Flow Structure of a Three-Dimensional Turbulent Wall Jet
- Authors: Gaifullin A.M.1, Shcheglov A.S.1
-
Affiliations:
- Zhukovksy Central Aerohydrodynamic Institute
- Issue: Vol 87, No 2 (2023)
- Pages: 226-239
- Section: Articles
- URL: https://journals.rcsi.science/0032-8235/article/view/138854
- DOI: https://doi.org/10.31857/S0032823523020078
- EDN: https://elibrary.ru/TZECTU
- ID: 138854
Cite item
Full Text
Abstract
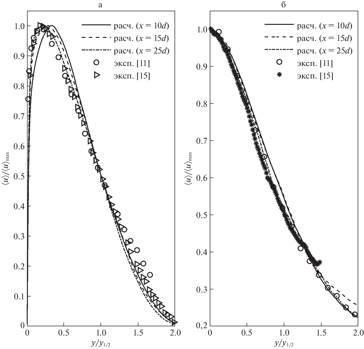
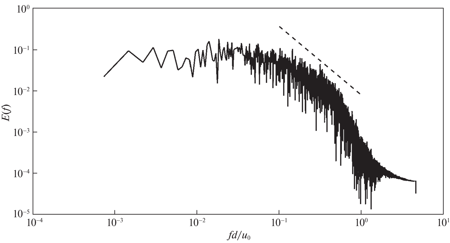
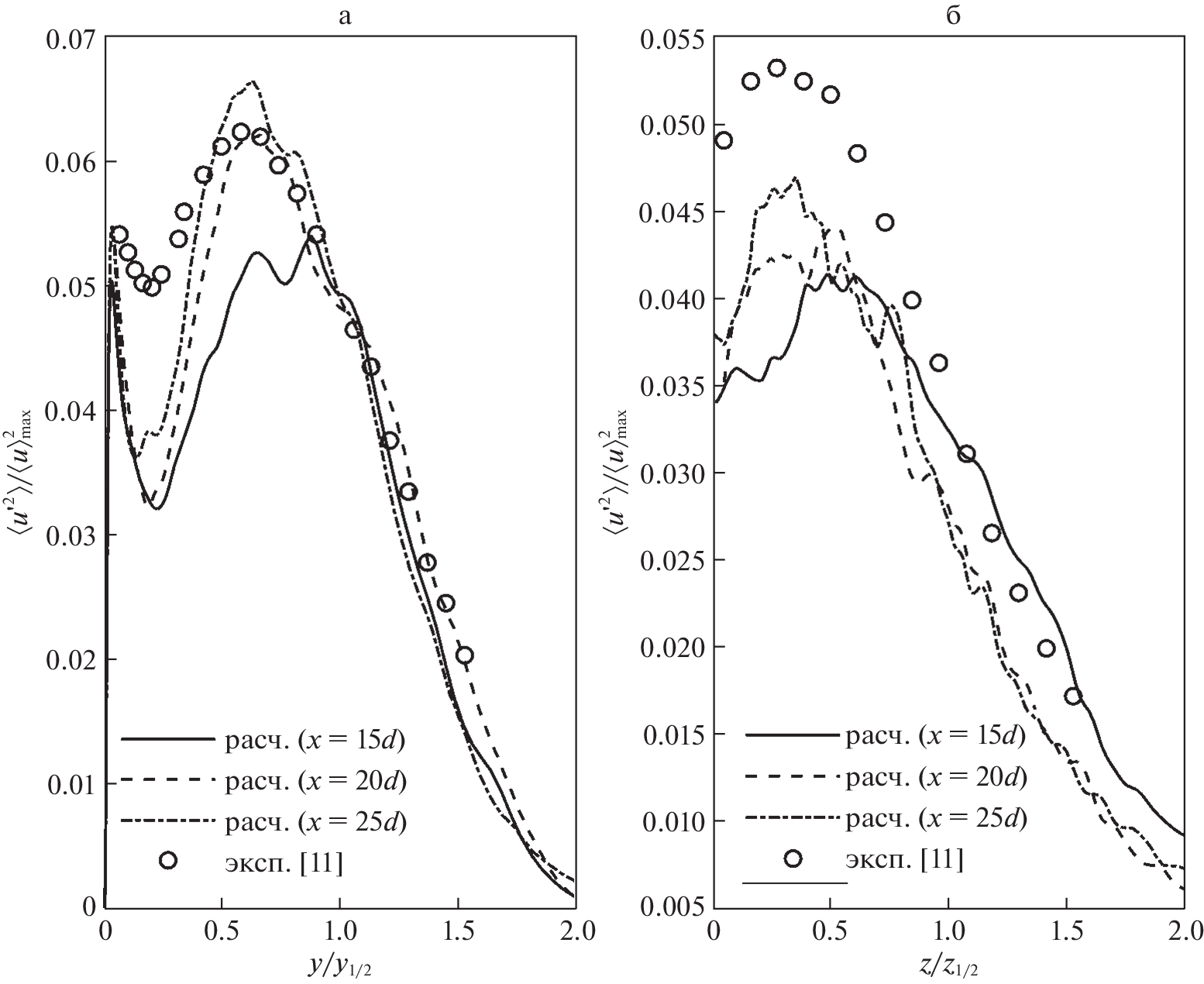
A numerical simulation is conducted to study the flow of a three-dimensional incompressible wall jet. The study is aimed to determine the flow structure and to compare the propagation mechanisms of turbulent and laminar wall jets. The numerical solution of the Navier–Stokes equations in the turbulent case is obtained using the wall-resolved large eddy simulation. The simulation results are compared with experimental data.
Keywords
About the authors
A. M. Gaifullin
Zhukovksy Central Aerohydrodynamic Institute
Author for correspondence.
Email: gaifullin@tsagi.ru
Russia, Zhukovsky
A. S. Shcheglov
Zhukovksy Central Aerohydrodynamic Institute
Author for correspondence.
Email: shcheglov@phystech.edu
Russia, Zhukovsky
References
- Akatnov N.I. Propagation of a plane laminar jet of incompressible liquid along a solid wall // Tr. Leningr. Politekhn. In-ta, Energomash., Tekh. Gidromekh., 1953, no. 5, pp. 24–31. (in Russian)
- Glauert M.B. The wall jet // J. Fluid Mech., 1956, vol. 1, pp. 625–643.
- Schlichting H. Laminare Strahlausbreitung // Z. Angew. Math. Mech., 1933, Bd. 13, H. 4, pp. 260–263.
- Landau L.D. A new exact solution of the Navier–Stokes equations // Dokl. Akad. Nauk SSSR, 1944, Т. 43, no. 7, pp. 299–301. (in Russian)
- But I.I., Gaifullin A.M., Zhvick V.V. Far field of a three-dimensional laminar wall jet // Fluid Dyn., 2021, no. 6, pp. 51–61.
- Gaifullin A.M., Shcheglov A.S. Self-similarity of a wall jet with swirl // Lobachevskii J. Math., 2022, vol. 43, no. 5, pp. 1098–1103.
- Newman B., Patel R., Savage S., Tjio H. Three-dimensional wall jet originating from a circular orifice // Aeron. Quart., 1972, vol. 23, no. 3, pp. 188–200.
- Matsuda H., Iida S., Hayakawa M. Coherent structures in a three-dimensional wall jet // ASME. J. Fluids Eng., 1990, vol. 112, no. 4, pp. 462–467.
- Padmanabham G., Lakshmana Gowda B.H. Mean and turbulence characteristics of a class of three-dimensional wall jets. Pt. 1: Mean flow characteristics // ASME. J. Fluids Eng., 1991, vol. 113, no. 4, pp. 620–628.
- Law A.W.-K., Herlina. An experimental study on turbulent circular wall jets // J. Hydraul. Eng., 2002, vol. 128, no. 2, pp. 161–174.
- Sun H., Ewing D. Effect of initial and boundary conditions on development of three-dimensional wall jets // 40th AIAA Aerosp. Sci. Meeting & Exhibit., 2002, pp. 733.
- Hall J.W., Ewing D. Three-dimensional turbulent wall jets issuing from moderate-aspect-ratio rectangular channels // AIAA J., 2007, vol. 45, pp. 1177–1186.
- Inoue Y., Yano H., Yamashita S. Experimental study on a three-dimensional wall jet // J. Fluid Sci.&Technol., 2007, vol. 2, no. 3, pp. 655–664.
- Namgyal L., Hall J. Reynolds stress distribution and turbulence generated secondary flow in the turbulent three-dimensional wall jet // J. Fluid Mech., 2016, vol. 800, pp. 613–644.
- Agelin-Chaab M., Tachie M.F. Characteristics of turbulent three-dimensional wall jets // ASME. J. Fluids Eng., 2011, vol. 133, no. 2.
- Pani B.S., Rajaratnam N. Swirling circular turbulent wall jets // J. Hydraul. Res., 1976, vol. 14, no. 2, pp. 145–154.
- Kumar S., Kumar A. Effect of initial conditions on mean flow characteristics of a three dimensional turbulent wall jet // Proc. Inst. Mech. Engineers, Pt. C: J. Mech. Engng. Sci., 2021, vol. 235, no. 22, pp. 6177–6190.
- Craft T., Launder B. On the spreading mechanism of the three-dimensional turbulent wall jet // J. Fluid Mech., 2001, vol. 435, pp. 305–326.
- Khosronejad A., Rennie C.D. Three-dimensional numerical modeling of unconfined and confined wall-jet flow with two different turbulence models // Canadian J. Civil Engng., 2010, vol. 37, no. 4, pp. 576–587.
- Kakka P., Anupindi K. Flow and thermal characteristics of three-dimensional turbulent wall jet // Phys. Fluids, 2021, vol. 33, no. 2.
- Nicoud F., Ducros F. Subgrid-scale stress modelling based on the square of the velocity gradient tensor // Flow, Turbul.&Combust., 1999, vol. 62, no. 3, pp. 183–200.
- Van Doormaal J.P., Raithby G.D. Enhancements of the SIMPLE method for predicting incompressible fluid flows // Numer. Heat Transfer, 1984, vol. 7, no. 2, pp. 147–163.
- Menter F.R. Best Practice: Scale-Resolving Simulations in Ansys CFD. https://www.ansys.com/content/dam/product/fluids/cfd/tb-best-practices-scale-resolving-models.pdf
Supplementary files
















