Введение дейтерия в дофахин
- Авторы: Шевченко В.П.1, Нагаев И.Ю.1, Шевченко К.В.1, Мясоедов Н.Ф.1
-
Учреждения:
- Национальный исследовательский центр “Курчатовский институт”
- Выпуск: Том 66, № 6 (2024)
- Страницы: 589-595
- Раздел: Статьи
- URL: https://journals.rcsi.science/0033-8311/article/view/292294
- DOI: https://doi.org/10.31857/S0033831124060101
- ID: 292294
Цитировать
Аннотация
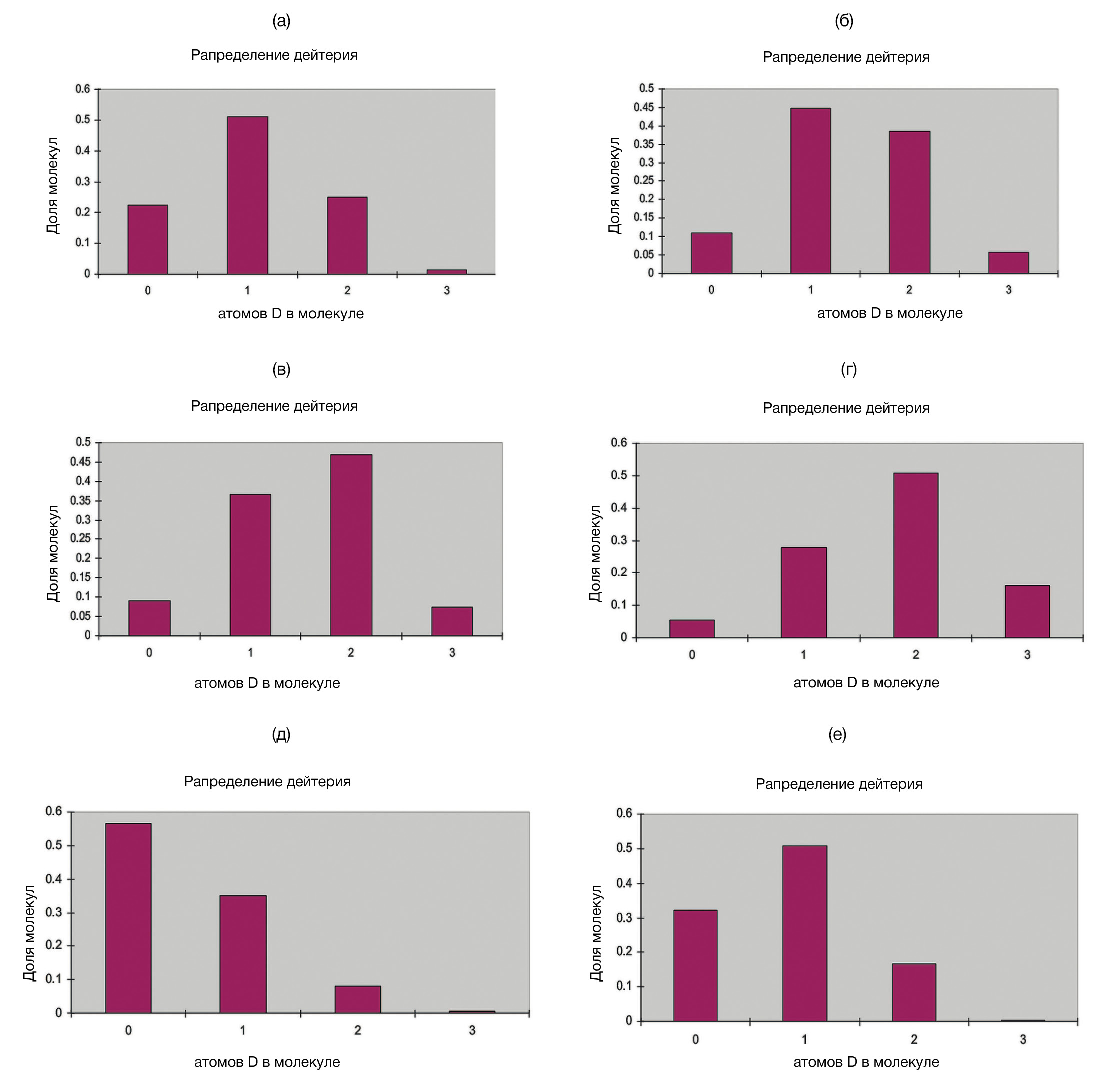
Изучена возможность введения дейтерия в дофахин – соединение, состоящее из хинонового и дофаминового фрагментов. Установлено, что изотопный обмен может быть осуществлен с дейтериевой водой в присутствии трифторуксусной кислоты (ТФУК) и HCl. Оптимальные условия – использование ТФУК при температуре 80°С. Для активации изотопного обмена в реакционную смесь в дополнение к кислотной компоненте добавляли катализаторы на основе иридия или палладия (5% Pd/Al2О3, 1,1,1,5,5,5-гексафторпентан-2,4-дионат циклоокта-1,5-диенилиридия(I)). Препаративный синтез [D]дофахина проводили при изотопном обмене с дейтериевой водой (D2O : ТФУК 5 : 1, 80°С, 3 ч). Получен [D]дофахин с выходом 20% и содержанием дейтерия в молекуле 1.2–1.4 атома. Содержание дейтерия в дофаминовом фрагменте находится в интервале 1.2–1.3 атома. Хиноновый фрагмент содержал примерно 4–7% изотопа.
Ключевые слова
Полный текст
Об авторах
В. П. Шевченко
Национальный исследовательский центр “Курчатовский институт”
Email: nagaev.img@yandex.ru
Россия, Москва
И. Ю. Нагаев
Национальный исследовательский центр “Курчатовский институт”
Автор, ответственный за переписку.
Email: nagaev.img@yandex.ru
Россия, Москва
К. В. Шевченко
Национальный исследовательский центр “Курчатовский институт”
Email: nagaev.img@yandex.ru
Россия, Москва
Н. Ф. Мясоедов
Национальный исследовательский центр “Курчатовский институт”
Email: nagaev.img@yandex.ru
Россия, Москва
Список литературы
- Гюнтер Х. Введение в курс спектроскопии ЯМР. М.: Мир, 1984. 478 с.
- Pajak M., Kanska M. // J. Label. Compd. Radiopharm. 2006. Vol. 49. N 12. P. 1061–1067. https://doi.org/10.1002/jlcr.1123
- Kozlowska M., Kanski R., Kanska M. // J. Label. Compd. Radiopharm. 2005. Vol. 48. N 3. P. 235–240. https://doi.org/10.1002/jlcr.919
- Gerdes G., Chen P. // Organometallics. 2004. Vol. 23. N 12. P. 3031–3036. https://doi.org/10.1021/om030685m
- Ziatdinov V.R., Oxgaard J., Mironov O.A., Young K.J.H., Goddard W.A., Periana R.A. // J. Am. Chem. Soc. 2006. Vol. 128. N 23. P. 7404–7405. https://doi.org/10.1021/ja060973k
- Lockley W.J.S. // J. Label. Compd. Radiopharm. 2010. Vol. 53. N 11–12. P. 668–673. https://doi.org/10.1002/jlcr.1806
- Kingston L.P., Lockley W.J.S., Mather A.N., Spink E., Thompson S.P., Wilkinson D.J. // Tetrahedron Lett. 2000. Vol. 41. N 15. P. 2705–2708. https://doi.org/10.1016/S0040-4039(00)00244-6
- Di Giuseppe A., Castarlenas R., Perez-Torrente J.J., Lahoz F.J., Polo V., Oro L.A. // Angew. Chem. Int. Ed. 2011. Vol. 50. N 17. P. 3938–3942. https://doi.org/10.1002/anie.201007238
- Di Giuseppe A., Castarlenas R., Perez-Torrente J.J., Lahoz F.J., Oro L.A. // Chem. Eur. J. 2014. Vol. 20. N 27. P. 8391–8403. https://doi.org/10.1002/chem.201402499
- Evchenko S.V., Kamounah F.S., Schaumburg K. // J. Label. Compd. Radiopharm. 2005. Vol. 48. N 3. P. 209–218. https://doi.org/10.1002/jlcr.916
- Куликова О.И., Стволинский С.Л., Федорова Т.Н., Адаева О.И., Демчук Д.В., Семенов В.В. Патент RU 2814111. Опубл. 22.02.2024 // Б.И. 2024. № 6.
- Shevchenko V.P., Nagaev I.Yu., Myasoedov N.F. // Radiochemistry. 2024. Vol. 66. N 3. P. 372–376. https://doi.org/10.1134/S1066362224030111
Дополнительные файлы








