Экспериментальная установка СПАСЧАРМ для исследования спиновых эффектов в адронных взаимодействиях на ускорительном комплексе У-70
- Authors: Абрамов В.В.1, Алексеев Г.Д.2, Алексеев И.Г.3, Андреев В.A.4, Бажанов Н.A.2, Борисов A.A.1, Борисов Н.С.2, Букреева С.И.1, Васильев A.Н.1,5, Гончаренко Ю.М.1, Горин А.М.1, Городнов И.С.2, Деревщиков А.А.1, Должиков А.С.2, Журавлев Н.И.2, Исаев А.Н.1, Калугин Н.К.1, Кожин А.С.1, Козленко Н.Г.4, Козлов В.С.4, Лазарев А.Б.2, Маслова Е.В.1, Маишеев В.А.1, Мельник Ю.М.1, Мещанин А.П.1, Минаев Н.Г.1, Моисеев В.В.1, Морозов Д.А.6, Мочалов В.В.1,5, Неганов А.Б.2, Нестеров В.М.3, Новиков К.Д.1, Новинский Д.В.4, Ногач Л.В.1, Нурушева М.Б.5, Пискун А.А.2, Плис Ю.А.2, Прудкогляд А.Ф.1, Рыжиков С.В.1, Рыков В.Л.5, Рыльцов В.В.3, Рябов А.Д.1, Рябова Т.Д.1, Рязанцев А.В.1, Самигуллин Э.И.3, Свирида Д.Н.3, Семенов П.А.1,5, Сенько В.А.1, Солдатов М.М.1, Соловьев Л.Ф.1, Тараканов В.И.4, Узунян А.В.1, Усов Ю.А.2, Фахрутдинов Р.М.1, Федоров А.Н.2, Шаланда Н.А.1, Якимчук В.И.1, Якутин А.Е.1
-
Affiliations:
- Институт физики высоких энергий им. А.А. Логунова Национального исследовательского центра “Курчатовский институт”
- Объединенный институт ядерных исследований
- Национальный исследовательский центр “Курчатовский институт”
- Петербургский институт ядерной физики им. Б. П. Константинова Национального исследовательского центра “Курчатовский институт”
- Национальный исследовательский ядерный университет “МИФИ”
- Институт физики высоких энергий им. А.А. Логунова Национального исследовательского центра “Курчатовский институт” 142281, Протвино, Московская обл., ул. Победы, 1
- Issue: No 6 (2024)
- Pages: 4–21
- Section: ТЕХНИКА ЯДЕРНОГО ЭКСПЕРИМЕНТА
- URL: https://journals.rcsi.science/0032-8162/article/view/288428
- DOI: https://doi.org/10.31857/S0032816224060017
- EDN: https://elibrary.ru/ELXWZY
- ID: 288428
Cite item
Full Text
Abstract
Начат набор данных на первом этапе экспериментальной программы СПАСЧАРМ по систематическому исследованию спиновых эффектов в сильных взаимодействиях. Приведено описание установки в текущей конфигурации и перечислены характеристики детекторов, достигнутые в течение сеансов 2018–2022 гг.
Full Text
1. ВВЕДЕНИЕ
Экспериментальная установка СПАСЧАРМ (спиновые асимметрии в образовании чармония) предназначена для исследования спиновых эффектов в инклюзивном образовании различных элементарных частиц и резонансов в адрон-адронных столкновениях на ускорительном комплексе У-70 в Протвино [1]. Основной целью эксперимента является систематическое изучение спиновых эффектов во взаимодействии адронов.
Спиновыми эффектами, наблюдаемыми на первом этапе эксперимента СПАСЧАРМ, являются односпиновые поперечные асимметрии в образовании частиц и резонансов на поляризованных протонах мишени, выстроенность спина векторных мезонов и поляризация гиперонов, образованных при взаимодействии неполяризованных адронов. Измерение спиновых эффектов в различных реакциях принципиально важно для раскрытия механизма взаимодействия частиц. Детальная физическая программа эксперимента СПАСЧАРМ и описание всех запланированных детекторов изложены в работе [2].
Программа эксперимента включает изучение поляризационных свойств частиц с массой до 2 ГэВ/с2, в том числе резонансов, распадающихся на две и более частиц в конечном состоянии. Выполнение заявленной физической программы требует эффективной регистрации вторичных частиц, по крайней мере в области фрагментации пучка. Для успешного восстановления резонансов в указанной области масс аксептанс установки важнее, чем импульсное разрешение детекторов, поэтому выбрано не максимальное поле спектрометрического магнита (чтобы регистрировать заряженные вторичные частицы, начиная с импульса 2–3 ГэВ/c), а максимально возможные апертура магнита и детекторов. Для уменьшения систематических ошибок при измерении односпиновых асимметрий в спектрометре реализуется полная геометрия по азимутальному углу.
Сочетание широкого набора пучков и мишеней создает преимущества перед другими поляризационными проектами, созданными под ограниченное число изучаемых реакций.
В представленной работе описан канал экспериментальной установки, детекторы в текущей конфигурации и основные результаты экспериментальных измерений их характеристик при работе на пучке.
2. ВЫВОД ПУЧКА НА ЭКСПЕРИМЕНТАЛЬНУЮ УСТАНОВКУ
Установка СПАСЧАРМ располагается на канале 14 [3, 4] ускорительного комплекса У-70, в настоящее время можно осуществить вывод на экспериментальную установку пучков нескольких типов. В первую очередь это пучок отрицательных адронов, в состав которого входят p–-мезоны (более 98%), K–-мезоны (около 1.5%) и антипротоны (около 0.2%). Для калибровки аппаратуры есть возможность получения электронного пучка. Кроме того, из ускорителя с помощью изогнутого монокристалла можно вывести первичный протонный пучок.
Все пучки выводятся из вакуумной камеры ускорителя в результате взаимодействия протонов с установленными там мишенями или монокристаллами. Формирование пучка частиц, вышедших из ускорителя, производится с помощью магнитооптического оборудования канала 14.
Для создания пучка отрицательных частиц на каналах 2 и 14 [5] используется внутренняя бериллиевая или углеродная мишень, установленная в 24-м блоке ускорителя на расстоянии 40 мм от равновесной орбиты. Пучок отрицательных частиц выводится из вакуумной камеры ускорителя за счет собственного поля магнитов ускорителя. Выбор пучка с необходимым импульсом обеспечивается выбором положения импульсного коллиматора и магнитом М5 канала 14, который поворачивает пучок примерно на 13.2 мрад в сторону от ускорителя, а расположенный далее магнит М18 поворачивает в противоположную сторону на угол 21.6 мрад, обеспечивая попадание на мишень эксперимента. Минимальный размер пучка на мишени достигается четырьмя парами квадруполей для фокусировки пучка. Для точного наведения на пучок дополнительно могут использоваться два небольших корректирующих магнита (вертикальный и горизонтальный) [6].
При энергии пучка протонов 50 ГэВ в ускорителе У-70 оптимальный и используемый пучок имеет импульс около 27 ГэВ/c, интенсивность пучка до 106 част./цикл при наведении на внутреннюю мишень 7∙1011 протонов, импульсный разброс Δp/p ≈ ±3%, угловой разброс пучка в области мишени (горизонтальный, вертикальный) равен соответственно (±1.2, ±1.3) мрад, размер пучка в области мишени (σx, σy) = (4.4, 5.4) мм.
Электронный пучок, необходимый для калибровки электромагнитного детектора, можно получить также от внутренней мишени ускорителя (используется углеродная мишень 24E) аналогично пучку отрицательных частиц, разместив на пути выведенного из вакуумной камеры ускорителя пучка отрицательных частиц конвертор [7]. Такой подход позволяет создавать пучки электронов от 1 до 45 ГэВ при номинальной (70 ГэВ) энергии протонов в У-70 [8]. В настоящее время основной режим ускорительного комплекса — 50 ГэВ, а оптимальное значение импульса пучка выведенных электронов — 19 ГэВ/c с импульсным разбросом около 4%.
Одним из важных инструментов для измерения выстроенности векторных мезонов и поляризации гиперонов является пучок протонов, выведенный непосредственно из вакуумной камеры ускорителя с помощью кристаллического дефлектора [9]. Дефлектор, представляющий собой монокристалл кремния, имеющий форму параллелепипеда L × H × L = 64 × 15 × 0.6 мм³, изогнутый на 80 или 70 мрад (в зависимости от места расположения дефлектора), вводится непосредственно в вакуумную камеру ускорителя. Для точного наведения существует возможность менять угол и координату с помощью прецизионного гониометра. Особенностью такого пучка является не только вывод протонов с максимальной энергией ускорителя, но и минимальный импульсный разброс и размер пучка. Для увеличения эффективности вывода с помощью монокристалла и улучшения временной структуры выведенного пучка вводится тонкая внутренняя мишень, которая используется для получения пучка отрицательных частиц. При угле изгиба монокристалла кремния 80 мрад и оптимизации параметров канала транспортировки пучка с энергией 50 ГэВ достигнуты на мишени эксперимента следующие параметры: интенсивность 107 протонов/цикл (1012 протонов/цикл на кристалле), размеры пучка по горизонтали и вертикали менее 5 мм, угловые расходимости менее 0.5 мрад, импульсный разброс пучка — ∆p/p = ±0.1%, примесь фоновых частиц в протонном пучке менее 0.03% [10].
3. АППАРАТУРА ЭКСПЕРИМЕНТАЛЬНОЙ УСТАНОВКИ СПАСЧАРМ
Установка СПАСЧАРМ схематически представлена на рис. 1 и состоит из следующей аппаратуры:
- система пучковых детекторов. Предназначена для выработки первичного триггера, определения сорта пучковых частиц и их пространственных координат на мишени;
- комплекс протонной поляризованной мишени с магнитом. Вокруг мишени расположена вето-система для подавления гало пучка и выделения эксклюзивных реакций;
- спектрометр установки состоит из 57 плоскостей трековых детекторов и широко-апертурного магнита;
- электромагнитный калориметр из 720 счетчиков из свинцового стекла;
- регистрирующая электронная аппаратура и система сбора данных, позволяющие принимать до 25 тыс. событий в секунду;
- система медленного контроля и вспомогательная электронная аппаратура;
- программный комплекс SpascharmRoot.
3.1. Пучковая аппаратура
Система пучковых детекторов включает в себя сцинтилляционные счетчики S1, S2 и S3, пороговые черенковские счетчики Č1, Č2 (не показаны на рис.1) и Č3, а также сцинтилляционные годоскопы H1–H4.
Рис. 1. Схема экспериментальной установки СПАСЧАРМ.
3.1.1. Сцинтилляционные счетчики. В качестве детекторов, вырабатывающих триггер, используются счетчики S1, S2 и S3 на быстрых сцинтилляторах, имеющих фронт высвечивания менее 0.5 нс, с фотоэлектронными умножителями, обеспечивающими длительность импульса по основанию менее 5 нс. В установке используются четыре триггерных счетчика. Три из них расположены в головной зоне канала до мишени и позволяют добиться высокой эффективности выработки сигнала совпадений: при загрузке пучком до 2∙10⁶ частиц в секунду число случайных совпадений не превышает 3%. Первые два счетчика имеют диаметр сцинтиллятора 100 мм, перекрывают полную апертуру пучка в местах их установки и расположены на расстоянии 20 и 9.5 м до центра мишени. Свет регистрируется фотоумножителями XP1020 с автономными источниками питания, расположенными на делителях фотоумножителей. Третий счетчик с диаметром сцинтиллятора 14 мм и ФЭУ-85 располагается непосредственно перед входным окном криостата поляризованной мишени на расстоянии 2.2 м от центра мишени. Подробнее описание этих счетчиков приведено в работе [11].
Для выделения взаимодействий пучка используется сцинтилляционный счетчик BK, расположенный на оси пучка после всех трековых детекторов. Этот счетчик имеет такие же характеристики, как S1 и S2.
3.1.2. Пороговые черенковские счетчики. При работе с пучком отрицательных частиц возникает необходимость идентификации частиц, особенно при изучении реакций с использованием K–-мезонов в качестве пучковых частиц. Для идентификации пучковых частиц используются три пороговых детектора черенковского излучения. Их длины от фланца до зеркала равны соответственно 4.85, 3.4, 4.5 м. Черенковский свет регистрируется фотоумножителями 56DUVP, сигналы с которого после усиления поступают на дискриминаторы и записываются системой сбора данных. Два первых счетчика откачаны до давления 40.53 кПа (0.4 атм), а третий работает при атмосферном давлении. При этом порог регистрации K–-мезонов для первого счетчика равен примерно 53.7 кПа (0.53 атм), а порог регистрации (анти)протонов для счетчика Č3 чуть меньше 202 кПа (2 атм). Таким образом, p–-мезоны с эффективностью, близкой к единице, регистрируются всеми тремя черенковскими счетчиками, а K–-мезоны — только третьим счетчиком (антипротоны не регистрируются ни одним из счетчиков).
Данные со всех черенковских счетчиков поступают в регистры и записываются системой сбора данных, а при необходимости могут использоваться в триггере.
3.1.3. Сцинтилляционные годоскопы. Четыре сцинтилляционных годоскопа образуют телескоп для определения координат пучка. Первые два годоскопа расположены друг за другом в месте установки второго триггерного счетчика на расстоянии 9.9 м от центра мишени. Суммарно они перекрывают апертуру пучка в этой зоне и обеспечивают точность регистрации координат частиц пучка лучше 2 мм. Третий и четвертый годоскопы расположены на расстоянии 3.3 м от центра мишени. Сигнал с первого годоскопа с шагом 5 мм регистрируется фотоумножителями PS2010, второй и третий годоскопы с шагом 2 мм снабжены фотоумножителями ФЭУ-60 и ФЭУ-85 соответственно [11].
Наилучшее координатное разрешение имеет четвертый годоскоп на основе сцинтилляционного волокна, состоящий из двух одинаково устроенных и расположенных близко друг к другу взаимно перпендикулярных плоскостей [12]. Рабочая область годоскопа составляет 42×42 мм². В каждой из плоскостей сцинтилляционные волокна SCSF-38 фирмы Kuraray диаметром 0.5 мм образуют кассету из 96 колонок, расположенных с шагом 0.44 мм. Эффективность регистрации годоскопом одиночных частиц по всем каналам в среднем достигает 99%. Точность восстановления координаты пучка в области мишени равна примерно 1 мм.
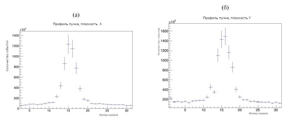
3.1.4. Профилометр. В сеансе 2022 испытания на пучке прошел прототип еще одного пучкового детектора — профилометра мишени. При проведении измерений с поляризованной мишенью очень важно, чтобы пучок проходил точно через само вещество мишени, а не через металл криостата. Для выделения пучка, проходящего через мишень, используется счетчик S3 на входе в криостат. Однако при длине криостата 2 м важно знать положение пучка именно на выходе из него. Задача осложняется тем, что в этом месте не может быть помещен детектор с большими габаритами типа пропорциональной камеры, а достаточно сильное магнитное поле от магнита поляризованной мишени не позволяет использовать детектор с регистрацией света с помощью ФЭУ. Поэтому для этих целей был разработан и изготовлен сцинтилляционный годоскоп с шагом 3 мм и кремниевыми фотоумножителями (SiPM) в качестве фотодетекторов (MicroFC-30035-SMT фирмы SensL). Свет из сцинтиллятора попадает в SiPM непосредственно, без оптических волокон. Усилители, расположенные в непосредственной близости от SiPM, обеспечивают высокую чувствительность и стабильность работы детектора. Рядом с усилителями расположены компараторы. Далее сигналы передаются в цифровом виде по стандарту LVDS. Для регистрации сигналов профилометра была разработана бестриггерная электроника, расположенная рядом с детектором, которая управляется по сети Ethernet и формирует отдельный поток в системе сбора данных. На рис. 2 представлены профили пучка π-мезонов по координатам X и Y в сеансе 2022, зарегистрированные профилометром в интегрирующем бестриггерном режиме. Следует отметить, что полученные профили, по сути, — одиночный счет фотодетекторов без совпадений с триггерным счетчиком. Как видим, шумовые характеристики SiPM вполне допускают эффективно использовать детектор в бестриггерном режиме.
3.1.5. Вето-система вокруг мишени. Вето-система вокруг мишени используется для выделения эксклюзивных реакций. Система регистрирует заряженные частицы и γ-кванты, рождающиеся в рабочем образце мишени и вылетающие под большими углами в лабораторной системе координат (0.25 < θ < π – 0.25) [2]. Детектор вето-системы состоит из двух одинаковых модулей, которые крепятся к магниту поляризованной мишени и могут перемещаться в горизонтальной плоскости в противоположных направлениях перпендикулярно оси пучка. Это позволяет выводить вето-систему из пространства между полюсами магнита для их смыкания на время накачки поляризации мишени и возвращать ее в рабочее положение после окончания накачки.
Восемь каналов регистрации сигналов с вето-системы считываются (поступают в регистры) и записываются системой сбора данных для дальнейшего анализа.
3.2. Комплекс “замороженной” поляризованной протонной мишени
Важнейшей частью экспериментальной установки СПАСЧАРМ является поляризованная мишень замороженного типа, где поляризация сохраняется благодаря низкой температуре. Для сохранения накаченной поляризации образец охлаждается до Т ≈ 30 мК, при этом требования к величине и однородности магнитного поля существенно снижаются. Это позволяет при наборе статистики раздвинуть полюса магнита на расстояние 25 см и обеспечить большой телесный угол установки. При величине магнитного поля около 0.4 Тл с невысокой однородностью (около 1%) достигается время релаксации поляризации до нескольких сот часов, а потери величины поляризации образца за время экспозиции составляют 5–10%.
Рис. 2. Профили пучка по горизонтали и вертикали на выходе из криостата мишени, центр профилометра геометрически совпадает с центром криостата, шаг 3 мм.
Комплекс “замороженной” поляризованной протонной мишени является сложным криогенным оборудованием и включает в себя:
3.2.1. Криостат поляризованной мишени. В установке использован гелиевый криостат горизонтального типа с рефрижератором растворения 3He в 4He. Тепловая изоляция низкотемпературных узлов криостата осуществляется вакуумной рубашкой и герметичными экранами при температурах 77 К и 1 К. После накачки поляризации при температуре Т = 0.2–0.3 К рефрижератор растворения 3He в 4He обеспечивает непрерывное охлаждение поляризованной мишени до Т ≈ 30 мК, что позволяет сохранять значение поляризации протонов слабоменяющимся в течение набора статистики в слабом магнитном поле около 0.4 Тл (замороженный режим).
Циркулирующий газообразный гелий 3He охлаждается последовательно в теплообменниках азотного бака, бака 4He, одноградусной (1 К) ванне, конденсируется и поступает в теплообменник ванны испарения 3He, а затем поступает в канал теплообменника. Теплообменник заканчивается ванной растворения. Из теплообменника 3He поступает в нижнюю часть ванны растворения и “всплывает” по каналам между шариками вещества мишени, растворяясь при этом и охлаждая вещество мишени. Диффундируя вдоль канала теплообменника с раствором с градиентом концентрации, 3He поступает в ванну испарения. Откачка гелия 3He из ванны испарения осуществляется насосами. После насосов 3He проходит через азотную ловушку и возвращается в криостат. Более подробно криостат поляризованной мишени описан в работе [13].
Для контроля температуры в узлах рефрижератора растворения мишени используются углеродные термисторы трех типов: Allen-Bradly, Speer и ТВО. Для измерения их сопротивления используется разработанный в ОИЯИ многоканальный прибор измерения температуры. Особенностью прибора является применение двойной частотной модуляции измерительного сигнала, что позволяет существенно уменьшить чувствительность системы измерения к наводкам и помехам и повысить точность измерений при сверхнизкой температуре. Прибор является частью системы медленного контроля криостата мишени, в которую также входит прибор измерения уровней жидкого гелия в баке с температурой 4К и ванне с температурой 1К.
3.2.2. Рабочее вещество мишени. Рабочим веществом поляризованной мишени в настоящее время является пентанол (C3H12O) с парамагнитной TEMPO (C9H18NO)1. Фактор разбавления (отношение числа всех нуклонов к числу поляризуемых протонов) составляет 8.4. Рабочее вещество мишени в виде шариков диаметром до 2 мм, замороженных в жидком азоте, засыпается в тефлоновую ампулу диаметром 20 мм и длиной 200 мм. Ампула вставляется в ванну растворения криостата при азотной температуре. Количество вещества в мишени 13.2 г/см2. Это соответствует примерно 10% длины взаимодействия для π-мезонов с энергией 28 ГэВ. Для сохранения свойств рабочее вещество мишени должно находиться постоянно при температуре жидкого азота.
Таблица 1. Список трековых детекторов установки и их основные характеристики
Детекторы | Расстояние | Композиция | Шаг проволок | Размер камеры, | Число | HV, кВ |
PWC1 | 0.86 | X,Y | 1 | 20×20 | 400 | 3250 |
PWC2 | 0.94 | X,Y | 1 | 20×20 | 400 | 3150 |
PWC3 | 1.02 | X,Y | 1 | 20×20 | 400 | 3150 |
DTS0 | 1.37 | U,V,X,Y | 15 | 32×32 | 384 | 1950 |
DTS1 | 1.93 | X,Y,U,V | 30 | 72×96 | 336 | 2250 |
DTS3 | 5.52 | X,Y,U | 30 | 120×168 | 432 | 2250 |
DTS4 | 10.05 | X,Y,U | 30 | 192×240 | 672 | 2250 |
DTS5 | 8.16 | X,Y,U | 30 | 192×240 | 672 | 2250 |
3.2.3. Аппаратура накачки и измерения поляризации протонов мишени. Максимальная величина поляризации (для пентанола теоретическое значение 75%) достигается методом динамической поляризации ядер (ДПЯ). Для осуществления ДПЯ необходимы одновременно следующие условия и аппаратура: СВЧ-генератор с частотой около 70 ГГц и магнитное поле B = 2.4 Тл с относительной однородностью σB /B ∼ 10-4 во всем рабочем объеме мишени (∼ 60 см3).
Метод основан на эффекте возбуждения электронного парамагнитного резонанса (ЭПР) с поляризацией атомных электронов в магнитном поле и последующей передачей поляризации протонам в результате цепочки атомных переходов [14]. Частота ЭПР зависит от индукции магнитного поля. Имеющийся в нашем распоряжении СВЧ-генератор изготовлен в АО “Научно-производственное предприятие “ИСТОК” им. Шокина” и покрывает диапазон частот от 66.17 до 67.17 ГГц. Для ЭПР этот диапазон соответствует индукциям от 2.365 до 2.401 Тл, необходимым для успешной накачки поляризации протонов в мишени.
Величина поляризации измеряется методом ядерного магнитного резонанса (ЯМР) при поле накачки. Для этой цели в ОИЯИ изготовлен Q-метр для контроля и измерения величины поляризации.
Накачка и измерение поляризации проходит при температуре 0.2–0.3 К.
3.2.4. Магнит поляризованной мишени. Накачка поляризации в мишени осуществляется в поперечном магнитном поле специально разработанного и изготовленного магнита с теплыми обмотками. Поле в нем формируется полюсами из пермендюра 49КФ, шириной 164 мм, длиной 1000 мм и толщиной 80 мм. Поток поля замыкается через магнитопроводы из стали 3.
Для успешной накачки поляризации протонов по всему рабочему объему мишени необходимо, чтобы неоднородность магнитного поля внутри этого объема не превышала естественной ширины линии поглощения сигнала ядерного магнитного резонанса в идеально-однородном поле. Эта ширина обусловлена диполь-дипольным взаимодействием протонов в веществе мишени и его структурой [14]. В пентаноле C5H12O с добавкой радикала TEMPO, используемом в настоящее время в качестве рабочего вещества, относительная ширина линии поглощения (RMS) составляет около 1.65∙10-4.
В центральной части магнита, в цилиндре диаметром 20 мм и длиной 200 мм, после дополнительного шиммирования было получено однородное поле с индукцией, равной примерной 2.4 Тл, с максимальной относительной вариацией от минимума к максимуму около ±4∙10-4 и среднеквадратичным отклонением от константы по объему примерно ±1.3∙10-4. Результатом стало успешное получение поляризации мишени составляющей около 75%, и при такой поляризации был проведен сеанс по набору статистики на пучке.
Верхний и нижний магнитопроводы вместе с полюсами могут симметрично сдвигаться или раздвигаться с помощью системы перемещения. В сдвинутом состоянии при высоте зазора между полюсами 75 мм и номинальном токе питания магнита 1440 А поле в его центральной части достигает 2.4 Тл. Именно в этом режиме осуществляется накачка поляризации мишени. Затем, после охлаждения мишени еще на порядок, до Т ~ 0.03 К, полюса раздвигаются на 250 мм, открывая апертуру магнита для вторичных частиц, вылетающих из мишени. Поле при этом уменьшается примерно до 0.4 Тл, и поляризация мишени удерживается для проведения измерений на пучке.
Подробно описание магнита и процедура оптимизации магнитного поля представлена в работе [2].
3.3. Магнитный спектрометр для измерения импульсов частиц
Физическая программа эксперимента предусматривает регистрацию заряженных частиц, измерение их импульса и, по возможности, восстановление вершин, включая первичную. В этом случае трековая система должна иметь достаточно большой аксептанс и позволять восстанавливать распады гиперонов и мезонов. Для уменьшения систематической ошибки измерения спиновых эффектов вторичные частицы должны регистрироваться во всем азимутальном угле. Исходя из этих условий была подготовлена схема, включающая в себя широкоапертурный магнит и систему трековых детекторов.
3.3.1. Широкоапертурный магнит. Для целей импульсного анализа заряженных частиц в эксперименте СПАСЧАРМ используется большой спектрометрический магнит, преимущественно вертикальное поле в котором формируется стальными полюсами с размерами X×Z = 0.8×1 м2. Его апертура с размерами X×Y = 2.3×1 м2 с запасом перекрывает целевой угловой аксептанс примерно не менее чем на ±110 мрад в обеих плоскостях, который определяется в основном поперечными размерами трековых детекторов. Магнит эксплуатируется при токе 1 кА/виток и создает поле в центре около 0.6 Тл.
Поле спектрометрического магнита далеко от однородного. Для его использования в трекинге заряженных частиц были проведен расчет и детальные измерения топографии поля. Измерения всех трех компонент поля были сделаны в 34 496 точках на решетке с шагом 4 см по каждой из координат системой датчиков Холла в объеме, размерами X×Y×Z = 1.24×0.84×1.96 м3. Среднеквадратичное отклонение (RMS) расчетов и измерений в рабочей апертуре для всех трех компонент поля было найдено равным примерно ±1 мТл, что составляет около ±0.2% от поля в центре магнита.
Абсолютная нормировка расчетного и измеренного магнитного поля при токе питания 1 кА на виток совпала с точностью около 0.2%. Интеграл поля вдоль пучка по линии, проходящей через центр магнита, равен 0.703 ± 0.001 Тл∙м. Индукция в центре магнита равна 0.5398 ± 0.0004 Тл. Центр спектрометрического магнита расположен по пучку на расстоянии 3.41 м от центра поляризованной мишени. До и после магнита размещены стальные экраны для защиты трековых детекторов от рассеянного магнитного поля. Максимальная величина рассеянного поля в зоне ближайшего трекового детектора равна примерно 15–17 мТл. Более подробно характеристики магнита и результаты магнитных измерений описаны в работе [6].
3.3.2. Трековая система. Основная функциональная часть спектрометра — трековая система, определяющая координаты треков заряженных частиц до и после анализирующего магнита с точностью до 300 мкм. Детекторами трековой системы являются пропорциональные камеры и камеры на основе дрейфовых трубок. Ниже дано описание всех используемых трековых детекторов. В табл. 1 приведен список этих детекторов с их краткими характеристиками.
Три двухкоординатные станции пропорциональных камер с размерами чувствительной области 200×200 мм² и шагом сигнальных проволочек 1 мм, изготовленные в НИЦ “Курчатовский институт” — ПИЯФ (электроника изготовлена в НИЦ “Курчатовский институт” — ИТЭФ) [15], установлены сразу после магнита поляризованной мишени (см. рис. 1), где необходимы детекторы, работающие c высокой эффективностью при большой интенсивности.
Продув камер осуществляется газовой смесью, состоящей из 74.85% Ar, 25% изобутана и 0.15% CF3Br. Суммарный газовый объем пропорциональных камер установки невелик и составляет около 10 л, так что при расходе газовой смеси 0.2 л/мин время подготовки камер к работе составляет 8–10 ч, а одного баллона наиболее расходуемого газа — аргона, хватает на 30 суток непрерывного поддержания указанного режима. Выбранный порог чувствительности камер составляет 12 мВ, при этом эффективность работы камер выходит на плато при напряжении 3.0–3.1 кВ. Эффективность работы камер в сеансах превышает 99% (рис. 3).
Рис. 3. Множественности срабатывания всех шести плоскостей пропорциональных камер, определяющие эффективность.
Остальные трековые детекторы выполнены по разработанной в НИЦ “Курчатовский институт” — ИФВЭ технологии изготовления тонкостенных майларовых дрейфовых трубок [16]. Первая дрейфовая станция DTS1 состоит из двух двуслойных камер с трубками диаметром 15 мм [17] и рабочей областью 48 × 48 см2. Одна из этих камер повернута на угол 45○ относительно вертикали. Каждый слой (X и Y) состоит из трех рядов дрейфовых трубок, склеенных между собой, средний ряд сдвинут на полшага относительно крайних. Трубки плотно упакованы в три слоя, в каждом из которых по 96 трубок, расстояние между любыми соседними сигнальными проволоками — 15.5 мм (см. рис. 4).
Рис. 4. Схема расположения трубок диаметром 15 мм в дрейфовых камерах из майлара.
Шаг между трубками составляет 15.5 мм, это расстояние определяется точными поверхностями торцевых элементов. Количество трубок в слое кратно 8, что определяется модульностью электроники. Эти камеры имеют нечувствительную зону размером 3×3 см2 и работают эффективно в интенсивных пучках частиц. Остальные станции камер (DTS1-DTS5) собраны из трубок диаметром 30 мм по той же технологии [18]. Нечувствительная зона длиной 6 см в этих камерах состоит из двух (или трех) трубок.
Рис. 5. Слева — усредненная счетная характеристика одной из камер, справа — зависимость эффективности одного из слоев камеры от напряжения.
Камеры на основе дрейфовых трубок работают на стандартной газовой смеси, состоящей из 93% Ar и 7% CO2. В рабочем режиме давление в камерах поддерживается около 116.5 кПа (1.15 атм). Дрейфовые камеры установки в сумме имеют газовый объем около 2700 л. Для приведения камер в оптимальное рабочее состояние требуется расход газовой смеси около 5 л/мин в течение суток (примерно три объема камер). Счетная характеристика одной из камер, полученная при тестовых измерениях с помощью атмосферных мюонов в бестриггерном режиме, показана на рис. 5 слева, справа показана зависимость эффективности камеры от напряжения. На основании подобных измерений были выбраны рабочие напряжения: 1950 В для трубок диаметром 15 мм и 2250 В для трубок диаметром 30 мм.
Рис. 6. Нестабильность эффективности трековой системы (RMS) за сутки по плоскостям. По оси X – идентификатор плоскости трековой системы в виде: станция (X0-U4) ), номер слоя(L1-3).
Опыт эксплуатации этих детекторов указывает на необходимость уделять особое внимание составу газовой смеси для стабильной во времени эффективности регистрации. Майлар как материал стенок дрейфовых трубок, выбранный из соображений минимизации вещества на пути заряженных частиц, приводит к появлению примесей в газовой смеси (кислород, водяные пары) в течение нескольких часов. Это является причиной заметного изменения таких существенных характеристик детекторов, как скорость дрейфа и газовое усиление. Для обеспечения стабильных характеристик такие детекторы требуют постоянного продува газовой смеси, эффективность так же зависит от скорости продува. Из-за особенностей конструкции, однако, система дрейфовых трубок имеет высокое сопротивление при продуве, что при недостаточной скорости продува приводит к неоднородности состава газовой смеси по площади детектора, а при слишком высокой скорости, — к существенному перепаду давления в трубках детектора. После нескольких тестовых измерений была выбрана оптимальная скорость продува, равная 1.0–1.5 объема в сутки, при которой стабильность эффективности регистрации в течение суток не превышала 0.1 процента. На рис. 6 показана нестабильность эффективности всех камер за сутки.
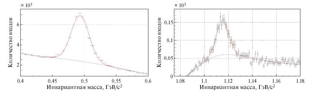
Рис. 7. Спектры инвариантных масс h⁺h⁻ — пар для p⁻-взаимодействий; слева – обе частицы считались пионами, справа – положительно заряженному треку приписывалась масса протона.
Для демонстрации работы трековой системы на рис. 7 представлены массовые спектры зарегистрированных на части набранной в осеннем сеансе 2021 г. статистике Kₛ⁰-мезонов и Λ-гиперонов. Масса восстановленного Λ-гиперона составила 1115.9 МэВ/c2, а ширина (σ) распределения по массе Λ-гиперонов составляет 4.8 МэВ/c2, ширина (σ) распределения по массе Kₛ⁰-мезонов — 12.3 МэВ/c2.
3.4. Электромагнитный калориметр
В настоящее время в эксперименте СПАСЧАРМ используется гамма-детектор установки ПРОЗА–ЧСПП720 [11], состоящий из 720 счетчиков из свинцового стекла размером 38.1 × 38.1 × × 450 мм³ (18 радиационных длин), и ФЭУ-84 в качестве фотодетекторов. Полученные электрические сигналы после аналоговой задержки на 60-метровых коаксиальных кабелях приходят на входы 12-битовых аналого-цифровых преобразователей (АЦП) с чувствительностью 250 фК на отсчет.
Для выравнивания энергетической шкалы калориметра каждый канал имеет индивидуальную подстройку высокого напряжения делителя ФЭУ. В процессе калибровки, которая проводится на пучке электронов с энергией 19 ГэВ, калориметр перемещается на специальной подставке в горизонтальном и вертикальном направлениях для покрытия пучком всей площади калориметра. При первичной настройке напряжение всех каналов, по возможности, выбиралось таким образом, чтобы амплитуда сигнала составляла 800 мВ, когда пучок засвечивает данный счетчик. Основная калибровка проводилась в автоматическом режиме, при котором все счетчики были примерно равномерно засвечены пучком. Требовалось, чтобы для каждого счетчика было набрано не менее 5000 триггеров на пучок электронов. Электроника управления системой перемещения в сеансах 2021 г. была полностью заменена на новую. Особенностями нового управления перемещением являются многооборотные магнитные датчики Briter для выставления и определения абсолютного положения калориметра и поддержка сетевой архитектуры на основе протокола TCP/IP для стыковки с системой медленного контроля СПАСЧАРМ.
Рис. 8. Распределение калибровочных коэффициентов для электромагнитного калориметра ЧСПП720.
На рис. 8 показано распределение калибровочных коэффициентов, полученных в 2022 г. при сканировании пучком электронов. Разброс калибровочных коэффициентов для всех каналов калориметра, за исключением периферийных, не превышает 15% со средним коэффициентом преобразования 5.3 МэВ на отсчет АЦП.
3.5. Электронная регистрирующая аппаратура
Используемая в эксперименте СПАСЧАРМ регистрирующая электроника (ВЦП, АЦП, регистры, счетчики) в основном разработана и произведена в отделе электроники и автоматики НИЦ “Курчатовский институт” — ИФВЭ в стандарте “ЕвроМИСС” [19], который позволяет передавать 16-битовые слова данных одновременно с адресной информацией по шине от модуля регистрации до контроллера со временем цикла 100–200 нс в зависимости от типа модуля. При среднем размере события в каркасе 100–200 слов такая шина ограничивает скорость приема событий до 25 кГц.
Для считывания информации с камер на основе дрейфовых трубок используются модули время-цифровых преобразователей (ВЦП) ЕМ3 [20] на 128 каналов на базе микросхемы HPTDC [21], позволяющей измерять время с точностью до 25 пс на отсчет. Информация со всех каналов дрейфовых трубок распределена по двум каркасам для уменьшения времени передачи.
Информация с калориметров оцифровывается 48-канальными модулями 12-битовых АЦП ЕМ6 [22] и временем преобразования менее 5 мкс.
Информация с пучковых детекторов (годоскопов и черенковских счетчиков) поступала в 128-канальные регистры ЕМ4 с памятью на 1 мкс и шагом 5 нс, а информация со сцинтилляционных триггерных счетчиков в быстрые 8/16-канальные счетчики разрядностью 32/16 битов ЕМ9 [19].
Для регистрации сигналов с дрейфовых трубок используется 8-канальная плата усиления-дискриминации ADB-8 v.3, разработанная в ЛЯП ОИЯИ (Дубна) на базе заказных интегральных микросхем Ampl-8.3 [23] и Disc-8.3 [24], хорошо зарекомендовавших себя в работе с мини-дрейфовыми трубками в составе мюонных систем экспериментов DΖ (Лаборатория Ферми, Батавия) и COMPASS (ЦЕРН, Женева). Данные микросхемы усилителя и дискриминатора проектировались в тандеме специально для считывания сигналов с газовых камер. Работа канала платы ADB-8 v.3 в основном определяется параметрами данных микросхем и соответственно характеризуется:
- высокой устойчивостью к высоковольтным пробоям по входу (низкоомный вход усилителя, встроенная диодная защита от выбросов обоих полярностей);
- высоким коэффициентом преобразования тока в напряжение (Кпр) при низком шуме (Кпр =130 мВ/мкА, среднеквадратичный шум равен 60 нА при Сдет = 60 пФ);
- широким динамическим диапазоном (52 дБ, линейность усиления до 50 мкА входного тока);
- высокой стабильностью работы и устойчивостью к возбуждению (низкие межканальные помехи (менее –52дБ), дифференциальные каскады в схемах усиления и дискриминации, усилитель без обратной связи, усилитель и дискриминатор выполнены в отдельных корпусах);
- высокой радиационной стойкостью [25] (микросхемы выполнены на биполярных транзисторах по технологии BJT-JFET).
Помимо канала усиления-дискриминации на микросхемах Ampl-8.3 и Disc-8.3, плата ADB-8 v.3 содержит генератор тестовых сигналов, блок управления порогом дискриминаторов с предустановленным порогом в 1мкА и стабилизированный источник питания выходов дискриминаторов. Питание всех схем платы (±5.2 В) осуществляется через регуляторы напряжения, соответственно, для платы напряжение может составлять ±8–10 В.
Регистрация данных с пропорциональных камер осуществлялась регистрирующей электроникой [26], разработанной для эксперимента ЭПЕКУР в НИЦ “Курчатовский институт”–ИТЭФ [15].
Первоначально ВЦП ЕМ3 оказались наиболее медленными из всей регистрирующей электроники. Среднее время считывания в каркасах с ЕМ3 в сеансе 2018 г. оказалось около 80–100 мкс на событие. Для ускорения системы сбора данных и получения расчетной производительности по результатам этого сеанса схема модуля ЕМ3, определяемая конфигурацией ПЛИС, была существенно модифицирована. В конфигурацию ПЛИС была введена дополнительная память типа FIFO, что позволило перейти от полностью синхронной схемы считывания HPTDC с неизбежными задержками, к схеме с развязкой считывания HPTDC и передачи данных по шине МИСС. В результате, согласно данным сеансов 2019–2022, повысилась надежность работы ЕМ3 и время считывания события уменьшилось до 40–60 мкс.
3.6. Триггер и система сбора данных
3.6.1. Триггер. Логика триггера реализована на базе модуля ТЛ02 [27], разработанного в отделе электроники и автоматики НИЦ “Курчатовский институт”–ИФВЭ. Данный модуль позволяет организовать несколько возможных триггерных решений, выбор определяется программным способом.
Основным триггером при наборе данных является взаимодействие в мишени, т.е. совпадение сигналов пучкового телескопа S1, S2, S3 было при отсутствии сигнала со счетчика BK (см. рис. 1), подавляющего прямой пучок. Вся остальная информация для выделения различных событий (вето-система, пучковые черенковские счетчики и т.п.) записывалась в регистры для использования при обработке. В сеансе 2022 г. был опробован режим триггирования по составу пучка, что важно для подавления пучка π--мезонов, т. е. принимаются только те редкие события, в которых пучковой частицей были K--мезоны или антипротоны.
3.6.2. Архитектура системы сбора данных. В эксперименте используется современная система сбора данных на основе локальной вычислительной сети стандарта Gigabit Ethernet. Контроллеры корзин ЕвроМИСС [27] передают данные на серверные компьютеры общего назначения по протоколу TCP, который обеспечивает разрешение сетевых коллизий и гарантирует доставку данных (рис. 9).
Рис. 9. Архитектура системы сбора данных эксперимента СПАСЧАРМ.
Контроллеры корзин передают данные на сервер после каждого сброса пучка параллельно в несколько потоков.
На сервере онлайн-обработки выполняется декодирование сигналов регистрирующей электроники. Операторы установки отслеживают качество набираемых данных при помощи программ онлайн-анализа. Декодированные данные переносятся в хранилище на кластере НИЦ “Курчатовский институт”–ИФВЭ, где выполняется реконструкция физических событий.
За вычитывание данных регистрирующей электроники в формате ЕвроМИСС отвечают контроллеры корзин ЕМ [28]. В эти контроллеры встроен одноплатный микрокомпьютер в формфакторе DIMM под управлением операционной системы Linux. Микрокомпьютер накапливает данные каждого сброса в своей оперативной памяти в буфере объемом до 100 МБ и по интерфейсу Fast Ethernet передает их на сервер системы сбора данных. Данные с дрейфовых камер производства ИТЭФ вычитываются встроенными компьютерами системы управления накамерной электроникой [26] по аналогичной схеме.
Данные, относящиеся к одному триггерному сигналу, называются событием. Точная отметка времени прихода сигнала триггера фиксируется конечными узлами системы и записывается вместе с данными. Позднее, при обработке данных, специальная программа построения событий использует эти временные метки для однозначной сшивки данных со всех узлов установки. При работе в бестриггерном режиме предусмотрена возможность сшивки данных на основе отметок времени прихода специального сигнала синхронизации.
3.6.3. Формат данных. Практически вся электроника установки передает данные в формате ЕвроМИСС: 32-битовые слова, в которых половину слова занимает измеренная величина, а вторую половину — адрес модуля и канала электроники. Слова с адресом модуля больше 20 являются служебными и имеют специальное значение: метки начала или конца события, служебное слово с признаками ошибок шины МИСС и т.п. Особым случаем являются модули ВЦП ЕМ3 [20], используемые для станций дрейфовых трубок: они инкапсулируют адрес канала в данные, поэтому адресная половина слова содержит информацию лишь о номере модуля.
Поскольку данные с установки собираются в сыром виде, привязка к определенному двоичному формату данных отсутствует как таковая: поддержка любого формата может быть добавлена программным образом. Единственным необходимым условием является присутствие в данных отметки времени прихода триггерного сигнала, без которой однозначная сшивка событий будет возможна лишь при полной уверенности в том, что никакой триггерный сигнал не был пропущен ни одним конечным узлом.
3.6.4. Запись данных. Данные, набранные при каждом сбросе пучка, сохраняются в файлы на дисковом массиве, после чего происходит их декодировка программой онлайн-анализа. Сервер системы сбора данных помещает данные, поступившие с каждого узла, в отдельный файл. В названии файла сохраняется отметка времени сброса и числовой идентификатор узла, который совпадает с последним числом его IP-адреса в десятичном представлении.
Вместе с файлами данных может сохраняться различная вспомогательная информация, позволяющая расследовать причины, приведшие к аномалиям в набранной статистике: значения пьедесталов модулей АЦП калориметра, данные системы медленного контроля, сведения о режиме работы магнитов канала, данные с осциллографов, снимки с камер системы видеонаблюдения и любая другая вспомогательная информация.
Скорость записи на дисковый массив на два порядка превышает ожидаемый поток данных (~50 МБ/сброс), а емкость массива достаточна для круглосуточной работы установки на пучке в течение нескольких месяцев. Сохранение данных в исходном виде исключает потерю ценной информации вследствие алгоритмических ошибок в программном обеспечении.
3.6.5. Управление сбором данных. Для управления набором данных используется простой интерфейс в виде веб-приложения. Оператор установки может запускать и останавливать набор данных, указывать условия, при которых статистика набиралась в определенном промежутке времени, формируя список сбросов пучка, которые составляют единый набор файлов с уникальным идентификатором, содержащий данные эксперимента для последующей обработки (RUN).
При этом система сбора данных организована так, что ошибка оператора не может стать причиной потери ценной информации. Фактически система сбора данных работает непрерывно, оператор лишь указывает временные границы наборов и заполняет метаданные к ним. Файлы, не входящие в наборы с уникальными идентификаторами, составляют небольшой процент от общего объема данных и при необходимости могут быть удалены уже после окончания сеанса.
В случае возникновения неполадок с регистрирующей электроникой часть данных может оказаться непригодной для физического анализа. Поскольку данные каждого сброса записываются в отдельный файл, фильтрация некачественных данных не представляет сложности: достаточно составить список таких файлов и впоследствии исключить их из анализа.
3.7. Система контроля работы детекторов установки
Различные по типам детекторы в составе установки СПАСЧАРМ с большим количеством каналов требуют отдельной системы для управления и отслеживания их работоспособности. Система управления детекторами установки СПАСЧАРМ (система медленного контроля) построена на основе программной среды EPICS (Experimental Physics and Industrial Control System). Так же, как и система сбора данных, система медленного контроля СПАСЧАРМ является сетевой распределенной системой с многоуровневой архитектурой [29]. В СПАСЧАРМ EPICS используется на двух уровнях — уровне управления и уровне контроля — и определяет протокол обмена данными между ними по сети Ethernet. На уровне устройств работают специально разработанные микроконтроллерные модули, которые осуществляют непосредственное измерение и управление параметрами детекторов. Обмен данными между микроконтроллерными модулями и уровнем контроля определяется протоколами Modbus RTU и CANbus.
Работающие на уровне контроля одноплатные компьютера RaspberryPi позволяют легко масштабировать систему для включения новых детекторов и обеспечивают унифицированный интерфейс как на аппаратном (сеть Ethernet), так и на программном уровне (протокол EPICS). На уровне управления работают программы-клиенты для действий оператора и визуализации состояния детекторов, а также СУБД PostgreSQL для архивирования измерений.
По опыту эксплуатации системы в сеансах 2018–2022 гг.. наиболее важными подсистемами оказались слежение за температурой, токами и полями магнитов, а также управление питанием каркасов ЕВРОМИСС и управление конфигурацией ПЛИС в модулях ЕВРОМИСС. Также полезной оказалась информация из базы данных при анализе долговременного поведения характеристик дрейфовых трубок на атмосферных мюонах.
4. ПРОГРАММНОЕ МАТЕМАТИЧЕСКОЕ ОБЕСПЕЧЕНИЕ СПАСЧАРМ
Моделирование и обработка данных эксперимента проводится в рамках программного пакета SpascharmRoot. Этот пакет является основой как для моделирования методом Монте-Карло, так и для анализа данных. За основу для разработки среды для анализа данных был взят программный пакет PandaRoot [30]. Среда базируется на ROOT [31] и использует свой формат файлов данных (.root), систему ветвления данных (класс TBranch), цепочки файлов (TChain), контейнеры данных (TClonesArray), описание и управление геометрией (TGeoManager и т.д.) и блочную структуру задач (TTask). Система спроектирована таким образом, чтобы любые действия можно было выполнять из командной строки ROOT или путем запуска специальных управляющих файлов — макросов, написанных для C++-интерпретатора ROOT (CINT). Весь код для моделирования или сбора данных скомпилирован в динамические библиотеки, и “root” — единственный исполняемый файл. ROOT-макросы используются для конфигурирования, управления и запуска моделирования (и онлайн-считывания) событий, трассировки частиц через вещество методом Монте-Карло, описания детекторов, реконструкции и анализа данных. В таком подходе изменение настроек, параметров или даже перекомпоновка конфигурации оборудования всего детектора не потребует компиляции или использования другого языка, кроме C++, для редактирования макроса. Более того, абсолютно тот же макрос может быть выполнен на любой машине (например, персональном компьютере, распределенной вычислительной ферме или грид-кластере) без изменений.
Пакет SpascharmRoot позволяет единообразно обрабатывать экспериментальные данные и данные, полученные при моделировании. В программной среде реализованы и доступны для моделирования все детекторы действующей установки. По аналогии с PandaRoot моделирование в SpascharmRoot разделено на три основные части.
Сначала происходит генерация физического события. Генераторы, например Pythia8 [32], поставляются в виде внешних пакетов, также есть возможность использования простейшего генератора BoxGenerator, в котором частицы разыгрываются в заданном диапазоне по импульсу и углам. Затем сгенерированные частицы передаются в детекторы, и их взаимодействие рассчитывается транспортной моделью. На этом этапе учитываются геометрия и материалы детектора, а также карта магнитного поля. Пользователь имеет возможность переключаться между Geant3, Geant4 [33] без изменения кода, просто установив флаг в запускающий скрипт моделирования. Таким образом можно сравнивать результаты, полученные из разных моделей.
Далее полученные хиты оцифровываются, т.е. происходит симуляция отклика детекторов — учитываются шумы электроники, радиусы дрейфа, пространственные разрешения и эффективности, описываемые какой-то моделью или полученные из экспериментальных данных, калибровочные коэффициенты в зависимости от специфики каждого детектора. Такие данные должны содержать искажения, типичные для каждого детектора, и быть похожи на данные измерений в реальном эксперименте. Результатом являются файлы типа .digi, аналогичные экспериментальным данным после декодировки. На следующем этапе происходит реконструкция полученных данных — нахождение заряженных и нейтральных треков. Обработка данных моделирования и реальных экспериментальных данных сходится на этом этапе.
Процедура обработки экспериментальных данных состоит из следующих этапов.
- Построение общего события. На первом этапе проводится слияние данных из различных потоков с помощью программы-построителя событий (event-builder). Это необходимо, поскольку данные с детекторов считываются параллельно в несколько потоков (см. описание системы сбора данных). На этом этапе проходит поиск (сопоставление) соответствующих файлов и событий внутри разных потоков данных по отметкам времени, на выходе формируется поток событий с данными всех найденных детекторов установки. При этом осуществляется проверка качества данных, в том числе обнаружение потери важной информации при сбоях регистрирующей электроники. При потере данных (событий) программа проводит привязку разных потоков данных между собой, если не выявлена критическая ошибка. Результатом являются выходные файлы с полностью построенными событиями в формате системы сбора данных .dat.
- Декодировка сырых данных. На этом этапе данные построенного события из формата системы сбора данных декодируются в формат ROOT и приписываются соответствующим элементам детекторов (камера, трубка, проволочка, ячейка калориметра и т.п.). Результатом являются выходные файлы формата ROOT.digi.
- Восстановление пучковых и вторичных частиц. На этом этапе восстанавливаются все кандидаты в пучковые треки по данным с годоскопов, все вторичные треки и части треков до магнита и после магнита, которые не были “связаны”. Для каждого трека восстанавливается его заряд и импульс. В калориметре восстанавливаются все кандидаты в гамма-кванты (электроны). Перед этим этапом проводится восстановление параметров детекторов, а именно: определение R(t) зависимости трековых детекторов и геометрическая привязка всех детекторов. Эти же данные используются для получения информации для моделирования, прежде всего определяется эффективность элементов детектора. Все восстановленные объекты сохраняются в специальных файлах DST (Data Summary Tape) уже для получения физического результата.
- На заключительном этапе проводится восстановление всех параметров реакции и изучение физических процессов.
Программа онлайн-анализа использует те же самые функции. Разница заключается в том, что на первом этапе потоки данных не выстраиваются в единое событие и их контроль выполняется независимо.
5. ЗАКЛЮЧЕНИЕ
Описанный в данной работе состав детекторов и оборудования экспериментальной установки СПАСЧАРМ позволил провести в 2018–2022 гг. несколько сеансов набора данных на поляризованной и ядерных мишенях на ускорительном комплексе У-70. Так, например, весной 2018 г. было зарегистрировано около 1 млрд событий на поляризованной мишени, а осенью 2021 г. около 1.5 млрд событий на ядерных мишенях. В настоящее время ведется анализ набранных данных. Результаты анализа данных, представленные в настоящей работе, показали, что требуемые характеристики детекторов достигнуты:
- – стабильность эффективности трековой системы на уровне 0.1% за 12 часов набора;
- – результаты настройки фокуса и размеров пучка, после которой он полностью укладывается в размер мишени, менее 20 мм;
- – полученная поляризация мишени, составляющая около 75%, близка к теоретическому максимуму;
- – достигнута плановая скорость работы системы сбора данных 25000 триггеров в секунду.
На установке СПАСЧАРМ успешно продолжается выполнение заявленной физической программы эксперимента.
ФИНАНСИРОВАНИЕ РАБОТЫ
Работа выполнена в НИЦ “Курчатовский институт”–ИФВЭ при финансовой поддержке Российского научного фонда (грант № 22-12-00164). Работа сотрудников НИЯУ “МИФИ” выполнена в НИЦ “Курчатовский институт”–ИФВЭ при финансовой поддержке Министерства высшего образования и науки РФ (программа “Приоритет-2030”).
1 В качестве рабочего вещества может также использоваться бутанол и пропандиол с примесью CrV.
About the authors
В. В. Абрамов
Институт физики высоких энергий им. А.А. Логунова Национального исследовательского центра “Курчатовский институт”
Email: pavel.semenov@ihep.ru
Russian Federation, 142281, Протвино, Московская обл., ул. Победы, 1
Г. Д. Алексеев
Объединенный институт ядерных исследований
Email: pavel.semenov@ihep.ru
Russian Federation, 141980, Дубна, Московская обл., ул. Жолио-Кюри, 6
И. Г. Алексеев
Национальный исследовательский центр “Курчатовский институт”
Email: pavel.semenov@ihep.ru
Russian Federation, 123060, Москва, пл. Академика Курчатова, 1
В. A. Андреев
Петербургский институт ядерной физики им. Б. П. Константинова Национального исследовательского центра “Курчатовский институт”
Email: pavel.semenov@ihep.ru
Russian Federation, 188300, Гатчина, Ленинградская обл., мкр. Орлова роща, 1
Н. A. Бажанов
Объединенный институт ядерных исследований
Email: pavel.semenov@ihep.ru
Russian Federation, 141980, Дубна, Московская обл., ул. Жолио-Кюри, 6
A. A. Борисов
Институт физики высоких энергий им. А.А. Логунова Национального исследовательского центра “Курчатовский институт”
Email: pavel.semenov@ihep.ru
Russian Federation, 142281, Протвино, Московская обл., ул. Победы, 1
Н. С. Борисов
Объединенный институт ядерных исследований
Email: pavel.semenov@ihep.ru
Russian Federation, 141980, Дубна, Московская обл., ул. Жолио-Кюри, 6
С. И. Букреева
Институт физики высоких энергий им. А.А. Логунова Национального исследовательского центра “Курчатовский институт”
Email: pavel.semenov@ihep.ru
Russian Federation, 142281, Протвино, Московская обл., ул. Победы, 1
A. Н. Васильев
Институт физики высоких энергий им. А.А. Логунова Национального исследовательского центра “Курчатовский институт”; Национальный исследовательский ядерный университет “МИФИ”
Email: pavel.semenov@ihep.ru
Russian Federation, 142281, Протвино, Московская обл., ул. Победы, 1; 115409, Москва, Каширское ш., 31
Ю. М. Гончаренко
Институт физики высоких энергий им. А.А. Логунова Национального исследовательского центра “Курчатовский институт”
Email: pavel.semenov@ihep.ru
Russian Federation, 142281, Протвино, Московская обл., ул. Победы, 1
А. М. Горин
Институт физики высоких энергий им. А.А. Логунова Национального исследовательского центра “Курчатовский институт”
Email: pavel.semenov@ihep.ru
Russian Federation, 142281, Протвино, Московская обл., ул. Победы, 1
И. С. Городнов
Объединенный институт ядерных исследований
Email: pavel.semenov@ihep.ru
Russian Federation, 141980, Дубна, Московская обл., ул. Жолио-Кюри, 6
А. А. Деревщиков
Институт физики высоких энергий им. А.А. Логунова Национального исследовательского центра “Курчатовский институт”
Email: pavel.semenov@ihep.ru
Russian Federation, 142281, Протвино, Московская обл., ул. Победы, 1
А. С. Должиков
Объединенный институт ядерных исследований
Email: pavel.semenov@ihep.ru
Russian Federation, 141980, Дубна, Московская обл., ул. Жолио-Кюри, 6
Н. И. Журавлев
Объединенный институт ядерных исследований
Email: pavel.semenov@ihep.ru
Russian Federation, 141980, Дубна, Московская обл., ул. Жолио-Кюри, 6
А. Н. Исаев
Институт физики высоких энергий им. А.А. Логунова Национального исследовательского центра “Курчатовский институт”
Email: pavel.semenov@ihep.ru
Russian Federation, 142281, Протвино, Московская обл., ул. Победы, 1
Н. К. Калугин
Институт физики высоких энергий им. А.А. Логунова Национального исследовательского центра “Курчатовский институт”
Email: pavel.semenov@ihep.ru
Russian Federation, 142281, Протвино, Московская обл., ул. Победы, 1
А. С. Кожин
Институт физики высоких энергий им. А.А. Логунова Национального исследовательского центра “Курчатовский институт”
Email: pavel.semenov@ihep.ru
Russian Federation, 142281, Протвино, Московская обл., ул. Победы, 1
Н. Г. Козленко
Петербургский институт ядерной физики им. Б. П. Константинова Национального исследовательского центра “Курчатовский институт”
Email: pavel.semenov@ihep.ru
Russian Federation, 188300, Гатчина, Ленинградская обл., мкр. Орлова роща, 1
В. С. Козлов
Петербургский институт ядерной физики им. Б. П. Константинова Национального исследовательского центра “Курчатовский институт”
Email: pavel.semenov@ihep.ru
Russian Federation, 188300, Гатчина, Ленинградская обл., мкр. Орлова роща, 1
А. Б. Лазарев
Объединенный институт ядерных исследований
Email: pavel.semenov@ihep.ru
Russian Federation, 141980, Дубна, Московская обл., ул. Жолио-Кюри, 6
Е. В. Маслова
Институт физики высоких энергий им. А.А. Логунова Национального исследовательского центра “Курчатовский институт”
Email: pavel.semenov@ihep.ru
Russian Federation, 142281, Протвино, Московская обл., ул. Победы, 1
В. А. Маишеев
Институт физики высоких энергий им. А.А. Логунова Национального исследовательского центра “Курчатовский институт”
Email: pavel.semenov@ihep.ru
Russian Federation, 142281, Протвино, Московская обл., ул. Победы, 1
Ю. М. Мельник
Институт физики высоких энергий им. А.А. Логунова Национального исследовательского центра “Курчатовский институт”
Email: pavel.semenov@ihep.ru
Russian Federation, 142281, Протвино, Московская обл., ул. Победы, 1
А. П. Мещанин
Институт физики высоких энергий им. А.А. Логунова Национального исследовательского центра “Курчатовский институт”
Email: pavel.semenov@ihep.ru
Russian Federation, 142281, Протвино, Московская обл., ул. Победы, 1
Н. Г. Минаев
Институт физики высоких энергий им. А.А. Логунова Национального исследовательского центра “Курчатовский институт”
Email: pavel.semenov@ihep.ru
Russian Federation, 142281, Протвино, Московская обл., ул. Победы, 1
В. В. Моисеев
Институт физики высоких энергий им. А.А. Логунова Национального исследовательского центра “Курчатовский институт”
Email: pavel.semenov@ihep.ru
Russian Federation, 142281, Протвино, Московская обл., ул. Победы, 1
Д. А. Морозов
Институт физики высоких энергий им. А.А. Логунова Национального исследовательского центра “Курчатовский институт”142281, Протвино, Московская обл., ул. Победы, 1
Email: pavel.semenov@ihep.ru
Russian Federation
В. В. Мочалов
Институт физики высоких энергий им. А.А. Логунова Национального исследовательского центра “Курчатовский институт”; Национальный исследовательский ядерный университет “МИФИ”
Email: pavel.semenov@ihep.ru
Russian Federation, 142281, Протвино, Московская обл., ул. Победы, 1; 115409, Москва, Каширское ш., 31
А. Б. Неганов
Объединенный институт ядерных исследований
Email: pavel.semenov@ihep.ru
Russian Federation, 141980, Дубна, Московская обл., ул. Жолио-Кюри, 6
В. М. Нестеров
Национальный исследовательский центр “Курчатовский институт”
Email: pavel.semenov@ihep.ru
Russian Federation, 123060, Москва, пл. Академика Курчатова, 1
К. Д. Новиков
Институт физики высоких энергий им. А.А. Логунова Национального исследовательского центра “Курчатовский институт”
Email: pavel.semenov@ihep.ru
Russian Federation, 142281, Протвино, Московская обл., ул. Победы, 1
Д. В. Новинский
Петербургский институт ядерной физики им. Б. П. Константинова Национального исследовательского центра “Курчатовский институт”
Email: pavel.semenov@ihep.ru
Russian Federation, 188300, Гатчина, Ленинградская обл., мкр. Орлова роща, 1
Л. В. Ногач
Институт физики высоких энергий им. А.А. Логунова Национального исследовательского центра “Курчатовский институт”
Email: pavel.semenov@ihep.ru
Russian Federation, 142281, Протвино, Московская обл., ул. Победы, 1
М. Б. Нурушева
Национальный исследовательский ядерный университет “МИФИ”
Email: pavel.semenov@ihep.ru
Russian Federation, 115409, Москва, Каширское ш., 31
А. А. Пискун
Объединенный институт ядерных исследований
Email: pavel.semenov@ihep.ru
Russian Federation, 141980, Дубна, Московская обл., ул. Жолио-Кюри, 6
Ю. А. Плис
Объединенный институт ядерных исследований
Email: pavel.semenov@ihep.ru
Russian Federation, 141980, Дубна, Московская обл., ул. Жолио-Кюри, 6
А. Ф. Прудкогляд
Институт физики высоких энергий им. А.А. Логунова Национального исследовательского центра “Курчатовский институт”
Email: pavel.semenov@ihep.ru
Russian Federation, 142281, Протвино, Московская обл., ул. Победы, 1
С. В. Рыжиков
Институт физики высоких энергий им. А.А. Логунова Национального исследовательского центра “Курчатовский институт”
Email: pavel.semenov@ihep.ru
Russian Federation, 142281, Протвино, Московская обл., ул. Победы, 1
В. Л. Рыков
Национальный исследовательский ядерный университет “МИФИ”
Email: pavel.semenov@ihep.ru
Russian Federation, 115409, Москва, Каширское ш., 31
В. В. Рыльцов
Национальный исследовательский центр “Курчатовский институт”
Email: pavel.semenov@ihep.ru
Russian Federation, 123060, Москва, пл. Академика Курчатова, 1
А. Д. Рябов
Институт физики высоких энергий им. А.А. Логунова Национального исследовательского центра “Курчатовский институт”
Email: pavel.semenov@ihep.ru
Russian Federation, 142281, Протвино, Московская обл., ул. Победы, 1
Т. Д. Рябова
Институт физики высоких энергий им. А.А. Логунова Национального исследовательского центра “Курчатовский институт”
Email: pavel.semenov@ihep.ru
Russian Federation, 142281, Протвино, Московская обл., ул. Победы, 1
А. В. Рязанцев
Институт физики высоких энергий им. А.А. Логунова Национального исследовательского центра “Курчатовский институт”
Email: pavel.semenov@ihep.ru
Russian Federation, 142281, Протвино, Московская обл., ул. Победы, 1
Э. И. Самигуллин
Национальный исследовательский центр “Курчатовский институт”
Email: pavel.semenov@ihep.ru
Russian Federation, 123060, Москва, пл. Академика Курчатова, 1
Д. Н. Свирида
Национальный исследовательский центр “Курчатовский институт”
Email: pavel.semenov@ihep.ru
Russian Federation, 123060, Москва, пл. Академика Курчатова, 1
П. А. Семенов
Институт физики высоких энергий им. А.А. Логунова Национального исследовательского центра “Курчатовский институт”; Национальный исследовательский ядерный университет “МИФИ”
Author for correspondence.
Email: pavel.semenov@ihep.ru
Russian Federation, 142281, Протвино, Московская обл., ул. Победы, 1; 115409, Москва, Каширское ш., 31
В. А. Сенько
Институт физики высоких энергий им. А.А. Логунова Национального исследовательского центра “Курчатовский институт”
Email: pavel.semenov@ihep.ru
Russian Federation, 142281, Протвино, Московская обл., ул. Победы, 1
М. М. Солдатов
Институт физики высоких энергий им. А.А. Логунова Национального исследовательского центра “Курчатовский институт”
Email: pavel.semenov@ihep.ru
Russian Federation, 142281, Протвино, Московская обл., ул. Победы, 1
Л. Ф. Соловьев
Институт физики высоких энергий им. А.А. Логунова Национального исследовательского центра “Курчатовский институт”
Email: pavel.semenov@ihep.ru
Russian Federation, 142281, Протвино, Московская обл., ул. Победы, 1
В. И. Тараканов
Петербургский институт ядерной физики им. Б. П. Константинова Национального исследовательского центра “Курчатовский институт”
Email: pavel.semenov@ihep.ru
Russian Federation, 188300, Гатчина, Ленинградская обл., мкр. Орлова роща, 1
А. В. Узунян
Институт физики высоких энергий им. А.А. Логунова Национального исследовательского центра “Курчатовский институт”
Email: pavel.semenov@ihep.ru
Russian Federation, 142281, Протвино, Московская обл., ул. Победы, 1
Ю. А. Усов
Объединенный институт ядерных исследований
Email: pavel.semenov@ihep.ru
Russian Federation, 141980, Дубна, Московская обл., ул. Жолио-Кюри, 6
Р. М. Фахрутдинов
Институт физики высоких энергий им. А.А. Логунова Национального исследовательского центра “Курчатовский институт”
Email: pavel.semenov@ihep.ru
Russian Federation, 142281, Протвино, Московская обл., ул. Победы, 1
А. Н. Федоров
Объединенный институт ядерных исследований
Email: pavel.semenov@ihep.ru
Russian Federation, 141980, Дубна, Московская обл., ул. Жолио-Кюри, 6
Н. А. Шаланда
Институт физики высоких энергий им. А.А. Логунова Национального исследовательского центра “Курчатовский институт”
Email: pavel.semenov@ihep.ru
Russian Federation, 142281, Протвино, Московская обл., ул. Победы, 1
В. И. Якимчук
Институт физики высоких энергий им. А.А. Логунова Национального исследовательского центра “Курчатовский институт”
Email: pavel.semenov@ihep.ru
Russian Federation, 142281, Протвино, Московская обл., ул. Победы, 1
А. Е. Якутин
Институт физики высоких энергий им. А.А. Логунова Национального исследовательского центра “Курчатовский институт”
Email: pavel.semenov@ihep.ru
Russian Federation,
References
- Kalinin V.A., Afonin A.G., Antipov Y.M. et al. // 27th Russian Particle Acc. Conf. (RuPAC2021). Alushta, 2021. P. 22.https://doi.org/10.18429/JACoW-RuPAC2021-MOB01
- Абрамов В.В., Ажгирей И.Л., Борисов А.А. и др. // ЭЧАЯ. 2023. Т. 54. № 1. C. 6.
- Брюнетон К., Быстрицки И., Гедо А. и др. // ПТЭ. 1976. № 5. C. 46.
- Raoul J.C., Autones P., Auzolle R. // Nucl. Instrum. Methods. 1975. V. 125. № 4. P. 585.https://doi.org/10.1016/0029-554X(75)90476-0
- Александров И.А., Грачев М.И., Губриенко И.И. и др. // АЭ. 1970. Т. 29. C. 712.
- Meshchanin A.P., Vasiliev A.N., Goncharenko Y.M. et al. // Phys. Atom. Nuclei. 2022. V. 85. P. 2043.https://doi.org/10.1134/S1063778822100386
- Gershtein S.S., Samoylov A.V., Sapunov Yu.M. et al.. // Nucl. Instrum. Methods. 1973. V. 112. № 3. P. 477.https://doi.org/10.1016/0029-554X(73)90165-1
- Batarin V.A., Butler J., Derevschikov A.A. et al. // Nucl. Instrum. Methods. Phys. Res. A. 2003. V. 510. P. 2118. http://dx.doi.org/10.1016/S0168-9002(03)01860-6
- Aseev A.A., Vasil’ev A.N., Ludmirsky E.A. et al. // Nucl. Instrum. Methods. Phys. Res. A. 1993. V. 330. P. 39.https://doi.org/10.1016/0168-9002(93)91302-4
- Мочалов В.В., Васильев А.Н., Рязанцев А.В. и др.// ПТЭ. 2010. № 5. С.5-12 ,
- Апокин В.Д., Беликов Н.И., Васильев А.Н. и др. // ПТЭ. 1998. № 3. С. 23.
- Рязанцев А.В., Букреева С.И., Васильев А.Н. и др. // ПТЭ. 2023. № 4. С. 48.https://doi.org/10.31857/S0032816223030096
- Борисов Н.С., Бунятова Э.И., Володини А.Г. и др. Протонная поляризованная “замороженная” мишень для вторичных пучков частиц высокой энергии. Препринт ОИЯИ 1-80-98. Дубна, 1980.https://inis.iaea.org/collection/NCLCollectionStore/ _Public/12/581/12581974.pdf
- Абрагам А. Ядерный магнетизм. (гл. IV) / Пер. с англ. (гл. IV) : пер. с англ. / Под ред. Г.В. Скроцкого. М.: Изд. иностр. лит., 1963.
- Алексеев И.Г., Бордюжин И.Г., Будковский П.Е. и др. // ПТЭ. 2014. Т. 5. C. 22.
- Божко Н.И., Борисов А.А., Кожин А.С. и др. Прецизионная дрейфовая трубка в лавсановом корпусе. Препринт ИФВЭ 2012-3. 2012.
- Kozhin1 A., Borisov1 A., Bozhko N. et al. Tracking chamber made of 15-mm mylar drift tubes. // J. Instrum. 2017. V. 12. № 05. P. C05005.http://dx.doi.org/10.1088/1748-0221/12/05/C05005
- Борисов А.А., Божко Н.И., Кожин А.С. и др. // ПТЭ. 2013. Т.2. С.16.http://dx.doi.org/10.7868/S0032816213010199
- Букреева С.И., Емельянов Н.М., Исаев А.Н. и др.// ПТЭ. 2014. Т.6. С.23https://doi.org/10.7868/S003281621405005X
- Карпеков Ю.Д., Киселев Ю.С., Сенько В.А. Быстродействующие многоканальные модули ВЦП пикосекундного разрешения с программируемыми параметрами. Препринт ИФВЭ 2011-20. 2011.
- Christiansen J. HPTDC — High Performance Time to Digital Converter, Version 2.2. Prerpint CERN/EP — MIC, 2004.
- Солдатов М.М., Сенько В.А. // ПТЭ. 2019. Т. 3. С. 25-29https://dx.doi.org/10.1134/S0032816219030108
- Alexeev G.D., Baturitsky M.A. , Dvornikov O.V. et al. // Nucl. Instrum. Meth. Phys. Res. A. 2001. V. 462. P. 494.https://doi.org/10.1016/S0168-9002(01)00195-4
- Alexeev G.D., Baturitsky M.A. , Dvornikov O.V. et al. // Nucl. Instrum. Methods. Phys. Res. A. 1999. V. 423. P. 157.
- Baturitsky M.A, Dvornikov O.V, Emeliantchik I.F et al. // Nucl. Instrum. Methods. Phys. Res. A. 1996. V. 378. P. 577.https://doi.org/10.1016/0168-9002(96)00440-8
- Alekseev I.G., Andreev V.A., Budkovsky P.E. et al. // Nucl. Instrum. Methods. Phys. Res. A. 2007. V. 578. P. 289.http://dx.doi.org/10.1016/j.nima.2007.04.164
- Карпеков Ю.Д., Солдатов М.М., Якимчук В.И. Модули формирования наносекундных импульсов и логического отбора событий для экспериментов ИФВЭ. Препринт ИФВЭ 2014-12, 2014.
- Рыжиков С.В., Петров В.С., Семенов П.А., Якимчук В.И. // ПТЭ. 2014. Т.6. С. 28.
- Букреева С.И., Васильев А.Н., Гончаренко Ю.М. и др. // ПТЭ. 2019. № 2. С. 12.https://doi.org/10.1134/S0032816219010051
- Spataro S. (and PANDA Collaboration). // J. Phys. Conf. Ser. 2011. V. 331. P. 032031.https://doi.org/10.1088/1742-6596/331/3/032031
- Brun R., Rademakers F. // Nucl. Instr. Meth. Phys. Res. A. 1997. V. 389. P. 81.https://doi.org/10.1016/S0168-9002(97)00048-X
- Sjöstrand T., Mrenna S., Skands P.Z. // Comp. Phys. Commun. 2008. V. 178. P. 852.https://doi.org/10.1016/j.cpc.2008.01.036
- Agostinelli S., Allison J., Amako K. et al. // Nucl. Instr. Meth. Phys. Res. A. 2003. V. 506. P. 250.https://doi.org/10.1016/S0168-9002(03)01368-8
Supplementary files











