“Superlight” Propagation of Electromagnetic Pulses
- Authors: Strelkov G.M.1, Khudyshev Y.S.1
-
Affiliations:
- Kotelnikov Institute of Radioengineering and Electronics, Russian Academy of Sciences, Fryazino Branch
- Issue: Vol 68, No 1 (2023)
- Pages: 37-43
- Section: ELECTRODYNAMICS AND RADIO WAVE PROPAGATION
- URL: https://journals.rcsi.science/0033-8494/article/view/138035
- DOI: https://doi.org/10.31857/S0033849423010126
- EDN: https://elibrary.ru/CEQHXC
- ID: 138035
Cite item
Full Text
Abstract
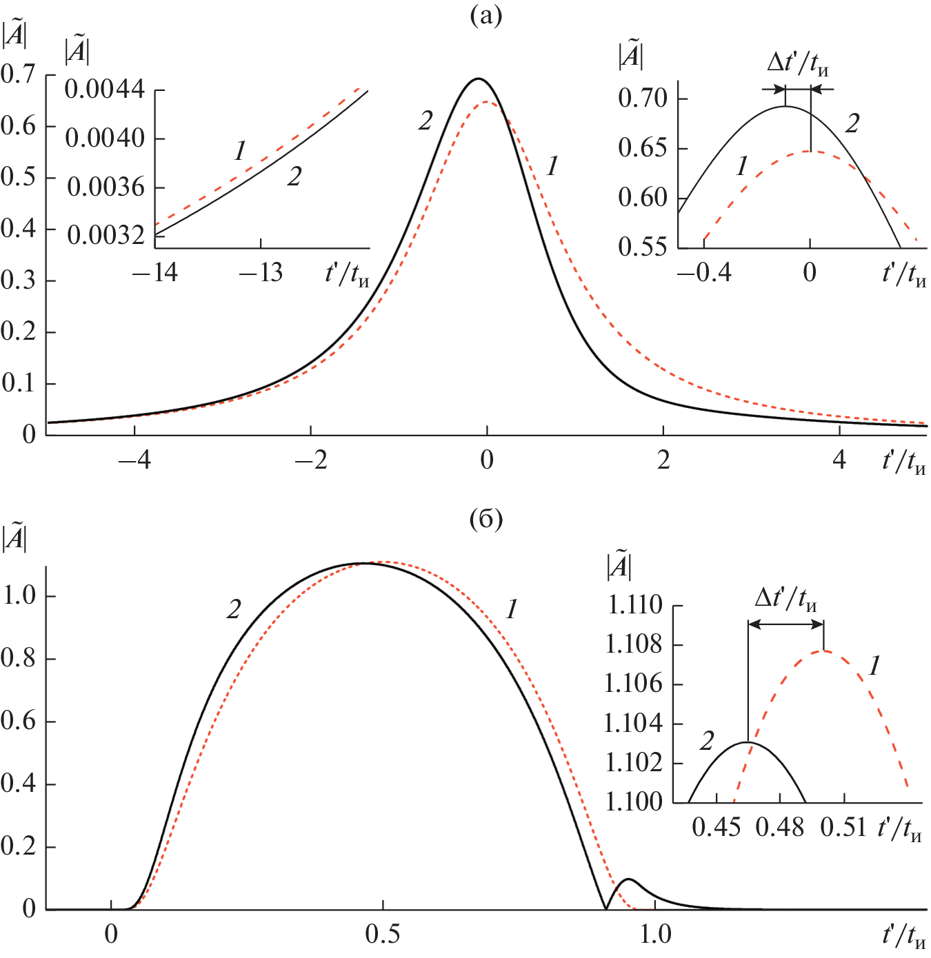
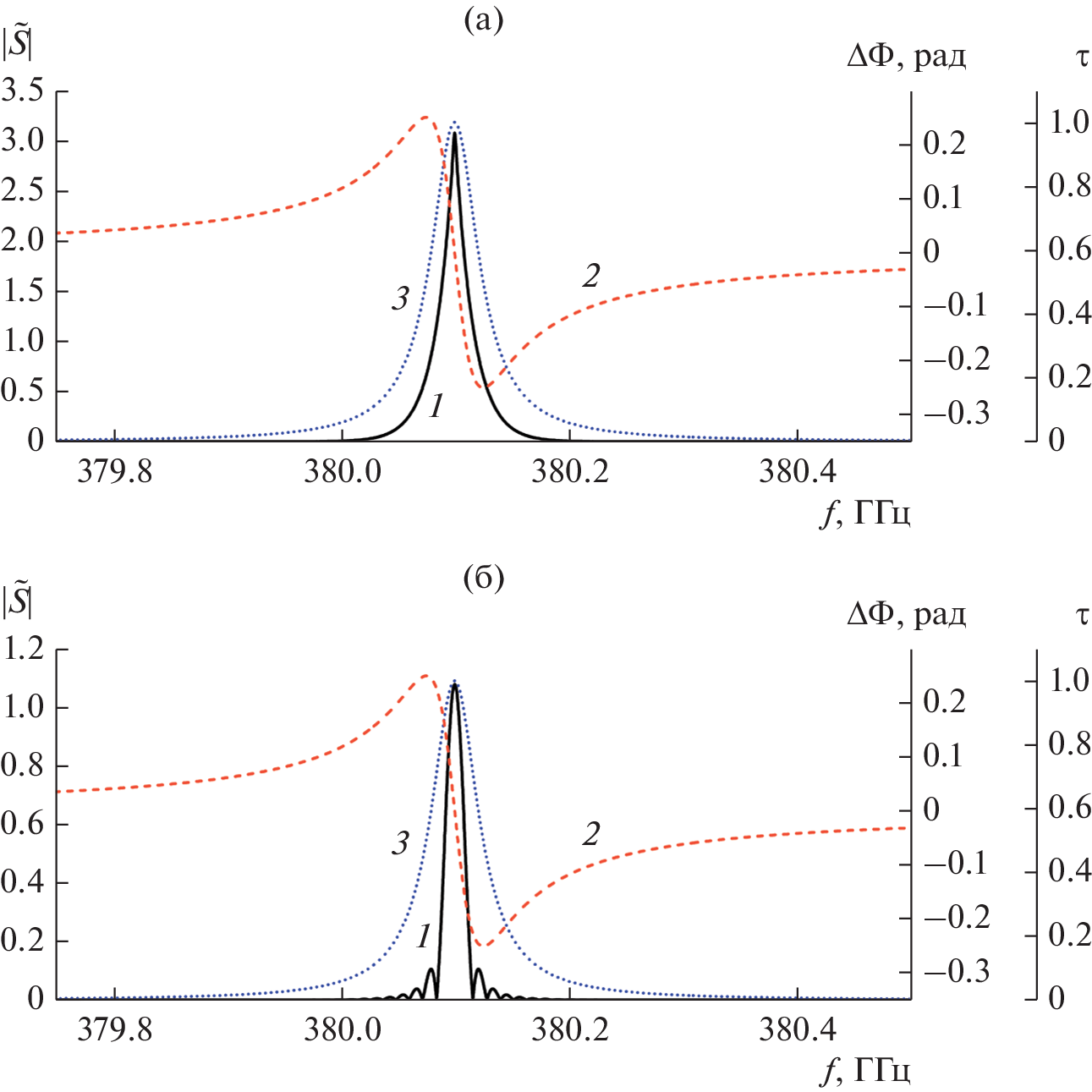
Based on the calculation of the Fourier integral directly and without simplifying assumptions, the analysis of the process of passage of terahertz pulses with a hat-shaped envelope and Van Bladel envelope through a layer of a resonant-absorbing medium described by the Drude–Lorentz model is carried out. It is
shown that until the end of the time interval prescribed by the Maxwell equations, there is no radiation at the exit from the layer, i.e., the Fourier integral does not contain the effect of “superluminal” propagation of an
electromagnetic pulse through a resonantly absorbing medium. An alternative interpretation of the shift to the beginning of the pulse of the envelope maximum emerging from the radiation layer at small optical depths
(~1) of the layer at the resonant frequency of the medium is proposed.
About the authors
G. M. Strelkov
Kotelnikov Institute of Radioengineering and Electronics, Russian Academy of Sciences, Fryazino Branch
Email: strelkov@ms.ire.rssi.ru
Fryazino, Moscow oblast, 141190 Russia
Yu. S. Khudyshev
Kotelnikov Institute of Radioengineering and Electronics, Russian Academy of Sciences, Fryazino Branch
Author for correspondence.
Email: strelkov@ms.ire.rssi.ru
Fryazino, Moscow oblast, 141190 Russia
References
- Peatross J., Glasgow S.A., Ware M. // Phys. Rev. Lett. 2000. V. 84. № 11. P. 2370.
- Agarwal G.S., Dey T.N., Menon S. // Phys. Rev. A. 2001. V. 64. № 5. P. 053809.
- Бухман Н.С. // ЖТФ. 2002. Т. 72. № 1. С. 136.
- Акульшин А.М., Чиммино А., Опат Дж.И. // Квантов. электроника. 2002. Т. 32. № 7. С. 567.
- Macke B., Segard B. // Eur. Phys. J. 2003. D23. P. 125.
- Stenner M.D., Gauthier D.J., Neifeld M.A. // Nature. 2003. V. 425. № 6959. P. 695.
- Tanaka H., Niwa H., Hayami K. et al. // Phys. Rev. A. 2003. V. 68. № 5. P. 053801.
- Talukder A.I., Tomita M. // Phys. Rev. A. 2005. V. 72. № 5. P. 051802.
- Guo W. // Phys. Rev. E. 2006. V. 73. № 1. P. 016605.
- Boyd R.W., Narum P. // J. Mod. Optics. 2007. V. 54. № 16–17. P. 2403.
- Bianucci P., Fietz C.R., Robertson J.W. et al. // Phys. Rev. A. 2008. V. 77. № 5. P. 053816.
- Shakhmuratov R.N., Odeurs J. // Phys. Rev. A. 2008. V. 77. № 3. P. 033854.
- Boyd R.W. // J. Mod. Optics. 2009. V. 56. № 18–19. P. 1908.
- Boyd R.W., Gauthier D.J. // Science. 2009. V. 326. P. 1074.
- Withayachumnankul W., Fischer B.M., Ferguson B. et al. // Proc. IEEE. 2010. V. 98. № 10. P. 1775.
- Akulshin A.M., McLean R.J. // J. Optics. 2010. V. 12. P. 104001.
- Бyxмaн H.C. // PЭ. 2021. T. 66. № 3. C. 209.
- Виноградова М.Б., Руденко О.В., Сухоруков А.П. Теория волн. М.: Наука, 1979. С. 90.
- Стрелков Г.М., Худышев Ю.С. // Докл. VII Всерос. микроволн. конф. Москва. 25–27 нояб. 2020. М.: ИРЭ им. В.А. Котельникова РАН, 2020. С. 315.
- Тюхтин А.В. // ЖТФ. 2005. Т. 75. Вып. 8. С. 121.
- Архипов Р.М., Архипов М.В., Толмачев Ю.А. // Оптика и спектроскопия. 2012. Т. 112. № 2. С. 268.
- Памятных Е., Туров Е.А. Основы электродинамики материальных сред в переменных и неоднородных полях. М.: Физматлит, 2000.
- Жевакин С.А., Наумов А.П. // Изв. вузов. Радиофизика. 1963. Т. 6. № 4. С. 674.
- Левич В.Г. Курс теоретической физики. М.: Наука, 1969. Т. 1. С. 111.
Supplementary files








