Метод оптимизации распределения емкостей конденсаторов в составе умножителя напряжения по критерию массомощностных характеристик
- Authors: Жарков Я.Е.1, Кириллов А.С.1, Мошкунов С.И.1, Прокофьев А.Б.2, Хомич В.Ю.1
-
Affiliations:
- Институт электрофизики и электроэнергетики Российской академии наук
- Самарский национальный исследовательский университет им. академика С.П. Королева
- Issue: No 5 (2024)
- Pages: 76-84
- Section: ЭЛЕКТРОНИКА И РАДИОТЕХНИКА
- URL: https://journals.rcsi.science/0032-8162/article/view/285715
- DOI: https://doi.org/10.31857/S0032816224050086
- EDN: https://elibrary.ru/ETVIED
- ID: 285715
Cite item
Full Text
Abstract
Проведена численная оптимизация величин емкостей в составе умножителя напряжения путем параметрической оптимизации с применением программ LTSpice и Matlab. Определены оптимальное число каскадов устройства, характер распределения емкостей и значения емкостей конденсаторов в его составе для достижения требуемого выходного напряжения. Проведено сравнение оптимизационных распределений емкостей, полученных при использовании идеальных диодов и диодов на основе карбида кремния марки GB02SLT12-214. Показано, что распределение емкостей, полученное в результате решения задачи оптимизации, позволяет снизить массу устройства и потери энергии в диодах.
Full Text
1. ВВЕДЕНИЕ
Умножитель напряжения является повышающим AC/DC-преобразователем, в состав которого входят пассивные элементы: диоды и конденсаторы. Данные устройства широко используются в разных областях физики и техники: в газовых лазерах [1], в источниках питания систем для генерации холодной плазмы [2], в системах питания на топливных элементах [3]. В частности, использование умножителя напряжения актуально при создании компактных источников питания для коронного разряда для очистки воздуха [4], электрической сепарации [5] и модификации поверхности [6, 7].
Перспективным применением умножителя напряжения является создание компактного источника питания для беспилотных летательных аппаратов с применением ионной тяги [8]: плазменные актуаторы при малых размерах и весе позволяют достичь скорости потока электрического ветра более 1 м/с [9, 10], а вкупе с применением коронного разряда также обладают высокой энергоэффективностью [11]. Минимизация массогабаритных параметров источников питания для плазменных актуаторов позволит улучшить их аэродинамические свойства. Создание компактных источников питания ставит задачу оптимизации составляющих подсистем (инверторов, трансформаторов) в конструкции устройства по критерию массогабаритных показателей, что также затрагивает и структуру умножителя. Ввиду простоты конструкции рассматриваемого устройства задача оптимизации его массы сводится к выбору двух компонентов: диодов и конденсаторов. Одним из способов оптимизации массы и габаритов умножителя напряжения является минимизация емкости конденсаторов, распределенных по каскадам (удвоителям напряжения) устройства.
В наиболее простом случае задача минимизации сводится к нахождению такого постоянного значения емкости, при котором удовлетворяются необходимые требования, предъявляемые к параметрам выходного напряжения умножителя [12–14]. Данное решение не является оптимальным с точки зрения массомощностного показателя, так как не принимает во внимание возможность варьирования емкости и, как следствие, массы каждого конденсатора умножителя в отдельности. Тем не менее решение задачи оптимизации емкостей при количестве оптимизируемых параметров, равном количеству конденсаторов, сопряжено со значительными временными затратами. Однако представление дискретной зависимости “емкость – порядковый номер конденсатора” в виде непрерывной функциональной зависимости позволяет сократить количество оптимизируемых параметров и значительно упростить задачу оптимизации программными методами [15].
Целью данной работы является создание метода оптимизации массогабаритных показателей умножителя напряжения, включающего определение минимального числа каскадов и распределения значений емкостей конденсаторов, позволяющих достичь заданного уровня выходного напряжения устройства.
2. ЧИСЛЕННАЯ МОДЕЛЬ И ЗАДАЧА ОПТИМИЗАЦИИ
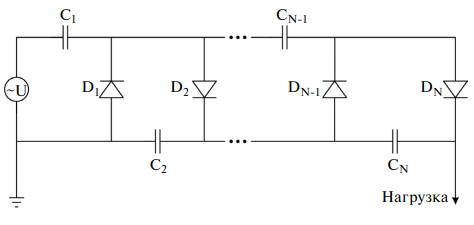
Для оптимизации массы умножителя напряжения была выбрана классическая топология умножителя напряжения (генератора Кокрофта–Уолтона), приведенная на рис. 1. Основные элементами данного устройства являются: источник питания переменного тока ~U; емкости C1, …, CN, где N – порядковый номер емкости/диода; диоды D1, …, DN.
Рис. 1. Электрическая схема умножителя напряжения.
В настоящей работе моделирование проводилось для следующих входных параметров системы: напряжение на входе 950 В, электрическая частота 750 кГц, напряжение на выходе 10 кВ, мощность на нагрузке 100 Вт.
Выбор классической топологии устройства обосновывается возможностью представления распределения емкостей умножителя напряжения в виде функции непрерывного вида. Исследование характера распределения емкостей умножителя проводилось с использованием полинома Бернштейна. Представление зависимости емкости конденсаторов от их порядкового номера является достаточно простым и эффективным способом по сравнению с перебором каждого значения в исследуемом диапазоне [14]. Использование полиномов Бернштейна также позволяет улучшить сходимость задачи оптимизации посредством наложения ограничения-неравенства на знак его коэффициентов.
Постановка задачи оптимизации массогабаритных показателей электрического устройства в настоящей работе проводилась по критерию минимизации суммы энергий емкостей при фиксированном диапазоне выходного напряжения, поскольку масса конденсаторов пропорциональна их емкости:
(1)
где ΔUi [В] – действующее значение разности потенциалов емкости; Uвых [В] – выходное напряжение; Ci [Ф] – значение емкости; β – коэффициенты Безье, bk, n – базисные многочлены Бернштейна.
Поиск минимума суммарной электрической энергии емкостей для распределения емкостей при заданных ограничениях (1) проводился посредством применения интерфейса совокупности методов оптимизации patternsearch, встроенного в программу Matlab [15]. Блок-схема алгоритма оптимизации с применением интерфейса patternsearch приведена на рис. 2.
Рис. 2. Блок-схема программы.
Входными параметрами для начала оптимизации являлись оптимальное количество каскадов умножителя, начальное приближение распределения емкостей, параметры источника питания и нагрузки.
На первом шаге решения задачи осуществлялось формирование Netlist-файла с использованием шаблона входных параметров. Netlist-файл служил для запуска программы LTSpice в консольном режиме под управлением виртуальной машины Java программы Matlab. Результаты расчета сохранялись в текстовый файл и импортировались в Matlab для анализа.
Описанная последовательность операций выполнялась при фиксированном значении степени полинома Бернштейна. Доказательством нахождения оптимального распределения емкостей являлось отсутствие изменений в их форме при увеличении степени полинома.
При моделировании умножителя напряжения также важен учет паразитных параметров электрических компонентов, их предельных параметров работы. Тем не менее оптимизация распределения емкостей с использованием детализированных схем электрических компонентов сопряжено с высокими вычислительными затратами в отсутствие подходящего начального приближения. В связи с этим решение задачи для системы с идеальными компонентами было выбрано в качестве начального приближения для оптимизации при использовании детализированных схем электрических компонентов.
Таким образом, оптимизация емкостей конденсаторов решалась в два этапа. На первом этапе при использовании идеализированной схемы умножителя определялось оптимальное распределение емкостей в зависимости от их порядкового номера. На втором этапе полученное решение служило начальным приближением для минимизации энергии емкостей в модели с использованием детализированных электрических схем компонентов.
В результате расчета были получены осциллограммы выходного напряжения, число каскадов умножителя напряжения и определены величины емкостей конденсаторов в устройстве умножителя.
3. РЕЗУЛЬТАТЫ ЧИСЛЕННОГО МОДЕЛИРОВАНИЯ
Начальным этапом численного моделирования является выбор оптимального количества каскадов устройства при постоянном значении емкости. Для этого был проведен анализ возможности достижения необходимого уровня напряжения 10 кВ с учетом падения напряжения на емкостях умножителя по выражению
, (2)
где N – число каскадов умножителя; Uвых [В] – выходное напряжени; Iнагр – ток нагрузки, равный 10 мА; f [Гц] – частота питания источника; C [Ф] – значение емкости.
Результаты выбора оптимального количества каскадов, согласно выражению (2), приведены на рис. 3. Согласно кривым, представленным на рис. 3а, минимальное число каскадов для достижения уровня выходного напряжения 10 кВ при заданном токе нагрузки равно 6. Увеличение количества каскадов умножителя свыше данного значения не является необходимым, так как приводит к увеличению общей электрической энергии (рис. 3б), запасенной в емкостях устройства и, как следствие, его массе.
Рис. 3. Зависимость выходного напряжения от значения емкости при двух значениях количества каскадов (а) и суммарная средняя электрическая энергия емкостей в зависимости от количества каскадов (б).
Результаты решения задачи оптимизации для схемы замещения с применением идеализированной модели диодов программы LTSpice представлены на рис. 4. Кривая на рис. 4а демонстрирует, что напряжение на выходе умножителя достигает требуемого значения 10 кВ, а уровень пульсаций не превышает заданный диапазон 5%. На диаграмме, изображенной на рис. 4б, показано распределение емкостей конденсаторов в зависимости от их порядкового номера в сравнении с емкостью при постоянном распределении. На рис. 4в приведена диаграмма суммарной электрической энергии для случаев оптимизационного и постоянного распределений. Использование оптимизации позволило уменьшить энергию на 15%.
Рис. 4. Расчетные зависимости с использованием идеализированной модели диодов: а –осциллограмма напряжения на нагрузке, б – распределение емкостей, в – суммарная энергия.
Также из результатов, приведенных на рис. 4б, следует, что функция распределения емкостей умножителя напряжения носит убывающий характер. Последнее, в свою очередь, связано с компенсацией возрастающего характера падения напряжения на емкости умножителя в случае постоянного распределения.
Приведенные результаты были получены при решении задачи для полинома Бернштейна шестой степени, взятого в качестве нулевого приближения. Также интерес представляет анализ влияния степени полинома на результат решения задачи оптимизации, так как количество переменных для оптимизации непосредственно влияет на скорость получения результатов.
На рис. 5 приведены зависимости функции распределения емкостей конденсаторов от их порядкового номера для различных степеней полинома Бернштейна. Из приведенных кривых следует, что минимальной степенью многочлена для восстановления распределения является значение, равное 5. Увеличение степени полинома свыше 5 не приведет к качественному изменению характера формы, но увеличит расчетное время.
Рис. 5. Зависимости формы кривой Безье порядкового номера конденсатора для разной степени полинома.
Следующим этапом работы являлась оптимизация умножителя напряжения с учетом детализированной схемы диодов с применением полученного начального приближения и минимальной степени полинома Бернштейна.
По полученным расчетным осциллограммам напряжений на емкостях и токов через диоды в идеализированном случае были выбраны малогабаритные диоды Шоттки на основе карбида кремния марки GB02SLT12–214: габаритные размеры составляют 4.597 × 2.896 × 2.438 мм3, вес равен 0.3 г [16]. Для моделирования использовался Netlist-файл (уровень L0), который был интегрирован в схему на рис. 1. При оптимизации с применением модели GB02SLT12–214 также учитывалось ограничение по максимальному значению обратного напряжения диодов, равному 1.2 кВ.
Результаты оптимизационного определения значения емкостей для случаев использования идеализированной модели диодов, а также для случаев постоянного и оптимизационного распределений с применением модели диодов GB02SLT12–214 приведены на рис. 6. В случае постоянного распределения при использовании модели GB02SLT12–214 минимальное значение емкости конденсаторов для достижения требуемого уровня напряжения 10 кВ равно 1.72 нФ.
Рис. 6. Зависимости емкости конденсаторов от порядкового номера для случаев переменного и постоянного распределения при применении модели диодов GB02SLT12-214, а также идеализированной модели диодов.
Из приведенных результатов видно, что учет модели диодов при решении задачи оптимизации является необходимым шагом в связи с негативным влиянием потерь энергии в процессе изменения состояния диодов и диссипацией обратного заряда. Эти процессы, в свою очередь, приводят к увеличению суммарной емкости умножителя напряжения при решении задачи оптимизации с условием фиксированного напряжения на выходе устройства.
Согласно диаграммам, приведенным на рис. 6, существует различие в формах оптимизационных распределений для случаев идеализированных диодов и при использовании модели GB02SLT12–214. В случае применения модели диодов уровня L0 убывания емкости носит более равномерный характер, однако емкость конденсаторов в начале распределения выше. Данное отличие обосновывается необходимостью уменьшения динамического импеданса емкостей из-за влияния характеристик модели GB02SLT12–214 в процессах перераспределения зарядов по каскадам умножителя.
На рис. 7а приведены расчетные осциллограммы выходных напряжений для случаев постоянного и оптимизированного распределений емкостей, отражена суммарная электрическая энергия (рис. 7б), запасенная в емкостях устройства, а также приведен уровень пульсации для двух расчетных случаев.
Рис. 7. Расчетные осциллограммы выходного напряжения умножителя (а), суммарная электрическая энергия устройства (б) и коэффициент пульсации (в) для случаев переменного и постоянного распределений емкостей при применении модели диодов GB02SLT12-214.
Из приведенных на рис. 7б зависимостей следует, что в случае оптимизированного переменного распределения емкостей суммарная электрическая энергия меньше на 15.8%, чем в случае постоянного распределения. Снижение уровня энергии, в свою очередь, приводит к более быстрому выходу устройства на установившийся режим работы, однако незначительно (< 0.2%) увеличивает коэффициент пульсации выходного напряжения.
Для наиболее полной и корректной оценки массогабаритных показателей умножителя напряжения необходимым шагом является выбор конденсаторов устройства, которые являются наиболее близкими по емкости к полученному оптимальному распределению.
При выборе элементов также необходим учет разности потенциалов между узлами включения емкостей, которые приведены на рис. 8 для случаев постоянного и переменного распределений емкости.
Рис. 8. Зависимость среднего напряжения на емкостях устройства при постоянном и переменном распределениях.
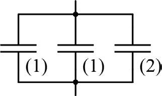
Из приведенного распределения напряжений следует, что в устройстве необходимо использовать конденсаторы с рабочим напряжением не менее 1 кВ за исключением первого конденсатора. Выбор конденсаторов осуществлялся с применением программной утилиты SumSurfing, представленной для открытого пользования производителем электронных компонентов Murata. В качестве основного материала для выбора компонентов использовался C0G (NP0), так как при таком материале уровень напряжения и температурный режим оказывают малое влияние на емкость конденсатора. Выбор конденсаторов проводился среди элементов типа SMD в корпусе 1206 (3216М), так как данный формфактор корпуса позволяет достичь требуемого значения емкости с минимальным количеством используемых компонентов. Результаты выбора SMD-компонентов конденсаторов для постоянного и оптимизационного распределения сведены в табл. 1.
Таблица 1. Емкости и массы конденсаторов умножителя напряжения при оптимизационном распределении
Оптимизационное распределение | ||||||
№ | C∑, пФ | Схема соединения | Серийный номер | C, пФ | W, мг | |
1 | 2270 | (1) | GRM31C5C3A102JWA3 | 1000 | 38 | |
(2) | GRM31A5C3A221JW01 | 270 | 27 | |||
2 | 2000 | GRM31C5C3A102JWA3 | 1000 | 38 | ||
3 | 1840 | (1) | GRM31C5C3A102JWA3 | 1000 | 38 | |
(2) | GCM31B5C3A681JX01 | 680 | 29 | |||
4 | 1695 | (1) | GRM31C5C3A102JWA3 | 1000 | 38 | |
(2) | GRM31A5C3A391JWA1 | 390 | 27 | |||
5 | 1534 | (1) | GRM31C5C3A102JWA3 | 1000 | 38 | |
(2) | GRM31A5C3A680JW01 | 68 | 27 | |||
6 | 1410 | (1) | GRM31C5C3A102JWA3 | 1000 | 38 | |
(2) | GRM31C5C3A821JWA3 | 820 | 38 | |||
7 | 1340 | (1) | GRM31C5C3A102JWA3 | 1000 | 38 | |
(2) | GCM31B5C3A681JX01 | 680 | 29 | |||
8 | 1235 | (1) | GRM31C5C3A102JWA3 | 1000 | 38 | |
(2) | GRM31A5C3A471JWA1 | 470 | 27 | |||
9 | 1165 | (1) | GRM31C5C3A102JWA3 | 1000 | 38 | |
(2) | GRM31A5C3A331JWA1 | 330 | 27 | |||
10 | 1090 | (1) | GRM31C5C3A102JWA3 | 1000 | 38 | |
(2) | GRM31A5C3A181JW01 | 180 | 27 | |||
11 | 1000 | GRM31C5C3A102JWA3 | 1000 | 38 | ||
12 | 910 | (1) | GRM31C5C3A102JWA3 | 1000 | 38 | |
(2) | GRM31C5C3A821JWA3 | 820 | 38 | |||
Постоянное распределение | ||||||
1 | 1800 | (1) | GRM31C5C3A102JWA3 | 1000 | 38 | |
(2) | GRM31C5C3A821JWA3 | 820 | 38 | |||
2–12 | 1735 | (1) | GRM31C5C3A102JWA3 | 1000 | 38 | |
(2) | GRM31A5C3A471JWA1 | 470 | 27 | |||
Сравнение найденного при решении задачи минимизации распределения емкости и подобранного с использованием высоковольтных SMD-конденсаторов приведено на рис. 9. Из приведенной диаграммы следует, что определенный ряд SMD-конденсаторов в корпусе 1206 позволяет достичь требуемых емкостей с достаточно высокой точностью.
Рис. 9. Зависимости емкости от порядкового номера, найденные при решении задачи оптимизации и подобранные с использованием SMD-компонентов в корпусе 1206.
Результат определения суммарной массы умножителя напряжения для вариантов постоянного и оптимизированного распределений емкостей сведен в табл. 2. Исходя из полученных результатов, распределения емкостей позволяет снизить общую массу устройства примерно на 5.5%. Тем не менее, для рассматриваемого случая наибольший вклад в суммарную массу устройства вносят диоды – вклад их массы составляет 73% от общего.
Таблица 2. Суммарные массы компонентов умножителя напряжения
Масса | Постоянное распределение | Оптимизационное распределение |
Конденсаторов, г | 3.18 | 2.62 |
Диодов, г | 7.2 | |
Общая, г | 10.42 | 9.82 |
На рис. 10 приведено распределение потерь в диодах в зависимости от их порядковых номеров (рис. 1). Из распределения следует, что оптимизация емкости позволяет снизить термическую нагрузку диодов. Для случая постоянной емкости суммарные потери энергии равны 0.57 Вт, в то время как при оптимизационном распределении они на 5% ниже и равны 0.54 Вт.
Рис. 10. Зависимости активных потерь на диодах в зависимости от порядкового номера при оптимизированном и постоянном распределениях емкости.
4. ВЫВОДЫ
В настоящей работе предложен численный метод оптимизации массомощностных показателей умножителя напряжения с применением программных пакетов Matlab и LTSpice. Предложенный метод использует аппроксимацию дискретного распределения “емкость конденсатора – порядковый номер” непрерывной функцией с применением полиномов Бернштейна.
С использованием предложенного метода проведена оптимизация распределения емкостей устройства при условиях синусоидального напряжения питания 950 В с частотой 750 кГц. Получено, что использование численной оптимизации позволяет снизить суммарную массу устройства на 5.5% в сравнении с постоянным значением емкости при равном числе конденсаторов и уровне выходного напряжения устройства. Показано, что процедура оптимизации также позволяет снизить потери энергии в диодах устройства на 5.5% для рассматриваемого случая.
ФИНАНСИРОВАНИЕ РАБОТЫ
Работа выполнена при финансовой поддержке Министерства науки и высшего образования РФ (грант на проведение крупных научных проектов по приоритетным направлениям научно-технологического развития, соглашение № 075 15 2024 558).
About the authors
Я. Е. Жарков
Институт электрофизики и электроэнергетики Российской академии наук
Author for correspondence.
Email: yarik77794@mail.ru
Russian Federation, 191186, Санкт-Петербург, Дворцовая наб., 18
А. С. Кириллов
Институт электрофизики и электроэнергетики Российской академии наук
Email: yarik77794@mail.ru
Russian Federation, 191186, Санкт-Петербург, Дворцовая наб., 18
С. И. Мошкунов
Институт электрофизики и электроэнергетики Российской академии наук
Email: yarik77794@mail.ru
Russian Federation, 191186, Санкт-Петербург, Дворцовая наб., 18
А. Б. Прокофьев
Самарский национальный исследовательский университет им. академика С.П. Королева
Email: yarik77794@mail.ru
Russian Federation, 443086, Самара, Московское шоссе, 34
В. Ю. Хомич
Институт электрофизики и электроэнергетики Российской академии наук
Email: yarik77794@mail.ru
Russian Federation, 191186, Санкт-Петербург, Дворцовая наб., 18
References
- Iqbal S., Besar R. // American Journal of Applied Sciences. 2007. V. 4. № 10. P. 795.
- Stoican O.S. // Polymers. 2021. Vol. 13. №. 13. P. 2132.
- Kwon J.M., Kwon B.H. // IEEE Trans. Power Electron. 2009. V. 24. № 1. P. 108.
- Аверьянов А.В., Воропай Л.М., Гительман Е.Б., Плеханов А.А. // Экология и промышленность России. 2014. № 3. С. 8. EDN RXCLAL
- Пелевин А.Е. Магнитные и электрические методы обогащения. Магнитные методы обогащения: Учебник. Екатеринбург: Уральский государственный горный университет, 2018. ISBN 978-5-8019-0435-1. EDN PHCEVA
- Ананьев В.В., Перетокин Т.Н., Заиков Г.Е., Софьина С.Ю. // Вестник Казанского технологического университета. 2014. № 3. С. 116.
- Ефремова А.А., Гарипова Л.Р., Григорьева А.Ю., Кузнецова О.П. // Вестник Казанского технологического университета. 2015. № 11. С. 148.
- Xu H., He Y., Strobel K.L. et al.// Nature. 2018. V. 563. P. 532.
- Мошкунов С.И., Небогаткин С.В., Ребров И.Е., Хомич В.Ю., Ямщиков В.А. // Прикладная физика. 2011. № 6. С. 32. ISSN 1996-0948
- Алешин Б.С., Курячий А.П., Ребров И.Е., Хомич В.Ю., Чернышев С.Л., Ямщиков В.А. // Письма в ЖТФ. 2017. Т. 43. № 1. С. 45.
- Defoot E., Benard N., Moreau E. // Journal of Electrostatics. 2017. № 88. P. 35.
- Васюков И.В., Пузин В.С., Батюков А.В., Живодерников А.В. // Известия высших учебных заведений. Электромеханика. 2018. Т. 61. № 5. С. 32. https://doi.org/10.17213/0136-3360-2018-5-32-37. EDN YLFAZF.
- Муравьев В.В., Кореневский С.А. // Доклады БГУИР. 2005. № 4 (12). С. 37.
- Мошкунов С.И., Хомич В.Ю. Генераторы высоковольтных импульсов на основе составных твердотельных коммутаторов. Москва: Физматлит, 2018. ISBN 978-5-9221-1820-0. EDN YMIQZN.
- Powell M.J.D. A Fast Algorithm for Nonlinearly Constrained Optimization Calculations. Numerical Analysis. Lecture Notes in Mathematics. V. 630 / Ed. by G.A. Watson, Springer-Verlag, 1978.
- Техническая спецификация диода Шоттки на основе карбида кремния. https://genesicsemi.com/sic-schottky-mps/GB02SLT12- 214/ GB02SLT12-214.pdf
Supplementary files




















