsi.science/0033-8494/article/view/138236
- DOI: https://doi.org/10.31857/S0033849423050054
- EDN: https://elibrary.ru/UHNRAG
- ID: 138236
Цитировать
Полный текст
Аннотация
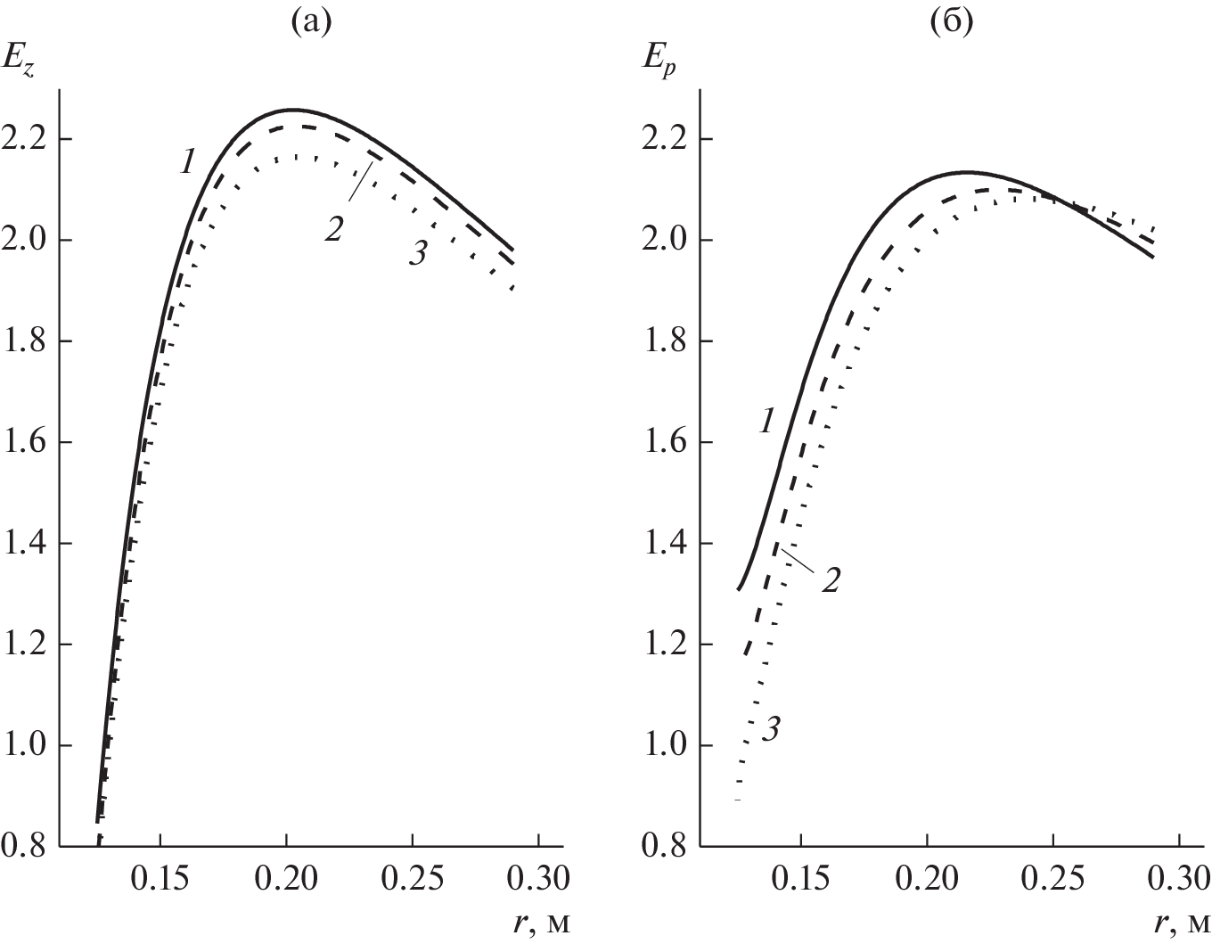
Разработан быстрый и строгий метод электродинамического анализа бесконечной цилиндрической линзы, выполненной из искусственного материала, представляющего собой массив одинаково ориентированных вдоль оси линзы полых проводящих цилиндров конечной длины с конечной толщиной стенок. Показано, что метод позволяет рассчитывать характеристики линз из большого числа элементов на персональном компьютере. Исследованы фокусирующие свойства линзы. Разработанный метод представляет собой альтернативу и средство проверки подхода, основанного на анализе линзы из гомогенизированного материала с показателем преломления бесконечного трехмерного фотонного кристалла.
Ключевые слова
Об авторах
И. В. Донец
Южный федеральный университет
Email: lerer@sfedu.ru
Российская Федерация, 344090, Ростов-на-Дону, ул. Зорге, 5
А. М. Лерер
Южный федеральный университет
Email: lerer@sfedu.ru
Российская Федерация, 344090, Ростов-на-Дону, ул. Зорге, 5
С. М. Цветковская
Донской государственный технический университет
Автор, ответственный за переписку.
Email: lerer@sfedu.ru
Российская Федерация, 344000, Ростов-на-Дону, пл. Гагарина, 1
Список литературы
- Банков С.Е. Электромагнитные кристаллы. М.: Физматлит, 2013.
- Lewin L. // J. Inst. Electric Engineering. Pt. III: Radio and Commun. Eng. 1947. V. 94. № 27. P. 65. https://doi.org/10.1049/ji-3-2.1947.0013
- Dankov P.I. // Proc. IEEE MTT-S Int. Microwave Workshop Series on Advanced Materials and Processes (IMWS-AMP 2017). Pavia. 20–22 Sept. N.Y.: IEEE, 2017. P. 8247430.
- Matitsine S. Artificial Dielectric Material and Method of Manufacturing the Same. US Pat. № 8518537 B2. Publ. 25 Jun. 2009.
- Matytsine L., Lagoiski P., Matytsine M., Matitsine S. // Proc. 6th Europ. Conf. on Antennas and Propagation. (EUCAP 2012). Prague. 26–30 Mar. N.Y.: IEEE, 2012. P. 2266.
- Sledkov V. Artificial Dielectric Material and Focusing Lenses Made of It. New Zealand (NZ) Pat. № 752904. Publ. 19 Mar. 2021.
- Donets I.V., Lerer A.M., Li Z.M. et al. // J. Electromagnetic Waves and Appl. 2022. V. 36. № 7. P. 1020.
- Donets I.V., Lerer A.M., Sledkov V.A. et al. // Proc. 2021 Radiation and Scattering of Electromagnetic Waves (RSEMW) Conf. Divnomorskoe. 28 Jun.–2 Jul. N.Y.: IEEE, 2021. P. 47.
Дополнительные файлы










