On the Contact Angles of a Small Sessile Drop and a Captive Bubble in View of the Size Dependence of Surface Tension
- Authors: Sokurov A.A.1
-
Affiliations:
- Institute of Applied Mathematics and Automation – the filial branch of Federal Scientific Center “Kabardin-Balkar Scientific Center of the RAS
- Issue: Vol 87, No 5 (2023)
- Pages: 862-868
- Section: Articles
- URL: https://journals.rcsi.science/0032-8235/article/view/232518
- DOI: https://doi.org/10.31857/S0032823523050144
- EDN: https://elibrary.ru/QPFIEO
- ID: 232518
Cite item
Full Text
Abstract
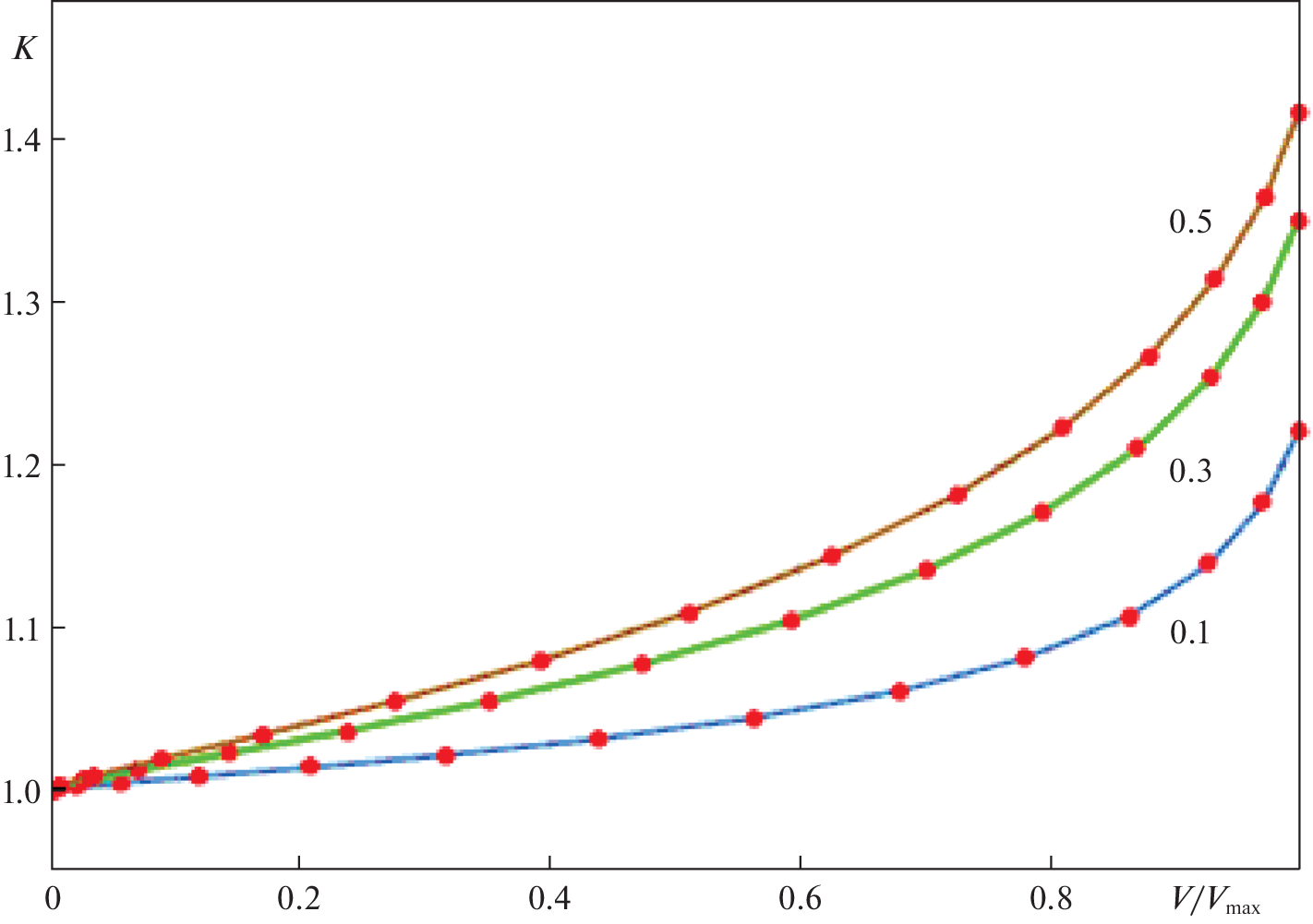
New mathematical models of a sessile drop and a captive bubble are constructed taking into account the size dependence of surface tension. If the Tolman length tends to zero the well-known Bashforth–Adams model can be considered as a special case of the constructed models. Numerical calculations of the contact angles are carried out for various numeric values of the equilibrium volume. The study shows that the size dependence of the surface tension leads to a violation of the consistency condition between the contact angles of a drop and a bubble in an external force field.
About the authors
A. A. Sokurov
Institute of Applied Mathematics and Automation – the filial branch of Federal Scientific Center“Kabardin-Balkar Scientific Center of the RAS
Author for correspondence.
Email: asokuroff@gmail.com
Russia, Nalchik
References
- Rusanov A.I., Prokhorov V. Interfacial Tensiometry. St. Petersburg: Khimija; 1994. 400 p. (in Russian)
- Tatyanenko D.V., Shchekin A.K. Thermodynamic analysis of adsorption and line-tension contributions to contact angles of small sessile droplets // Colloid J., 2019, vol. 81, no. 4, pp. 517–531.
- Rusanov A.I. Thermodynamics of the contact angle of a sessile bubble // Colloid J., 2020, vol. 82, no. 3, pp. 303–310. 4. Zhang H., Zhang X. Size dependence of bubble wetting on surfaces: breakdown of contact angle match between small sized bubbles and droplets // Nanoscale, 2019, vol. 11, no. 6, pp. 2823–2828. 5. Rusanov A.I., Tatyanenko D.V., Shchekin A.K. Comment on “Size dependence of bubble wetting on surfaces: breakdown of contact angle match between small sized bubbles and droplets” by H. Zhang and X. Zhang, Nanoscale, 2019, 11, 2823 // Nanoscale, 2021, vol. 13, no. 7, pp. 4308–4310. 6. Rekhviashvili S.Sh. Some questions concerning a small sessile bubble // Colloid J., 2021, vol. 83, no. 6, pp. 816–818. 7. Rekhviashvili S.Sh. Size Dependence of the surface tension of a small droplet under the assumption of a constant tolman length: critical analysis // Colloid J., 2020, vol. 82, no. 3, pp. 342–345. 8. Rekhviashvili S.Sh., Sokurov A.A. Modeling of a sessile droplet with the curvature dependence of surface tension // Turk. J. Phys., 2018, vol. 42, no. 6, pp. 699–705. 9. Rusanov A.I. Phase Equilibria and Surface Phenomena. Leningrad: KHimija, 1967. 388 p. (in Russian) 10. Wen J., Dini D., Hu H., Smith E.R. Molecular droplets vs bubbles: Effect of curvature on surface tension and Tolman length // Phys. Fluids, 2021, vol. 33, no. 6, pp. 072012. 11. Finn R. Equlibrium Capillary Surfaces. N.Y.: Springer, 1986. 245 p.
Supplementary files





