Описание прототипа считывающей электроники для емкостных детекторов
- Authors: Аткин Э.В.1, Норманов Д.Д.1, Ямалиев С.И.1, Серазетдинов А.Р.1, Солин А.А.2, Усенко Е.А.3
-
Affiliations:
- Национальный исследовательский ядерный университет “МИФИ”
- Институт ядерных проблем Белорусского государственного университета
- Институт ядерных исследований Российской академии наук
- Issue: No 5 (2024)
- Pages: 85-91
- Section: ЭЛЕКТРОНИКА И РАДИОТЕХНИКА
- URL: https://journals.rcsi.science/0032-8162/article/view/285716
- DOI: https://doi.org/10.31857/S0032816224050093
- EDN: https://elibrary.ru/ETUEEI
- ID: 285716
Cite item
Abstract
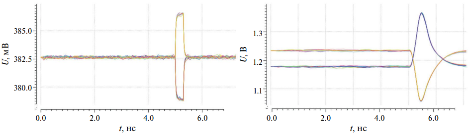
Представлено описание прототипа считывающей электроники для емкостных детекторов на основе специализированной интегральной микросхемы (СИМС), разработанной специально для съема и предварительной обработки сигналов c плоских резистивных камер эксперимента SPD на строящемся коллайдере НИКА ОИЯИ (г. Дубна). Восьмиканальная микросхема оптимизирована для работы с детекторами, имеющими характеристический импеданс считывающих электродов в диапазоне 35–110 Ом при приведенном ко входу эквивалентном малом шумовом заряде не более 2500 электронов. В СИМС предусмотрены регулировки порога по величине приведенного ко входу заряда в диапазоне 10–450 фКл, гистерезиса пороговой характеристики в диапазоне 0–12%, а также времени расширения сигнала в диапазоне 0.5–100 нс. Схема была оптимизирована для уменьшения джиттера по переднему фронту (менее 10 пс) и энергопотребления (менее 25 мВт на один канал). Представлены структурная и электрическая схемы, показаны результаты моделирования ключевых сложно-функциональных блоков и общий вид топологии спроектированной СИМС.
Full Text
About the authors
Э. В. Аткин
Национальный исследовательский ядерный университет “МИФИ”
Author for correspondence.
Email: evatkin@mephi.ru
Russian Federation, 115409, Москва, Каширское ш., 31
Д. Д. Норманов
Национальный исследовательский ядерный университет “МИФИ”
Email: evatkin@mephi.ru
Russian Federation, 115409, Москва, Каширское ш., 31
С. И. Ямалиев
Национальный исследовательский ядерный университет “МИФИ”
Email: evatkin@mephi.ru
Russian Federation, 115409, Москва, Каширское ш., 31
А. Р. Серазетдинов
Национальный исследовательский ядерный университет “МИФИ”
Email: evatkin@mephi.ru
Russian Federation, 115409, Москва, Каширское ш., 31
А. А. Солин
Институт ядерных проблем Белорусского государственного университета
Email: solin@hep.by
Belarus, 220006, Минск, ул. Бобруйская, 11
Е. А. Усенко
Институт ядерных исследований Российской академии наук
Email: Eugueni.oussenko@cern.ch
Russian Federation, 117312, Москва, просп. 60-летия Октября, 7а
References
- Anghinolfi F., Jarron P., Krummenacher F., Usenko E., Williams M.C.S. // IEEE Trans. Nucl. Sci. 2004. V. 51. №. 5. P.1974. http://doi.org/10.1109/TNS.2004.836048
- Wong W.S., Alozy J., Ballabriga R. et al. // Radiat. Meas. 2020. V. 131. P. 106230. http://doi.org/10.1016/j.radmeas.2019.106230
- Atkin E., Azarov D., Ivanov P., Normanov D., Serazetdinov A., Shumikhin V. // Russ. Microelectron. 2022. V. 51. P. 111. http://doi.org/10.1134/S1063739722020032
- Shumikhin V., Atkin E., Azarov D., Ivanov P., Normanov D., Serazetdinov A. // J. Phys. Conf. Ser. 2020. V. 1690. № 1. P. 012068. http://doi.org/10.1088/1742-6596/1690/1/012068
- Atkin E., Azarov D., Ivanov P., Normanov D., Serazetdinov A., Shumikhin V. // J. Phys. Conf. Ser. 2020. V. 1690. P. 012072. http://doi.org/10.1088/1742-6596/1690/1/012072
- Atkin E., Bulbakov I., Malankin E., Ivanov P., Normanov D., Petrovskiy S., Shumikhin V., Ivanov V., Voronin A., Samsonov V. // IEEE 30th International Conference on Microelectronics (MIEL). 2017. P. 225. http://doi.org/10.1109/MIEL.2017.8190108
- Ciobanu M., Marghitu O., Constantinescu V. et al. // IEEE Trans Nucl Sci. 2021. V. 68. № 6. P. 1325. http://doi.org/10.1109/TNS.2021.3073487
Supplementary files












