Experimental Investigation of a Relative Transmission Scheme on Chaotic Radio Pulses
- Authors: Dmitriev A.S.1, Mohseni T.I.1, Petrosyan M.M.1
-
Affiliations:
- Kotelnikov Institute of Radio Engineering and Electronics, Russian Academy of Sciences
- Issue: Vol 68, No 2 (2023)
- Pages: 165-170
- Section: ДИНАМИЧЕСКИЙ ХАОС В РАДИОФИЗИКЕ И ЭЛЕКТРОНИКЕ
- URL: https://journals.rcsi.science/0033-8494/article/view/138116
- DOI: https://doi.org/10.31857/S0033849423020055
- EDN: https://elibrary.ru/LCGMPX
- ID: 138116
Cite item
Full Text
Abstract
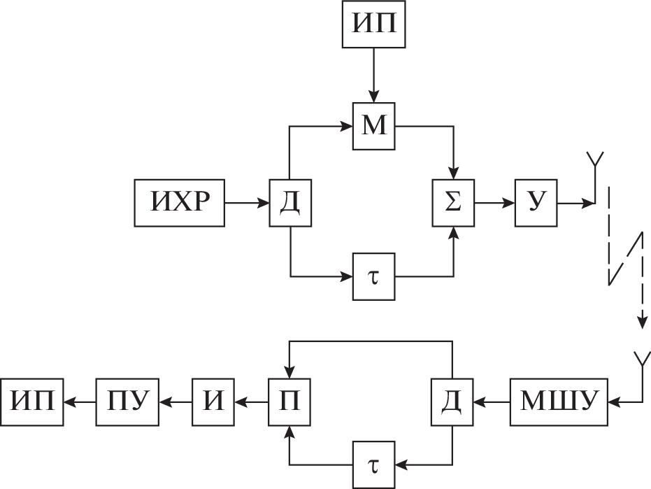
The practical feasibility of a wireless relative transmission scheme based on chaotic radio pulses is demonstrated. New components necessary for the implementation of this scheme have been developed. A prototype of a transmission system in the frequency range of 200–500 MHz was created on which experiments were carried out on the transmission of binary information. The measurement results correspond to the previously obtained theoretical and computational estimates on the main properties and characteristics of a new transmission scheme that uses dynamic chaos as an information carrier.
About the authors
A. S. Dmitriev
Kotelnikov Institute of Radio Engineering and Electronics, Russian Academy of Sciences
Email: chaos@cplire.ru
Moscow, 125009 Russia
T. I. Mohseni
Kotelnikov Institute of Radio Engineering and Electronics, Russian Academy of Sciences
Email: chaos@cplire.ru
Moscow, 125009 Russia
M. M. Petrosyan
Kotelnikov Institute of Radio Engineering and Electronics, Russian Academy of Sciences
Author for correspondence.
Email: chaos@cplire.ru
Moscow, 125009 Russia
References
- Петрович Н.Т., Размахнин М.К. Системы связи с шумоподобными сигналами. М.: Сов. радио, 1969.
- Варакин Л.Е. Системы связи с шумоподобными сигналами. М.: Радио и связь, 1985.
- Петрович Н.Т. Относительные методы передачи информации. М.: Книга-М., 2003.
- Kolumban G., Kennedy M. // IEEE Trans. 1997. V. CAS-44. № 10. P. 927.
- Kocarev L., Halle K.S., Eckert K. et al. // Int. J. Bifurcation and Chaos. 1992. V. 2. № 3. P. 709.
- Cuomo M.K., Oppenheim A.V., Strogatz S.H. // IEEE Trans. 1993. V. CAS-40. № 10. P. 626.
- Downes P.T. // SPIE. 1993. V. 2038. P. 227.
- Бельский Ю.Л., Дмитриев А.С. // РЭ. 1993. Т. 38. № 7. С. 1310.
- Dedieu H., Kennedy M., Hasler M. // IEEE Trans. 1993. V. CAS-40. № 10. P. 634.
- Partlitz U., Chua L., Kocarev L., Halle K. et al. // Int. J. Bifurcation and Chaos. 1992. V. 2. № 4. P. 973.
- Дмитриев А.С., Мохсени Т.И., Сьерра-Теран К.М. // РЭ. 2018. Т. 63. № 10. С. 1074.
- Дмитриев А.С., Мохсени Т.И., Сьерра-Теран К.М. // Прикладная нелинейная динамика. 2018. Т. 26. № 4. С. 59.
- Dmitriev A.S., Mokhseni T.I., Sierra-Teran K.M. // Nonlinear Phenomena in Complex Systems. 2018. V. 21. № 3. P. 237.
- Дмитриев А.С., Мохсени Т.И., Сьерра-Теран К.М. // Прикладная нелинейная динамика. 2019. Т. 27. № 5. С. 72.
- Дмитриев А.С., Ефремова Е.В., Ицков В.В. и др. // РЭ. 2022. Т. 67. № 8. С. 797.
- Dixon R.C. Spread Spectrum Systems wuth Commertial Applications. NY.: John Wiley & Sons Inc., 1994.
Supplementary files






