Preparation of suspension of nanodiamonds with immobilized scandium isotopes for in vivo research
- Authors: Kazakov A.G.1, Pavlova D.V.1,2, Ushakov I.A.3, Nesterov E.A.3, Skuridin V.S.3, Odintsova E.A.4, Vinokurov S.E.1, Myasoedov B.F.1,5
-
Affiliations:
- Vernadsky Institute of Geochemistry and Analytical Chemistry, RAS
- Mendeleev University of Chemical Technology of Russia
- National Research Tomsk Polytechnic University
- Bentonit Company
- Interdepartmental Center for Analytical Research in Physics, Chemistry, and Biology, RAS
- Issue: Vol 66, No 6 (2024)
- Pages: 582-588
- Section: Articles
- URL: https://journals.rcsi.science/0033-8311/article/view/292292
- DOI: https://doi.org/10.31857/S0033831124060097
- ID: 292292
Cite item
Full Text
Abstract
The conditions for preparing a suspension of detonation synthesis nanodiamonds (NDs) with immobilized scandium in solutions that meet the requirements to solutions for intravenous administration of radiopharmaceuticals (RPs) based on 44Sc and 47Sc are determined. The possibility of quantitatively binding scandium by ND samples in isotonic solutions with the required pH, containing a minimum amount of NDs, is demonstrated. The parameters of the Freundlich and Langmuir adsorption isotherms and ΔG of adsorption under optimal conditions for the most promising ND sample are determined. The conditions found for obtaining NDs with immobilized scandium isotopes will allow further in vivo researches.
Full Text
ВВЕДЕНИЕ
В настоящее время в ядерной медицине все больше исследуются наноразмерные носители лекарственных препаратов или радионуклидов для терапии опухолей [1, 2], в том числе препараты, предназначенные для введения непосредственно в опухоль (интратуморально) [3]. Нами ранее показана принципиальная возможность сорбции радионуклидов медицинского назначения наноалмазами (НА) [4–6]. Так, проведенные исследования с изотопами скандия продемонстрировали возможность связывания достаточно больших количеств изотопов 44Sc (T1/2 = = 4.0 ч) и 47Sc (T1/2 = 3.3 сут) медицинского назначения, а также устойчивость полученных конъюгатов в модельных биологических средах [6]. Дальнейшее развитие исследований предполагает проведение экспериментов, направленных на оценку биораспределения НА с иммобилизованными 44Sc или 47Sc, определение устойчивости в организме in vivo и возможности терапии опухолей с применением НА с изотопом 47Sc. Для этого необходимо разработать метод получения НА с иммобилизованными изотопами скандия в растворах для введения в организм, к которым применяются требования к высокой радионуклидной чистоте, удельной активности и степени мечения, а также к отсутствию примесей и образования осадков в ходе всех операций до введения, стерильности, рН, изотоничности, размеру агрегатов НА [7]. В то время как многие из этих параметров определяются способом производства изотопов скандия и чистотой используемых материалов и реагентов, соответствие другим параметрам обеспечивается условиями иммобилизации изотопов скандия на образцах НА.
Цель настоящей работы состояла в нахождении условий получения раствора, содержащего изотопы скандия, иммобилизованные на НА, отвечающего требованиям к степени мечения, рН, изотоничности, что также включало определение параметров изотерм адсорбции скандия НА для достижения сорбции максимального количества скандия на минимальном количестве НА для минимизации токсической нагрузки на организм, создаваемой самими НА.
ЭКСПЕРИМЕНТАЛЬНАЯ ЧАСТЬ
Использованные образцы НА и исследование сорбции 46Sc этими образцами
Исследования проводили с изотопом 46Sc (T1/2 = = 83.8 сут), который получали при облучении нейтронами оксида природного скандия массой 4.3 мг (99.99%, ООО “Ланхит”, Москва, Россия) в реакторе ИРТ-Т Томского политехнического университета в открытой кварцевой ампуле. После распада всех образующихся при облучении короткоживущих изотопов в течении 5 сут содержимое ампулы растворяли в 1 мл 6 М HCl, кислоту затем выпаривали досуха, образовавшийся осадок растворяли в 0.04 M HCl и раствор фильтровали. Удельная активность Sc, содержащего 46Sc, на момент проведения экспериментов составляла около 2.7 МБк/мг.
В работе использовали коммерческие образцы НА марок UDA-TAN и DND-STP (СКТБ “Технолог”, Санкт-Петербург, Россия) и марки RUDDM (ООО «Реал-Дзержинск», Дзержинск, Россия); далее образцы обозначены как TAN, STP и RUDDM соответственно. Кроме того, нами проведено окисление TAN и STP в смеси концентрированных HNO3 и H2SO4 (образцы обозначены как ок-TAN и ок-STP) по известной методике. Все перечисленные образцы охарактеризованы в наших ранних работах [4–6], а также в работах других авторов [8–10]. Основным отличием образцов является различное количество функциональных групп на поверхности по данным ИК-спектрометрии, однако провести точное отнесение пиков к конкретным группам невозможно ввиду наложения многих пиков. Также поверхность окисленных образцов содержит меньшее количество примесей в сравнении с исходными образцами, и все образцы образуют агрегаты разного размера, что также ранее нами детально исследовано в работах [4–6].
Исследование кинетики сорбции 46Sc образцами НА проводили при 25°С из растворов HCl с рН от 2.0 до 5.0. Для экспериментов к навеске сухих НА добавляли бидистиллированную воду и перемешивали ультразвуковым диспергатором МЭФ93.Т (“Мэлфиз-ультразвук”, Москва, Россия) в течение 0.5 мин, сразу после чего полученную суспензию использовали для изучения сорбции скандия. Аликвоту суспензии добавляли к раствору заданной среды, после чего вносили аликвоту раствора, содержащего 46Sc. Объем раствора при сорбции составлял 1 мл, масса скандия в экспериментах – 440 нг (9.8 × 10–6 М), содержание НА – 100 мкг/мл. После контакта при постоянном перемешивании при 1400 об/мин (термошейкер TS-100, Biosan, Латвия) фазы разделяли центрифугированием при 12 400g (центрифуга Microspin 12, Biosan, Латвия), отбирали аликвоту надосадочной жидкости, регистрировали ее гамма-спектр с использованием спектрометра с детектором из высокочистого германия GC2018 (Canberra Ind., США).
Для получения данных для построения изотерм адсорбции проводили сорбцию в течение 24 ч, при этом содержание НА в опытах составляло от 30 до 600 мкг, а исходное содержание Sc – 5 мкг (1.1 × 10–4 М), что обеспечивалось предварительным добавлением к раствору, содержащему 46Sc, раствора стабильного скандия с известной концентрацией. Суспензию НА для этих экспериментов готовили в 0.9%-ном NaCl, остальные операции проводили, как описано выше.
Изотермы адсорбции и определение ΔG адсорбции
Для построения изотерм адсорбции определяли параметры Qe (мг/г) и Ce (мг/л), где Qe – отношение массы скандия, сорбированной на единице массы НА, а Ce – отношение массы скандия, оставшегося в растворе, к объему раствора при достижении сорбционного равновесия. После определения данных параметров из экспериментальных данных вычисляли параметры изотерм адсорбции Фрейндлиха и Ленгмюра, а также находили изменение свободной энергии Гиббса (ΔG) для процесса сорбции.
Изотерма Фрейндлиха описывается уравнением (1), где KF – константа Фрейндлиха, nF – параметр, характеризующий интенсивность адсорбции. Для нахождения данных параметров обе части уравнения логарифмировали (уравнение (2)), строили зависимость lnQe от lnCe, аппроксимировали прямой, находили из уравнения прямой значения lnKF и 1/nF:
(1)
. (2)
Изотерма Ленгмюра описывается уравнением (3), где KL – константа Ленгмюра (л/г), Qmax – максимальное значение адсорбции (мг/г). Для нахождения данных параметров уравнение представляли в виде уравнения (4), строили зависимость Ce/Qe от Ce, аппроксимировали прямой, находили из уравнения прямой 1/Qmax и 1/(KLQmax):
, (3)
. (4)
Для нахождения ΔG адсорбции (Дж/моль) использовали уравнение (5), где R – универсальная газовая постоянная (8.314 Дж/(моль × К)), Т – температура (К), K – константа равновесия процесса адсорбции:
. (5)
Поскольку по определению K = Qe/Ce при Qe → 0, строили зависимость ln(Qe/Ce) от Qe, аппроксимировали прямой, вычисляли Qe/Ce при Qe = 0 и ΔG.
РЕЗУЛЬТАТЫ И ОБСУЖДЕНИЕ
Кинетика сорбции скандия образцами НА при различных значениях рН
Ранее нами [6] при исследовании сорбции 46Sc образцами TAN, STP и ок-STP найдены условия количественной сорбции 20 нг скандия на 100 мкг НА, что ниже определенной сорбционной емкости. Известно, что для введения в организм РФП, содержащего наноразмерный носитель, необходимо сорбировать радионуклид на минимальном количестве носителя, чтобы не создавать дополнительную токсическую нагрузку на организм. В настоящей работе для этого было увеличено количество скандия в сравнении с проведенными ранее экспериментами, а также исследовано большее количество образцов НА. Короткоживущие радионуклиды для синтеза РФП выделяют из облученных мишеней, как правило, в растворах 0.01–0.1 М HCl, так как хлорид- ион биосовместим, а также для предотвращения гидролиза катионов радионуклида до синтеза [11]. В то же время после синтеза необходимо получить РФП в растворе, пригодном для введения в организм, изотоническом и имеющем определенный рН, который варьируется для различных РФП от 3.5 до 10.0 [12]. По этим причинам в данной работе исследовали кинетику сорбции 46Sc НА в солянокислых растворах с рН от 2 до 5, предполагая при необходимости дальнейшую нейтрализацию полученного раствора, содержащего сорбированные на НА изотопы скандия, перед введением.
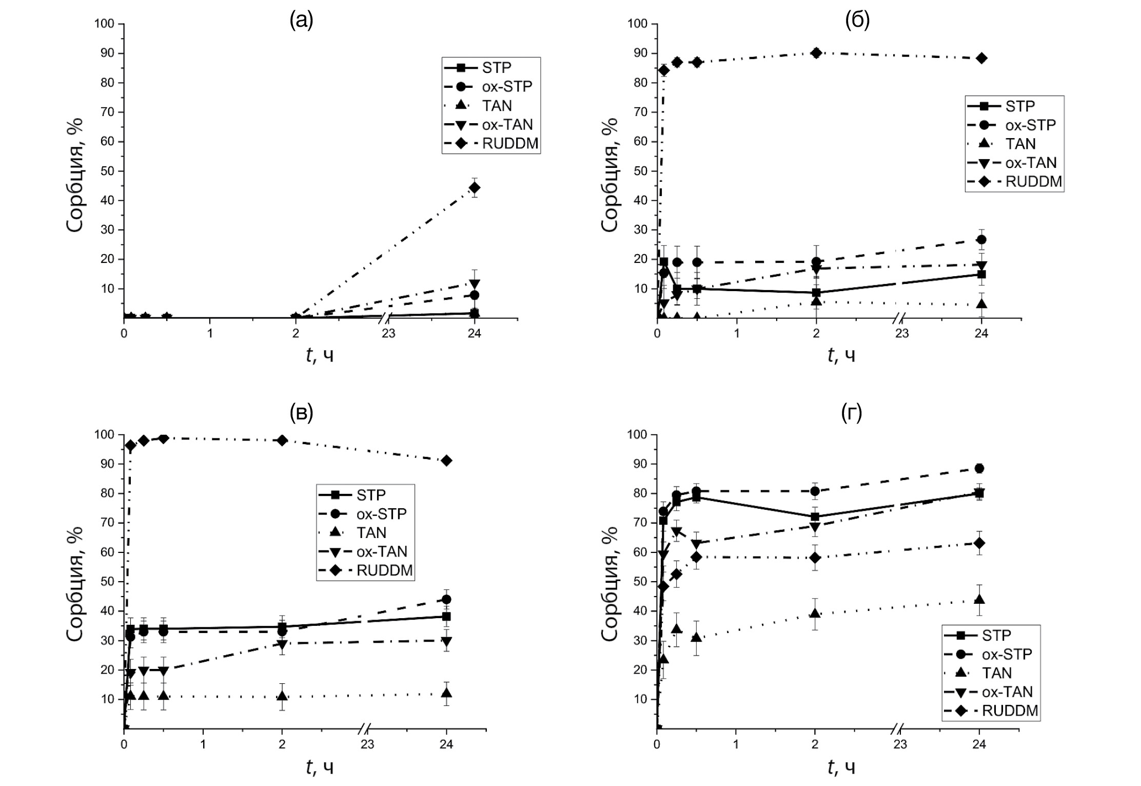
На рис. 1а–г представлена зависимость степени сорбции 46Sc изученными образцами НА от времени при рН от 2 до 5. Установлено, что при рН 2 (рис. 1а) сорбция в течение 2 ч отсутствует на всех исследованных образцах, при этом за 24 ч контакта степень сорбции скандия для образца RUDDM составила 45%, тогда как для остальных образцов не превышала 10%. Изменение степени сорбции при увеличении времени контакта может быть связано как с долгим установлением равновесия при данном рН, так и с тем, что за 24 ч в суспензии вследствие контакта с оставшимся в пробирке воздухом рН мог увеличиться.
Рис. 1. Кинетика сорбции скандия (440 нг) образцами НА (100 мкг/мл) при рН 2, 3, 4 и 5 (а–г соответственно).
Из рис. 1б–г видно, что при рН от 3 до 5 сорбционное равновесие достигается в первые минуты контакта сорбента с раствором, что ранее наблюдалось нами при исследовании сорбции НА других радионуклидов [4–6]. При рН 3 (рис. 1б) равновесные значения степени сорбции скандия образцом RUDDM составляют около 90%, в то время как для остальных образцов они не превышает 25%. При рН 4 (рис. 1в) RUDDM сорбирует скандий практически количественно (>95%), в то время как TAN и ox-TAN сорбируют только 10 и 30% соответственно, а STP и ox-STP – 35–40%. При рН 5 степень сорбции образцом RUDDM снижается в сравнении с рН 3 и 4 и составляет 60%, а максимальное значение степени сорбции среди изученных НА наблюдалось для ox-STP – 85%. Образцы TAN, ox-TAN и STP сорбировали 40, 75 и 75% скандия соответственно.
Отмечено, что в нашей ранней работе [6] среди образцов TAN, STP и ок-STP последние два количественно сорбировали скандий при рН от 4.0 до 5.5, тогда как количество скандия составляло в 22 раза меньше, чем в настоящей работе, при том же количестве сорбента. Известно, что в растворе РФП, предназначенном для введения, степень мечения носителя радионуклидом должна быть близка к количественной: более 95% при введении лабораторным животным для исследований и более 99% при введении пациентам [12]. При сравнении данных, полученных нами ранее [6] и в настоящей работе, можно заключить, что образец RUDDM перспективнее для решения поставленных задач, чем ox-STP, так как первый сорбирует количественно 440 нг Sc/100 мкг НА, в то время как второй – только 20 нг/100 мкг НА в исследованных условиях. Из данных на рис. 1а–г видно, что единственными условиями из изученных нами, где степень сорбции скандия достигает более 95%, являются водные растворы с рН 4 (рис. 1в) при использовании образца RUDDM в качестве носителя. По этой причине далее мы определяли параметры изотерм сорбции скандия RUDDM в растворе с рН 4.0 и ионной силой, создаваемой 0.9%-ным NaCl, для соблюдения требований к изотоничности.
Изотермы адсорбции скандия образцом RUDDM в 0.9%-ном NaCl при рН 4.0
Исследована зависимость равновесного значения степени сорбции 46Sc с добавлением носителя (5 мкг) в зависимости от количества RUDDM (30–600 мкг) при рН 4.0 и ионной силе, создаваемой 0.9%-ным NaCl, для построения изотерм адсорбции и нахождения термодинамических параметров; полученные данные приведены на рис. 2. Из рис. 2 видно, что в исследованных условиях количество сорбента оказывает существенное влияние на степень сорбции, при этом плато на рисунке наблюдается только при массе сорбента 400 мкг и выше.
Рис. 2. Равновесные значения степени сорбции скандия (5 мкг) образцом RUDDM при рН 4.0 в 0.9%-ном NaCl из 1 мл раствора.
Полученные результаты обработаны, как описано в экспериментальной части, для построения изотерм адсорбции Фрейндлиха и Ленгмюра; данные, линеаризованные уравнения и значения R2 приведены на рис. 3а, б, а зависимости Qe(Ce), построенные по найденным параметрам, – на рис. 4. Из рис. 3а, б видно, что экспериментальные данные удовлетворительно описываются обеими моделями (R2 составляет 0.9329 и 0.9556 соответственно). В литературе встречаются сведения, что изотермы адсорбции катионов на НА из водных растворов могут плохо аппроксимироваться моделями Фрейндлиха и Ленгмюра, что объясняется мультидисперсностью агрегатов НА в суспензиях и тем, что сначала в процессе адсорбции заполняются микропоры, а затем мезопоры; в этом случае зависимость Qe от Ce (рис. 4) имеет два плато [13]. Кроме того, на точность данных могла влиять точность отбора аликвот в процессе приготовления растворов (10–500 мкл), а также точность определения скандия в надосадочной жидкости методом гамма-спектрометрии. Тем не менее полученные данные позволяют оценить параметры изотерм, в частности сорбционную емкость RUDDM в исследованных условиях, составившую 26.0 мг/г в приближении монослойной адсорбции. При обработке данных также получены следующие параметры изотерм: KF = 16.1, nF = 3.74, KL = 1.81 л/г.
Рис. 3. Изотермы адсорбции Фрейндлиха (а) и Ленгмюра (б) для сорбции скандия образцом RUDDM в 0.9 % NaCl с рН 4.0.
Рис. 4. Представление экспериментальных данных и полученных изотерм адсорбции в координатах Qe–Сe.
В литературе на настоящий момент отсутствуют данные об изотермах адсорбции скандия НА, но есть ограниченное количество данных об изотермах адсорбции других катионов из водных растворов. Так, в работе [13] определены параметры изотерм адсорбции Cu, Zn, Ni и Cd образцом RUDDM при рН 2.5; установлено, что сорбционная емкость по меди составила 8.3 мг/г, а значения KF для перечисленных элементов составили от 0.01 до 1.5, nF – от 0.8 до 1.6. Известна емкость TAN по урану в растворе HClO4 с рН 4, составившая 33.3 мг/г [14], и по пертехнетат-аниону при рН 6 – 8.3 мг/г [15]. В работе [16] исследовали емкость коммерческих и окисленных в жестких условиях НА при сорбции Fe, Cu и Cd, при этом показано, что до окисления емкость по этим элементам составляла от 20 до 60 мг/г, а после окисления возрастала до 203–238 мг/г. Значения KF для окисленных образцов составляли от 11 до 66, nF – от 1.5 до 3.5. Отметим, что в перечисленных работах химический состав сред и количество НА отличались (иногда на порядки) от условий, исследованных нами, однако можно заключить, что найденные нами значения параметров соответствуют диапазону параметров других работ, при этом являясь одними из самых высоких среди параметров для коммерческих НА, что также подтверждает перспективность применения RUDDM для медицинского применения.
Определено значение ΔG адсорбции, составившее –12.6 кДж/моль (данные приведены на рис. 5), что подтверждает самопроизвольность и энергетическую выгодность процесса адсорбции в исследованных условиях. При этом R2 составил 0.9836, что говорит о достаточно высокой точности определения. Сведения о ΔG адсорбции катионов НА крайне ограничены в литературе: в работе [16] определили значение ΔG адсорбции Cd окисленными НА, составившее –4.44 кДж/моль при 25°С. Представляется интересным нахождение энтальпии и энтропии адсорбции, для чего необходимо в дальнейшем провести эксперименты при других температурах.
Рис. 5. Зависимость ln(Qe/Ce) от Qe при сорбции скандия RUDDM в 0.9%-ном NaCl с рН 4.0.
С учетом полученного значения сорбционной емкости RUDDM оценили максимальное количество изотопов 44Sc и 47Sc, которое возможно сорбировать на единице массы RUDDM. Так, при максимальной удельной активности изотопов 44Sc и 47Sc (6.5 × 1017 и 3.1 × 1016 Бк/г) на 1 мкг RUDDM сорбируется 17.0 и 0.8 ГБк соответственно. Такая активность на порядки превышает необходимую для доклинических исследований со 44Sc или сопоставима с той, которая может быть применена в терапии со 47Sc.
В работе [17] обобщены сведения об исследовании токсичности НА при внутривенном введении: отсутствие видимого воздействия на организм мышей установлено при дозах до 0.8 мг/кг веса. Даже в случае использования изотопов скандия с более низкой удельной активностью в сравнении с теоретической нами предполагается применение единиц или десятков мкг НА как носителей, что на порядки ниже 0.8 мг/кг веса. Таким образом, при выборе условий синтеза РФП возможно варьировать объем раствора, количество частиц, способ разбавления, приготовления растворов для инъекции и другие параметры в широком диапазоне.
ЗАКЛЮЧЕНИЕ
При подготовке для введения в организм раствора, содержащего изотопы скандия на RUDDM, необходимо выполнить ряд требований к свойствам этого раствора. Так, в настоящей работе показано, что оптимальной средой для количественной сорбции является 0.9%-ный раствор NaCl, подкисленный до рН 4.0. Полученное значение сорбционной емкости указывает на возможность варьирования количества RUDDM в широком диапазоне – от единиц мкг и выше, причем как для in vivo исследований, так и для терапии. Кроме того, возможно варьировать объем раствора для введения, сохраняя необходимое отношение m/V для достижения количественной сорбции изотопов скандия. Нами также установлено, что суспензия, содержащая 100 мкг/мл RUDDM в 0.9%-ном NaCl при рН 4.0, устойчива к седиментации в течение минимум 2 ч, что позволяет провести все необходимые операции – сорбцию скандия, отбор аликвоты для введения и непосредственно введение. Таким образом, нами учтены все требования к раствору для его введения в организм, и, руководствуясь полученными данными, можно проводить дальнейшие in vivo исследования с RUDDM с иммобилизованными изотопами 44Sc или 47Sc.
Фондовая поддержка
Работа выполнена за счет средств бюджетного финансирования ГЕОХИ РАН.
Конфликт интересов
Авторы заявляют об отсутствии конфликта интересов.
About the authors
A. G. Kazakov
Vernadsky Institute of Geochemistry and Analytical Chemistry, RAS
Author for correspondence.
Email: adeptak92@mail.ru
Russian Federation, Moscow
D. V. Pavlova
Vernadsky Institute of Geochemistry and Analytical Chemistry, RAS; Mendeleev University of Chemical Technology of Russia
Email: adeptak92@mail.ru
Russian Federation, Moscow; Moscow
I. A. Ushakov
National Research Tomsk Polytechnic University
Email: adeptak92@mail.ru
Russian Federation, Tomsk
E. A. Nesterov
National Research Tomsk Polytechnic University
Email: adeptak92@mail.ru
Russian Federation, Tomsk
V. S. Skuridin
National Research Tomsk Polytechnic University
Email: adeptak92@mail.ru
Russian Federation, Tomsk
E. A. Odintsova
Bentonit Company
Email: adeptak92@mail.ru
Russian Federation, Moscow
S. E. Vinokurov
Vernadsky Institute of Geochemistry and Analytical Chemistry, RAS
Email: adeptak92@mail.ru
Russian Federation, Moscow
B. F. Myasoedov
Vernadsky Institute of Geochemistry and Analytical Chemistry, RAS; Interdepartmental Center for Analytical Research in Physics, Chemistry, and Biology, RAS
Email: adeptak92@mail.ru
Russian Federation, Moscow; Moscow
References
- Giri P.M., Banerjee A. // Cancers. 2023. Vol. 15. ID 2256.
- Elumalai K., Srinivasan S., Shanmugam A. // Biomed. Technol. 2024. Vol. 5. P. 109–122.
- Yun W.S., Kim J., Lim D.-K., Kim D.-H., Jeon S.I., Kim K. // Nanomaterials. 2023. Vol. 13. ID 2225.
- Kazakov A.G., Babenya J.S., Ekatova T.Y., Vinokurov S.E., Khvorostinin E.Y., Ushakov I.A., et al. // Radiochemistry. 2024. Vol. 66. № 2. P. 191–197.
- Kazakov A.G., Babenya J.S., Ekatova T.Y., Vinokurov S.E., Khvorostinin E.Y., Ushakov I.A., et al. // Radiochemistry. 2024. Vol. 66. N 2. P. 198–204.
- Kazakov A.G., Ekatova T.Y., Vinokurov S.E., Khvorostinin E.Y., Ushakov I.A., Zukau V.V, et al. // Radiochemistry. 2024. Vol. 66. № 2. P. 205–210.
- Skotland T., Iversen T.G., Llorente A., Sandvig K. // Adv. Drug Deliv. Rev. 2022. Vol. 186. ID 114326.
- Yakovlev R.Y., Dogadkin N.N., Kulakova I.I., Lisichkin G.V., Leonidov N.B., Kolotov V.P.// Diamond. Relat. Mater. 2015. Vol. 55. P. 77–86.
- Karpukhin A.V., Avkhacheva N.V., Yakovlev R.Y., Kulakova I.I., Yashin V.A., Lisichkin G.V., Safronova V.G. // Cell. Biol. Int. 2011. Vol. 35. № 7. P. 727–733.
- Dolmatov V.Y., Rudenko D.V., Burkat G.K., Aleksandrova A.S., Vul’ A.Yu., Aleksenskii A.E., et al. // J. Superhard Mater. 2019. Vol. 41. N 3. P. 169–177.
- Qaim S.M. // J. Radioanal. Nucl. Chem. 2024. Vol. 333. P. 3577–3584.
- Государственная фармакопея Российской Федерации. XV изд. Раздел 3.5: Радиофармацевтические лекарственные препараты. https://pharmacopoeia.regmed.ru/pharmacopoeia/izdanie-15/3/3-5/
- Volkov D.S., Krivoshein P.K., Mikheev I.V., Proskurnin M.A. // Diamond Relat. Mater. 2020. Vol. 110. ID 108121.
- Buchatskaya Y., Romanchuk A., Yakovlev R., Shiryaev A., Kulakova I., Kalmykov S. // Radiochim. Acta. 2015. Vol. 103. N 3. P. 205–211.
- Казаков А.Г., Гаращенко Б.Л., Яковлев Р.Ю., Винокуров С.Е., Мясоедов Б.Ф. // Радиохимия. 2020. T. 62. № 6. C. 519–525.
- Ahmadijokani F., Molavi H., Peyghambari A., Shojaei A., Rezakazemi M., Aminabhavi T.M., Arjmand M. // J. Environ. Manag. 2022. Vol. 316. ID 115214.
- Liu J.-H., Yang S.T., Chen X.-X., Wang H. // Curr. Drug Metab. 2012. Vol. 13. P. 1046–1056.
Supplementary files







