Экстракция иттербия растворами моно(2-этилгексилового) эфира 2-этилгексилфосфоновой кислоты в гексане из растворов азотной кислоты
- Авторы: Бобровская К.С.1, Кузнецов Р.А.1
-
Учреждения:
- Научно-исследовательский технологический институт им. С.П. Капицы Ульяновского государственного университета
- Выпуск: Том 66, № 6 (2024)
- Страницы: 566-576
- Раздел: Статьи
- URL: https://journals.rcsi.science/0033-8311/article/view/292266
- DOI: https://doi.org/10.31857/S0033831124060078
- ID: 292266
Цитировать
Аннотация
Исследована экстракция иттербия растворами моно(2-этилгексилового) эфира 2-этилгексилфосфоновой кислоты (HEH[EHP]) в гексане из растворов азотной кислоты при концентрации HEH[EHP] 0.5–2.0 моль/л, кислотности 0.1–2.0 моль/л и концентрации лантанида от 0.1 до 5 г/л. Показано, что зависимости коэффициентов распределения иттербия от кислотности раствора описываются выражениями типа lgD = alg[H+] + b, при этом значение коэффициента a зависит от концентрации экстрагента и концентрации лантанида, варьируясь в диапазоне от –1.26 до –3.0. Вероятная причина – экстракция как по катионообменному, так и по сольватному механизму. Предложена модель, описывающая зависимость коэффициента распределения иттербия от его концентрации в водной фазе при различных концентрациях экстрагента и кислотностях. Показана удовлетворительная сходимость модели с экспериментальными данными.
Полный текст
ВВЕДЕНИЕ
Радионуклид 177Lu с высокой удельной активностью применяется для синтеза радиофармацевтических лекарственных препаратов, предназначенных для терапии опухолей различной природы. Основной способ его получения – облучение нейтронами иттербия, обогащенного по изотопу 176Yb, в результате чего реализуется цепочка ядерных превращений . Выход нарабатываемого радионуклида зависит от условий облучения (продолжительность и плотность потока нейтронов в позиции облучения). В среднепоточных реакторах, наиболее доступных для наработки радионуклидов, при облучении мишени в потоке нейтронов с плотностью 5 × 1014 см–2·c–1 в течение 20–30 сут выход 177Lu составляет 100–120 Ки/г [1, 2] и изменяется пропорционально плотности потока нейтронов. Наработка коммерчески значимого количества 177Lu требует облучения мишени, содержащей 176Yb массой сотни миллиграмм. Масса нарабатываемого 177Lu, имеющего удельную активность 105 Ки/г, при этом составит 1 мг или менее. Последующая радиохимическая переработка облученных иттербиевых мишеней заключается в отделении микроколичеств целевого радионуклида от макроколичеств нуклида-мишени. При этом для получения радионуклида с характеристиками, требуемыми для синтеза радиофармацевтических лекарственных препаратов (РФЛП), необходимо, чтобы фактор очистки лютеция от иттербия был не менее 105.
Для разделения близких по свойствам редкоземельных элементов, в частности иттербия и лютеция, широко применяется экстракционная хроматография с использованием сорбентов, содержащих кислые фосфорорганические экстрагенты [3], такие как ди(2-этилгексил)фосфорная кислота (Д2ЭГФК) и моно(2-этилгексиловый) эфир 2-этилгексилфосфоновой кислоты (HEH[EHP]). Примеры экстракционно-хроматографического выделения 177Lu из облученных иттербиевых мишеней с использованием Д2ЭГФК приведены в обзорах [4, 5]. Однако при разделении тяжелых РЗЭ, в том числе иттербия и лютеция, более эффективно использование HEH[EHP], поскольку этот экстрагент имеет более высокую экстракционную емкость и обеспечивает большее значение фактора разделения этих элементов [3].
Концептуальный вариант схемы экстракционно-хроматографического препаративного выделения 177Lu из облученной иттербиевой мишени с использованием сорбента на основе HEH[EHP] (сорбент LN2 фирмы Eichrom, США) описан в работе [6], авторы которой считают, что он применим для переработки достаточно массивных (до 300 мг) иттербиевых мишеней. К сожалению, работоспособность предложенного процесса не была подтверждена при переработке реальных облученных мишеней, а оценка его производительности, приведенная в работе [6], требует дополнительных обоснований, поскольку авторы способа отмечают существенное влияние массы иттербия (начиная уже с 50 мг) как на его собственное поведение, так и на поведение микроколичеств лютеция. В итоге эффективность процесса разделения Yb и Lu резко уменьшается, что ставит под сомнение предсказанную в работе [6] производительность.
Закономерности экстракционно-хроматографического поведения элементов в значительной мере определяются закономерностями и особенностями их поведения в используемых экстракционных системах. Поэтому разработка экстракционно-хроматографических процессов базируется на исследовании как индивидуальной экстракции выделяемых/разделяемых элементов, так и экстракции при их совместном присутствии. Примеры исследования индивидуальной экстракции лютеция и иттербия растворами НЕН[EHP] из азотнокислых и солянокислых растворов приведены в работе [3]. В рамках задачи выделения 177Lu из облученного нейтронами иттербия была изучена экстракция иттербия и лютеция растворами HEH[EHP] в Isopar M и м-нитробензотрифториде [7]. На основании результатов этой работы была разработана модель экстракционного выделения 177Lu из облученного иттербия [8], которая продемонстрировала совпадение расчетных и экспериментальных данных для малонасыщенных систем при массе перерабатываемого иттербия до 500 мг и его концентрации в водной фазе 0.2–0.4 г/л. Вместе с тем модель оказалась неприменимой к описанию систем с более концентрированными растворами иттербия и, по мнению ее авторов, требует доработки. Заметим, что в работах [3, 7, 8] рассматривается влияние на коэффициенты распределения иттербия и лютеция кислотности водной фазы и концентрации экстрагента. Концентрация же экстрагируемого лантанида, например в модели [8], в явном виде не фигурирует, хотя постулируемый в этой работе механизм экстракции лантанидов безусловно предполагает влияние их концентрации на эффективность экстракции и, соответственно, экстракционного и/или экстракционно-хроматографического разделения.
Таким образом, для описания процесса экстракционно-хроматографического разделения иттербия и лютеция необходимы дополнительные исследования закономерностей как совместной, так и индивидуальной экстракции этих элементов при варьировании концентрации экстрагента в органической фазе, кислотности водной фазы и концентрации металла. В настоящей работе экспериментально исследована экстракция иттербия из азотнокислых растворов растворами HEH[EHP] в гексане.
ЭКСПЕРИМЕНТАЛЬНАЯ ЧАСТЬ
Реактивы и оборудование
Все использованные в работе реактивы, кроме HEH[EHP], имели квалификацию х.ч. и применялись без дополнительной очистки. Воду, применяемую для приготовления растворов, очищали с использованием системы очистки воды Arium mini (Sartorius, Германия). Экстрагент HEH[EHP] очищали по методике [9]. Кислотность растворов определяли методом потенциометрического титрования с использованием pH-метра Mettler Toledo.
Концентрацию иттербия в растворе определяли методом атомно-эмиссионной спектрометрии с индуктивно связанной плазмой на спектрометре ICP-OES Agilent 5800 с использованием аналитических линий λ = 328.937 и 369.419 нм.
Проведение экстракции
Растворы экстрагента с концентрацией 0.5–2 моль/л готовили растворением навески HEH[EHP] в гексане. Перед проведением экстракции растворы экстрагента контактировали с растворами азотной кислоты соответствующей концентрации (0.5–2 моль/л). Отношение объемов водной и органической фаз составило 5 : 1. Время контакта фаз составляло 1 ч. Фазы разделяли центрифугированием, после чего водную фазу дополнительно промывали деканом для более полного удаления следов экстрагента. Концентрацию иттербия в водной фазе измеряли методом ICP-OES, в органической фазе оценивали по материальному балансу.
Определение равновесной кислотности раствора
Кислотность водной фазы до и после экстракции определяли титрованием. Ввиду присутствия в исследуемых растворах ионов РЗЭ, гидролизующихся при pH 5–7, их классическое кислотно-основное титрование невозможно. Поэтому определение равновесной кислотности растворов проводили по методике, основанной на потенциометрическом титровании, до фиксированного значения pH (рНфикс 4.5) [10]. Используемый вариант методики описан в дополнительных материалах к статье.
РЕЗУЛЬТАТЫ И ОБСУЖДЕНИЕ
Влияние кислотности водной фазы на распределение иттербия
Экстракция лантанидов кислотными фосфорорганическими соединениями, в том числе моно(2-этилгексиловым) эфиром 2-этилгексилфосфоновой кислоты (HEH[EHP]), при умеренных кислотностях водной фазы [3] протекает по ионообменному механизму, который часто описывается выражением (1):
. (1)
Выражения для кажущейся константы экстракции для реакции (1) и коэффициента распределения лантанида записываются в виде:
a , (2)
. (3)
Логарифмируя выражение (3), получим зависимость коэффициента распределения от кислотности водной фазы и концентрации экстрагента:
. (4)
В соответствии с этим выражением при экстракции тяжелых РЗЭ растворами HEH[EHP] тангенс угла наклона зависимости логарифма коэффициента распределения от логарифма концентрации протонов равен –3. Данная зависимость справедлива для малых концентраций лантанида (“индикаторных количеств” по версии [3]) и при кислотности исходного раствора менее 3–4 моль/л, что было экспериментально подтверждено в ряде исследований, например [3, 8].
Увеличение кислотности водной фазы приводит к изменению механизма экстракции HEH[EHP], что связано с постепенным изменением содержания в органической фазе димера , увеличением степени экстракции азотной кислоты и увеличением доли сольватных комплексов, образующихся в органической фазе. В этом случае процесс экстракции обобщенно описывается уравнением (5) [3]:
, (5)
где i = 0–3.
Для уравнения (5) зависимость (4) трансформируется в зависимость (6):
. (6)
В соответствии с этим уравнением тангенс угла наклона зависимости коэффициента распределения от кислотности может отличаться от –3 и принимать значения –2, –1 и 0. Сосуществование в органической фазе нескольких форм экстрагируемых комплексов приведет к отклонениям тангенса угла наклона зависимости = f( от целочисленных значений.
Исследование влияния кислотности водной фазы на распределение тяжелых редкоземельных элементов (Tb, Dy, Ho, Er, Yb, Lu) и Y при экстракции раствором HEH[EHP] в гексане с концентрацией 1 моль/л из хлоридных растворов с ионной силой 5 М показало, что тангенс угла наклона зависимости находится в диапазоне 2.3–2.7 [11]. К сожалению, аналогичные данные для нитратных систем в доступной нам литературе отсутствуют.
Результаты наших экспериментов, представленные на рис. 1, свидетельствуют о том, что при концентрации азотной кислоты в диапазоне 0.5–2 моль/л, т.е. в области экстракции по катионообменному механизму, зависимости аппроксимируются линейным выражением с коэффициентом корреляции R > 0.95. Значения коэффициентов и аппроксимирующих выражений для полученных кривых приведены в табл. Д1 дополнительных материалов к статье. В случае малой концентрации лантанида в водной фазе тангенс угла наклона зависимости близок к 3. Увеличение концентрации лантанида при использовании разбавленного экстрагента (0.5–1.0 моль/л) приводит к явному уменьшению тангенса угла наклона. В системах с концентрацией экстрагента 2 моль/л тангенс угла наклона близок к 2.5 независимо от концентрации металла, что расходится с результатами других исследований, например [7]. Отметим, что в цитируемой работе концентрация экстрагента не превышала 50%, т.е. 1.5 моль/л, а измерение коэффициентов распределения проводили при начальной концентрации РЗЭ 0.3–0.4 г/л, что меньше, чем в наших экспериментах (за исключением серии с [Yb] = 0.1 г/л). К сожалению, в работе [7] отсутствует детальное описание методики экстракции, в частности, не указано отношение объемов фаз, что не позволяет оценить загрузку экстрагента лантанидом.
Рис. 1. Зависимость коэффициентов распределения иттербия от концентрации раствора HNO3 при различных концентрациях HEH[EHP] (моль/л: ♦ – 0.5, ■ – 1, ▲ – 1.5, ● – 2) и металла (г/л: a – 0.1 г/л, б – 1, в – 5).
Таблица 1. Значение константы экстракции иттербия для растворов HEH[EHP] в гексане
[HEH[EHP]], моль/л | Концентрация иттербия, г/л | ||||
0.1 | 0.5 | 1.0 | 2.5 | 5 | |
0.5 | 18.3 | 17.8 | 16.8 | 10.5 | 7.5 |
1 | 18.7 | 18.4 | 16.1 | 11.3 | 7.9 |
1.5 | 18.3 | 17.6 | 16.3 | 11.3 | 8.2 |
2 | 17.5 | 17.2 | 16.9 | 11.4 | 8.9 |
Причиной изменения количества выделившихся при экстракции протонов может быть образование комплексных соединений, сопутствующее как катионообменному, так и сольватному механизму экстракции [3]. Исходя из обобщенного уравнения экстракции (5) и результатов работы [11] можно предположить, что образование этих комплексов описывается нижеприведенными уравнениями:
, (7)
, (8)
, (9)
. (10)
В соответствии с записанными уравнениями по количеству лантанида, образовавшего экстрагируемый комплекс, можно оценить количество выделившихся протонов:
для уравнения (7), (11)
для уравнения (8), (12)
для уравнения (9). (13)
Во всех случаях концентрация экстрагированного комплекса определяется концентрацией металла в органической фазе [Ln]o, которую можно рассчитать по концентрации металла в водной фазе до и после экстракции. В идеальном случае протекания только одной из перечисленных реакций тангенс угла наклона зависимости увеличения кислотности раствора ∆H+ от концентрации [Ln]o равен соответствующему стехиометрическому коэффициенту в уравнениях (7)–(9), что позволяет экспериментально определить состав экстрагируемого комплекса.
Отклонение стехиометрического коэффициента от целочисленного значения может трактоваться как указание на образование нескольких комплексов. Так, в работе [3] при экстракции макроколичеств эрбия и празеодима раствором HEH[EHP] в керосине наблюдаемое изменение кислотности водной фазы было меньше рассчитанного. По зависимостям ∆H+–[Ln]o авторами был сделан вывод, что в области “средних” концентраций часть металла экстрагируется в форме и , а при более высоких концентрациях – в форме .
Чтобы оценить изменение кислотности рафинатов, мы провели серию экспериментов по экстракции иттербия раствором HEH[EHP] в гексане с концентрацией 1.5 моль/л из растворов с концентрацией азотной кислоты 0.1 моль/л. Концентрация иттербия в исходном растворе варьировалась от 0.1 до 5 г/л. В этих условиях коэффициенты распределения иттербия составили от 1.1 × 103 до 4 × 102 и при выбранном соотношении объемов фаз () экстракция протекает практически полностью. Кислотность раствора измеряли методом потенциометрического титрования до фиксированного рН, описанным в дополнительных материалах к статье.
Зависимость изменения кислотности водной фазы от концентрации иттербия в органической фазе представлена на рис. 2. Как и в цитированной выше работе [3], тангенс угла наклона кривой ∆H+–[Ln]o меньше единицы и близок к 0.4. Это возможно в том случае, если стехиометрический коэффициент в реакциях образования экстрагируемых комплексов равен 2.5, т.е. иттербий частично экстрагируется по уравнению (7), частично – по уравнению (8). К сожалению, примененная нами методология не позволяет в рамках настоящего исследования сделать более подробное заключение о механизме экстракции, что являются предметом самостоятельного исследования.
Рис. 2. Изменение кислотности рафината как функция концентрации иттербия в органической фазе при экстракции раствором 1.5 моль/л HEH[EHP] из раствора азотной кислоты с концентрацией 0.1 моль/л.
Рис. 3. ИК-Фурье спектры экстрагента HEH[EHP] до (1) и после (2) насыщения иттербием и образовавшегося осадка соли экстрагента с Yb (3).
Наличие нитрогруппы в составе экстрагируемого комплекса может быть подтверждено методом ИК спектрометрии. Для подготовки образца к исследованию нами была проведена экстракция иттербия 1 М раствором HEH[EHP] до насыщения органической фазы, сопровождаемая образованием на границе раздела фаз гелеобразного осадка. Для этого экстрагент многократно (7 раз) контактировал с азотнокислым раствором иттербия ([Yb] = 5 г/л, [HNO3] = 0.1 моль/л). В насыщенном экстрагенте образовывался осадок в виде пленки на поверхности, которую извлекли, промыли водой и высушили на воздухе. Далее мы измерили ИК-спектр раствора экстрагента, насыщенного иттербием, и ИК-спектр образовавшегося осадка.
В ИК-спектре моно(2-этилгексилового) эфира 2-этилгексилфосфоновой кислоты колебания углеводородных радикалов характеризуются полосами поглощения при 2959, 2930, 2860, 1462, 1380 см–1 [12, 13]; колебания Р–O–H группы – полосами поглощения при 2614, 2336, 1691, 985 см-1 [14]; валентные колебания связи P=O – полосой поглощения при 1196 см–1 [12]; колебания связи P–O–C – полосой поглощения при 1037 см–1 [12–14].
В ИК-спектре раствора HEH[EHP], насыщенного иттербием, отсутствуют полосы поглощения, соответствующие колебаниям Р–O–H-группы ввиду замены водорода на металл. Полоса поглощения связи Р=О при 1196 см–1 претерпевает длинноволновой сдвиг до 1167 см–1, что связано с образованием комплекса с иттербием [12]. Помимо этого, в спектре происходит расщепление полосы при 1037 см–1 на две составляющие – 1028 и 1060 см–1, также относимые к колебаниям связи P–O–C. В спектре осадка продолжается смещение полосы 1167 см–1 в область 1136 см–1, что, по мнению авторов работы [15], свидетельствует об образовании координационной связи между металлом и двумя атомами кислорода и формировании координационной связи в полимере. Кроме того, как в спектре насыщенного иттербием раствора, так и в спектре осадка присутствуют полосы поглощения при 1290 и 1505 см–1, относимые к колебаниям нитратной группы [3], что может являться подтверждением присутствия нитрата в составе экстрагируемого комплекса.
Зависимость коэффициентов распределения иттербия от концентрации экстрагента и концентрации экстрагируемого лантанида
Концентрация экстрагента в органической фазе определяет состав образующегося комплекса металл–экстрагент и, соответственно, емкость органической фазы по металлу, т.е. параметр, влияющий на производительность процесса выделения и разделения. В то же время концентрация экстрагента влияет на состояние экстрагента в органической фазе, определяя механизм и параметры процесса комплексообразования. Считается, что в алифатических растворителях HEH[EHP] находится в форме димера [3, 16]. Однако это справедливо лишь при малой концентрации экстрагента – до 0.03 моль/л. При больших концентрациях возможно образование тримеров или еще более сложноорганизованных структур ([11]).
Если признать, что основу образующегося комплекса составляет соединение LnA3, то различия в стехиометрических коэффициентах объясняются разной степенью сольватации “металлического центра” молекулами экстрагента, которая зависит от природы используемых растворителей. По мнению Коларика [17], в ароматических растворителях преобладающим является соотношение металл : димер = 1 : 3, в случае алифатических – 1 : 2.5, т.е. экстрагируемый комплекс должен иметь состав LnA3 ∙ (HA)3 или LnA3 ∙ (HA)2. Исследование экстракции европия растворами HEH[EHP] в 20 различных растворителях [16] показало, что в зависимостях от концентрации экстрагента значения тангенса угла наклона находились в диапазоне от 2.5 до 3. Эти результаты позволили сделать вывод об образовании смешанных комплексов, содержащих в окружении металлического центра от двух до трех молекул экстрагента.
Результаты эксперимента, представленные на рис. 4, показывают, что зависимости lgD–lg[HEHEHP] практически во всем диапазоне исследуемых концентраций металла и азотной кислоты аппроксимируются линейной функцией с тангенсом угла наклона, близким к 2.5. Значения коэффициентов и аппроксимирующих выражений для полученных кривых приведены в табл. Д2 дополнительных материалов к статье. Такие значения тангенса угла наклона согласуются с результатами цитированных выше исследований для систем с неполярными алифатическими растворителями, в том числе при экстракции иттербия [7]. Однако для азотной кислоты с концентрацией 0.5 моль/л наблюдается отклонение от значения 2.5, причем с увеличением концентрации металла тангенс угла наклона увеличивается от 2 до 3.
Рис. 4. Зависимость коэффициентов распределения иттербия от концентрации раствора HEH[EHP] в гексане при различных концентрациях азотной кислоты (моль/л: ♦ – 0.5, ■ – 1, ▲ – 1.5, ● – 2) и металла (г/л: a – 0.1, б – 1, в – 5).
Рис. 5. Зависимость константы экстракции иттербия от концентрации металла.
Системы с разбавленными кислотами характеризуются большими коэффициентами распределения. При относительно низкой концентрации металла (0.1 г/л) экстракция одинаково эффективно протекает как в случае 0.5 М, так и в случае 2 М HEH[EHP]. С увеличением концентрации металла для 0.5 М HEH[EHP] коэффициент распределения резко падает, в наших экспериментах почти на порядок, что, вероятно, можно объяснить исчерпанием емкости экстрагента. В то же время при концентрации экстрагента 2 моль/л коэффициент распределения уменьшается менее, чем в 2 раза. Вероятно, с этим и связано такое различие в тангенсах углах наклона прямых для систем с разбавленной до 0.5 моль/л азотной кислотой.
Уменьшение коэффициента распределения, вероятно, связано с изменением константы экстракции. Для расчета константы экстракции, как правило, используется выражение (2). Показатели степени в данном выражении показывают число протонов, выделившихся в ходе реакции обмена, и число молекул экстрагента, участвующих в образовании экстрагируемого комплекса. В полученных нами зависимостях коэффициента распределения от концентрации кислоты и экстрагента, как было отмечено выше, тангенсы угла наклона отличаются от общепринятого значения 3. Следовательно, для корректного расчета константы экстракции выражение (2) необходимо преобразовать:
, (14)
где n = tgα – тангенс угла наклона зависимости lgD = f(lg[HNO3]); m = tgβ – тангенс угла наклона зависимости lgD = f(lg[HEH[EHP]), полученные экспериментально.
Результаты расчета константы экстракции по уравнению (14) приводятся в табл. 1. Полученные значения константы экстракции незначительно меняются с увеличением концентрации экстрагента и не зависят от кислотности раствора. В то же время увеличение концентрации металла приводит к уменьшению константы экстракции.
Зависимость константы экстракции от концентрации металла можно описать линейной функцией с коэффициентом корреляции R2 = 0.95. Можно предположить, что зависимость константы экстракции от концентрации иттербия будет описываться выражением:
. (15)
В таком случае выражение для расчета коэффициента распределения должно принять следующий вид:
. (16)
Как видно из приведенных выше соотношений (1)–(5), описывающих экстракционные равновесия, коэффициент распределения лантанида зависит от концентрации экстрагента, которая в случае экстракции микроколичеств металла практически не меняется. Однако в случае выделения весовых количеств металла следует учитывать уменьшение концентрации свободного экстрагента, образующего соответствующие комплексы с металлом.
На основании уравнения материального баланса концентрацию свободного экстрагента в органической фазе можно определить по формуле (17):
, (17)
где – начальная концентрация экстрагента; – концентрация лантанида в органической фазе; параметр зависит от состава образующихся комплексов и численно равен tgβ.
Тогда для катионообменного механизма экстракции выражение (16) можно переписать в виде:
. (18)
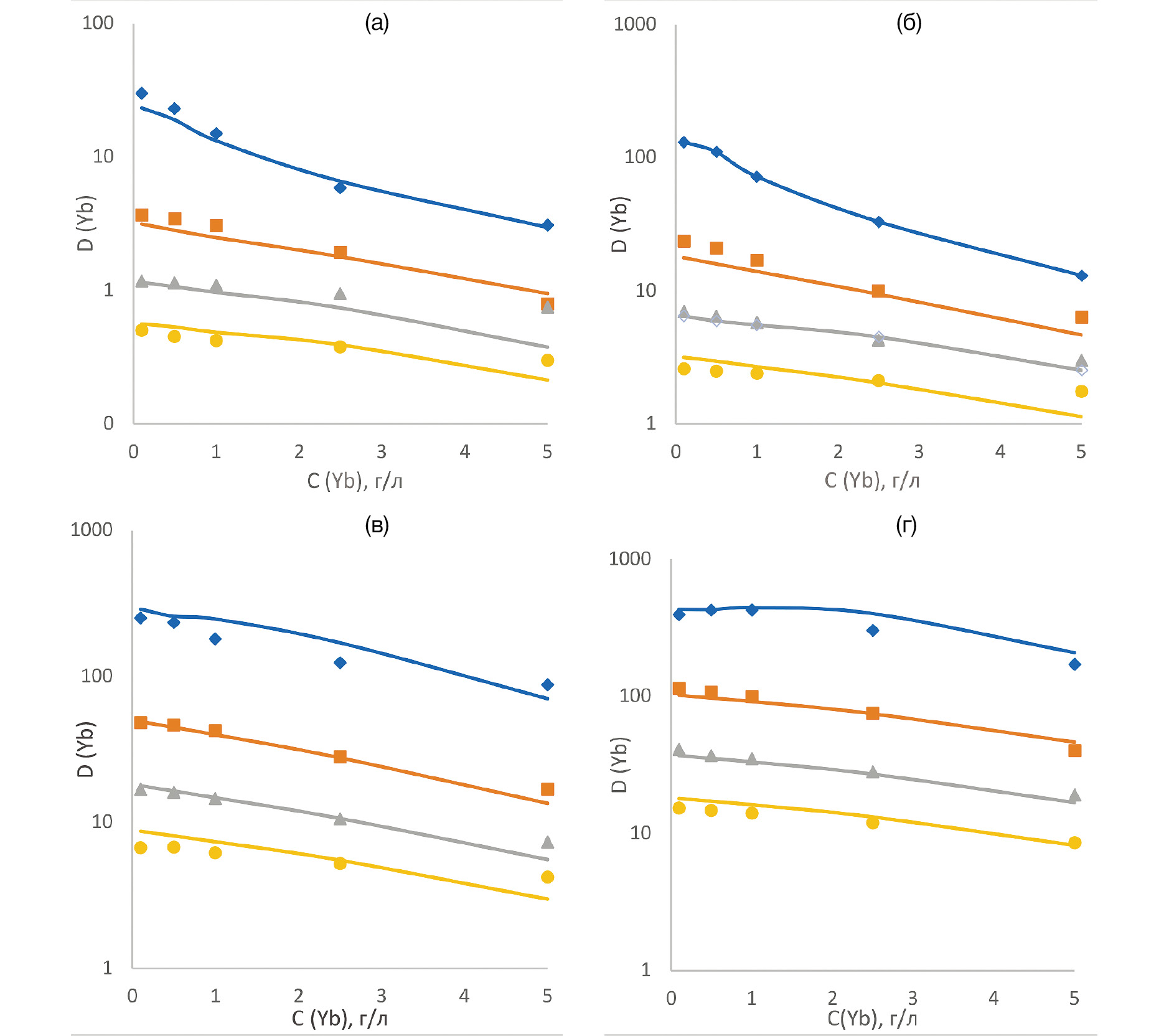
На основании выражения (18) нами были вычислены зависимости коэффициента распределения от концентрации металла при различных концентрациях экстрагента и кислотностях. Результаты, представленные на рис. 6 и в табл. Д3–Д6, демонстрируют хорошую сходимость расчетных и экспериментальных данных при концентрациях экстрагента 1–2 моль/л. Различия в коэффициентах распределения наблюдаются лишь при концентрации экстрагента 0.5 моль/л, что, вероятно, связано со значительным исчерпанием емкости экстрагента.
Следует отметить, что в целях упрощения мы не рассматриваем иные процессы, протекание которых в органической фазе потенциально возможно, в частности образование координационных полимеров (так называемой “третьей фазы”) – нерастворимого осадка солей лантанида. Этот осадок, выделяясь на границе раздела фаз, не только влияет на гидродинамические характеристики экстракционных аппаратов, но также существенно изменяет механизм экстракции лантанидов. Процессы образования координационных полимеров при экстракции лантанидов ди-(2-этилгексил)фосфорной кислотой и экстракционные свойства получаемых соединений в последние годы достаточно активно исследуются (см., например, [18, 19]). Однако для HEH[EHP] подобная информация в доступной нам литературе отсутствует. Впрочем, удовлетворительная сходимость экспериментальных и расчетных данных позволяет предположить отсутствие или незначительность вклада полимеризации в распределение иттербия в исследованных системах.
Рис. 6. Зависимость коэффициентов распределения иттербия от его концентрации в водной фазе при экстракции растворами HEH[EHP] различной концентрации в гексане (моль/л: a – 0.5, б – 1, в – 1.5, г – 2) при различных концентрациях азотной кислоты (моль/л: ♦ – 0.5, ■ – 1, ▲ – 1.5, ● – 2). Точки – эксперимент, линии – расчет.
ЗАКЛЮЧЕНИЕ
Исследование экстракции иттербия растворами моно(2-этилгексилового) эфира 2-этилгексилфосфоновой кислоты (HEH[EHP]) в гексане из растворов азотной кислоты показало, что эффективность экстракции существенно зависит от кислотности водного раствора, концентрации экстрагента и концентрации лантанида. Зависимость коэффициента распределения иттербия от равновесной кислотности водной фазы можно описать линейными зависимостями типа lgD = alg[H+] + b. При этом тангенс угла наклона аппроксимирующей прямой зависит как от концентрации экстрагента, так и от концентрации лантанида, варьируясь в диапазоне от –1.26 до –3.0. Анализ степени закисления водной фазы после экстракции позволяет предположить, что причиной этого отклонения может служить образование комплексов состава и даже при экстракции в условиях низкой кислотности. Факт включения нитрат-иона в состав экстрагируемого комплекса был подтверждении анализом органической фазы методом ИК-Фурье спектроскопии.
Коэффициент распределения иттербия зависит от концентрации экстрагента. В случае выделения весовых количеств металла концентрация свободного экстрагента уменьшается, что сказывается на распределении металла между фазами. На основании полученных экспериментальных данных предложена модель, описывающая зависимость коэффициента распределения иттербия от его концентрации в водной фазе при различных концентрациях экстрагента и кислотностях. Показана удовлетворительная сходимость данных, предсказываемых предложенной моделью, с экспериментальными данными при концентрации HEH[EHP] = 1.0–2.0 моль/л, кислотности 0.5–2.0 моль/л и концентрации лантанида от 0.1 до 5 г/л. Заметные различия расчетных и экспериментально измеренных значений коэффициентов распределения наблюдаются лишь при концентрации экстрагента 0.5 моль/л. Это, вероятно, связано со значительным исчерпанием емкости экстрагента.
Представленные в работе данные были получены в “классическом” варианте экстракции, рассматривающем распределение элемента при однократном контакте несмешивающихся фаз. Значительная зависимость параметров экстракции Yb от кислотности, концентрации экстрагента и концентрации металла в водной фазе позволяет предположить отклонение межфазного распределения иттербия в многоступенчатых экстракционных процессах или в экстракционной хроматографии от распределения, предсказываемого моделями, рассматривающих распределение элементов без учета вышеупомянутых изменений.
Результаты, полученные в настоящей работе, будут использованы для исследования особенностей экстракции микроколичеств лютеция в присутствии макроколичеств иттербия и выявления особенностей их экстракционного разделения. Подобная информация необходима для анализа и разработки модели экстракционного и/или экстракционно-хроматографического отделения микроколичеств лютеция от макроколичеств иттербия, что актуально при реализации технологии получения 177Lu путем облучения 176Yb, концепция которой была предложена в работе [6].
Конфликт интересов
Авторы заявляют об отсутствии конфликта интересов.
Дополнительные материалы
Дополнительные материалы размещены в электронном виде по DOI статьи: https://doi.org/10.31857/S0033831124060078.
Методика определения кислотности растворов.
Табл. Д1. Значения коэффициентов а и b аппроксимирующих уравнений зависимости коэффициента распределения иттербия от концентрации азотной кислоты при различных концентрациях металла и экстрагента.
Табл. Д2. Значения коэффициентов а и b аппроксимирующих уравнений зависимости коэффициента распределения иттербия от концентрации экстрагента при различных концентрациях металла и азотной кислоты.
Табл. Д3. Расчетные и экспериментальные значения коэффициентов распределения при экстракции 0.5 М раствором HEH[EHP] в гексане.
Табл. Д4. Расчетные и экспериментальные значения коэффициентов распределения при экстракции 1 М раствором HEH[EHP] в гексане.
Табл. Д5. Расчетные и экспериментальные значения коэффициентов распределения при экстракции 1.5 М раствором HEH[EHP] в гексане.
Табл. Д6. Расчетные и экспериментальные значения коэффициентов распределения при экстракции 2 М раствором HEH[EHP] в гексане.
Об авторах
К. С. Бобровская
Научно-исследовательский технологический институт им. С.П. Капицы Ульяновского государственного университета
Автор, ответственный за переписку.
Email: rostislavkuznetsov@yandex.ru
Россия, Ульяновск
Р. А. Кузнецов
Научно-исследовательский технологический институт им. С.П. Капицы Ульяновского государственного университета
Email: rostislavkuznetsov@yandex.ru
Россия, Ульяновск
Список литературы
- Dash A., Chakravarty R., Knapp Furn F., Pillai A.M.R. // Curr. Radiopharm. 2015. Vol. 8. N. 2. P. 107. https://doi.org/10.2174/1874471008666150312161942
- Tarasov V., Andreev O., Romanov E., Kuznetsov R., Kupriyanov V., Tselishchev I. // Curr. Radiopharm. 2015. Vol. 8. N 2. P. 95. https://doi.org/10.2174/1874471008666150312160855
- Qi D. Hydrometallurgy of Rare Earths: Extraction and Separation. Elsevier Science, 2018. 804 p. https://doi.org/10.1016/b978-0-12-813920-2.00002-7
- Dash A., Pillai M.R.A., Knapp F.F. // Nucl. Med. Mol. Imaging. 2015. Vol. 49. N 2. P. 85. https://doi.org/10.1007/s13139-014-0315-z
- Kuznetsov R.A., Bobrovskaya K.S., Svetukhin V.V., Fomin A.N., Zhukov A.V. // Radiochemistry. 2019. Vol. 61. N 4. P. 381–395. https://doi.org/10.1134/S1066362219040015
- Horwitz E.P., McAlister D.R., Bond A.H., Barrans R.E., Williamson J.M. // Appl. Radiat. Isot. 2005. Vol. 63. P. 23. https://doi.org/10.1016/j.apradiso.2005.02.005
- Амбул Е.В., Голецкий Н.Д., Медведева А.И., Наумов А.А., Пузиков Е.А., Афонин М.А., Шишкин Д.Н. // Радиохимия. 2022. Т. 64. № 3. С. 233. https://doi.org/10.31857/S0033831122030054
- Амбул Е.В., Голецкий Н.Д., Наумов А.А., Пузиков Е.А., Мамчич М.В., Бизин А.В., Медведева А.И. // Радиохимия. 2023. T. 65. № 3. С. 226. doi: 10.31857/S0033831123030036
- Zhengshui Hu, Ying Pan, Xun Fu, Ying Pan // Solvent Extr. Ion Exch. 1995. Vol. 13. N 5. P. 965. https://doi.org/10.1080/07366299508918312
- Zhu Z., Bian Z., Long Z. // Anal. Meth. 2010. Vol. 2. P. 82. https://doi.org/10.1039/b9ay00187e
- Quinn J.E., Soldenhoff K.H., Stevens G.W., Lengkeek N.A. // Hydrometallurgy. 2015. Vol. 157. P. 298. http://doi.org/10.1016/j.hydromet.2015.09.005
- Lumetta G.J., Sinkov S.I., Krause J.A., Sweet L.E. // Inorg. Chem. 2016. Vol. 55. N 4. P. 1633. https://doi.org/10.1021/acs.inorgchem.5b02524
- Grimes T.S., Tian G., Rao L., Nash K.L. // Inorg. Chem. 2012. Vol. 51. P. 6299. https://doi.org/10.1021/Ic300503P
- Shu Q., Khayambashi A., Wang X., Wei Y. // Adsorp. Sci. Technol. 2018. Vol. 36. P. 1049. https://doi.org/10.1177/0263617417748112
- Su W., Chen Ji, Jing Yu, Liu Ch., Deng Yu, Yang M. // J. Rare Earths. 2018. Vol. 36. N 5. P. 505. https://doi.org/10.1016/j.jre.2017.10.008
- Lécrivain T., Kimberlin A., Dodd D.E., Miller S., Hobbs I., Campbell E., et al. // Solvent Extr. Ion Exch. 2019. Vol. 37. N 3. P. 284–296. https://doi.org/10.1080/07366299.2019.1639371
- Kolarik Z. // Solvent Extr. Ion Exch. 2010. Vol. 28. N 6. P. 707. https://doi.org/10.1080/07366299.2010.515172
- Tasaki Y., Abe Y., Ooi K., Narita H., Tanaka M., Wakisaka A. // Sep. Purif. Technol. 2016. Vol. 157. P. 162. https://doi.org/10.1016/j.seppur.2015.11.038
- Ooi K., Tasaki-Handa Y., Abe Y., Wakisaka A. // Dalton Trans. 2014. Vol. 43. P. 4807. https://doi.org/10.1039/c3dt53407c
Дополнительные файлы








