Низкотемпературный шаговый двигатель для работы в сильном магнитном поле
- Authors: Яфарова А.Ф.1,2, Холин Д.И.1, Сосин С.С.1
-
Affiliations:
- Институт физических проблем им. П.Л. Капицы Российской академии наук
- Национальный исследовательский университет “Высшая школа экономики”
- Issue: No 4 (2024)
- Pages: 207-214
- Section: ЛАБОРАТОРНАЯ ТЕХНИКА
- URL: https://journals.rcsi.science/0032-8162/article/view/280173
- DOI: https://doi.org/10.31857/S0032816224040254
- EDN: https://elibrary.ru/NXLLET
- ID: 280173
Cite item
Full Text
Abstract
Разработана конструкция шагового электродвигателя, предназначенного для вращения образца в экспериментальной ячейке, находящейся внутри криостата с откачкой 3Не. Устройство на основе ротора со скрещенными электрическими обмотками работает в постоянном магнитном поле, создаваемом сверхпроводящим соленоидом. Опытный образец двигателя был установлен на СВЧ-спектрометр проходного типа с прямоугольным резонатором. Для его испытания измерены угловые зависимости спектра магнитного резонанса в хорошо изученном антиферромагнетике MnCO3 при температурах 0.5–7.5 К в диапазоне углов ±100° от начального положения. Исследован перегрев ячейки и криостата и проведена оценка тепловыделения в процессе работы механизма.
Full Text
ВВЕДЕНИЕ
Большинство магнитных систем в кристаллах обладают анизотропией, возникающей за счет взаимодействия отдельных магнитных ионов с кристаллической решеткой, дипольного взаимодействия между ними, а также коллективного отклика обменно-связанных структур на внешнее магнитное поле (см., например, [1]). При изучении таких систем бывает необходимо изменять ориентацию образца относительно приложенного внешнего поля в процессе эксперимента.
Наиболее распространенный способ передачи вращения на образец, находящийся при низкой температуре, основан на использовании длинного вертикального штока, проходящего от наружного фланца криостата к экспериментальной ячейке. Например, в работе [2] описан механизм, в котором такой шток соединяет внешний электродвигатель с образцом посредством находящейся на его нижнем конце червячной передачи. Однако такая конструкция приводила к большому тепловыделению внутри ячейки ( до 5–10 мДж на градус поворота) из-за сильного трения. В работе [3] проблема трения была в значительной степени решена за счет преобразования поступательного перемещения штока во вращение ячейки через намотанную на шкив кевларовую нить. Тем не менее оба способа предполагают пропускание штока через криостат, что может оказаться несовместимым с его конструкцией. В работе [4] предложена принципиально иная конфигурация устройства, когда электродвигатель закреплен внутри криостата с откачкой 3He на градусной камере, а вращение (как и в работе [3]) передается на вставленную в подшипник ячейку посредством шкивов, соединенных кевларовой нитью. При этом тепловыделение в ячейке сведено к минимуму, однако такая конструкция не пригодна для экспериментальных установок с источниками сильного магнитного поля, поскольку рассеянное поле соленоида создает недопустимые механические нагрузки на ферромагнитные части мотора. Нечувствительные к магнитному полю и одновременно компактные устройства вращения создаются на базе пьезоэлектрических элементов, но их техническая реализация также весьма сложна, а тепловыделение в них остается на уровне 5 мДж на градус поворота [5, 6]. По этой причине создание новых компактных механизмов вращения для работы в сильных магнитных полях и при низких температурах остается важной экспериментальной задачей, имеющей многочисленные применения, в том числе для магнитных исследований.
В данной работе описано простое устройство для вращения образца на основе шагового электродвигателя, которое работает за счет уже имеющегося в установке сильного магнитного поля, создаваемого сверхпроводящим соленоидом. В качестве ротора используется барабан с намотанными скрещенными обмотками, через которые поочередно пропускается постоянный электрический ток. Компактное устройство размещено внутри низкотемпературной ячейки в непосредственной близости от платформы с образцом, вращение на которую передается через систему шестерен с большим передаточным числом. Опытный образец устройства был изготовлен и испытан для вращения образца в СВЧ-спектрометре при температурах 0.5–7.5 К. Вызванный вращением перегрев экспериментальной ячейки оказался существенным при температурах ниже 1 К, однако время последующего охлаждения до исходной температуры не превышало 30–40 мин. Предложены дальнейшие улучшения конструкции, направленные на снижение тепловыделения при работе устройства.
КОНСТРУКЦИЯ УСТРОЙСТВА
2.1. Механизм вращения
Внешний вид и схема устройства в разрезе показаны на рис. 1. Поскольку ячейка с механизмом вращения предназначена для работы в сильном внешнем магнитном поле до 14 Тл, при ее изготовлении использовались только немагнитные материалы. Ротор двигателя представляет собой изготовленный из полиацеталя (ПОМ) барабан 1 , который был укреплен на бронзовой оси 2, вставленной в отверстия в боковых стенках латунного корпуса 3. На барабан намотаны две взаимно перпендикулярные обмотки 4 из медной проволоки диаметром 100 мкм, каждая из которых состоит из N = 20 прямоугольных витков со средней площадью S ≈ 1.7 см2 . Сопротивление каждой обмотки при комнатной температуре составляет 2.6 Ом, а при охлаждении до температуры жидкого гелия уменьшается до величины r = 0.003 Ом. При пропускании постоянного тока i через обмотку, в плоскости которой приложено магнитное поле B, на барабан действует крутящий момент T = iSNB, в результате чего он поворачивается на 90°. (При характерных значениях i = 100 мА и B = 1 Тл крутящий момент составляет 3.4 · 10–4 Н·м) Для пропускания тока один конец каждой обмотки соединялся с одним из двух медных колец 5 , надетых на вращающуюся на одной оси с барабаном втулку 6. Скользящий электрический контакт колец с неподвижной частью установки создавался при помощи бронзовых лепестков 7, укрепленных на держателе 8. Вторые концы обмоток присоединялись к бронзовой оси барабана для обеспечения контакта на землю.
Рис. 1. Конструкция вращательного механизма на СВЧ резонаторе: слева – внешний вид, справа – разрез. Детали механизма: 1 – барабан, 2 – ось, 3 – корпус, 4 – обмотки, 5 – медные кольца, 6 – втулка, 7 – бронзовые лепестки, 8 – держатель лепестков; 9, 10 – втулка и скользящие контакты датчика поворота, 11 – ось с монтажной площадкой для образца, 12 – резонатор, 13 – прижимная планка, 14 – крепежные стойки, 15 – верхний фланец, 16 – цанги волноводов, G1–G6 – шестерни, Т1, T2 – термометры RuO2. Штрихпунктирные линии – поворотные оси механизма.
Для контроля вращения был предусмотрен датчик единичного поворота барабана. На оси ротора укреплялась небольшая втулка из ПОМа 9 , у которой два диаметрально противоположных сектора боковой поверхности были заклеены медной фольгой. Прижатые к ней скользящие контакты 10 попеременно замыкались и размыкались при каждом повороте оси на 90°. Вращение от закрепленной на роторе ведущей шестерни G1 передавалось на образец через редуктор, состоявший из нескольких изготовленных из ПОМа шестерен G2–G6 с общим передаточным числом 45. Последняя из них была плотно насажена на медную ось 11, имевшую на своем конце круглую монтажную площадку, на которую приклеивался образец. Площадка вставлялась в отверстие на боковой стенке медного прямоугольного резонатора 12 и прижималась к ней вместе с шестерней при помощи пластины 13, которая также служила креплением для остальных шестерен. В результате при поворотах ротора на 90° на образец передавалось вращение с шагом 2°. Следует отметить, что самопроизвольному обратному вращению всей системы за счет возможного крутящего момента магнитного образца в поле препятствует трение, усиленное за счет большого передаточного числа редуктора.
2.2. Установка на спектрометр и система управления
Механизм в сборе крепился с помощью стоек 14 к верхнему фланцу ячейки 15. С другой стороны к фланцу присоединялись коаксиальные волноводы при помощи цанг 16 . Тепловой контакт ячейки с холодной ступенью криостата создавался при помощи двух гибких хладопроводов (медных многожильных кабелей диаметром d = 0.15 см длиной l≃15 см), протянутых от платформы 3He к верхнему фланцу и корпусу устройства. Для контроля температуры в ходе эксперимента в ячейке были предусмотрены два резистивных термометра RuO2 , один из которых (T1) находился на конце медной оси с противоположной стороны от образца, а другой (T2) – на верхнем фланце резонатора. Третий термометр RuO2 (Т3) был установлен вблизи камеры 3He, что позволяло одновременно отслеживать изменения температуры трех основных объектов: образца, ячейки в целом и холодной ступени криостата. Общий вид устройства, установленного на СВЧ-спектрометр, и его совмещение с криостатом показаны на рис. 2.
Рис. 2. Фотография устройства, смонтированного на СВЧ-спектрометр, совмещенный с криостатом откачки 3He; Т1, Т2 и Т3 – термометры.
Для поворота площадки с образцом на заданный угол через обмотки пропускался постоянный ток от источника питания Instek, задействованного в режиме стабилизации тока. Переключение тока между обмотками с учетом полярности осуществлялось с помощью 4-канального модуля реле, который управлялся программируемым контроллером Arduino UNO R3. Общее управление вращением производилось на персональном компьютере в среде LabVIEW. С помощью контроллера Arduino также фиксировалось последовательное замыкание и размыкание контактов датчика поворота при очередном переключении тока между обмотками, что являлось показателем успешного однократного вращения ведущего колеса на 90°. Следует отметить, что при любом единичном случайном сбое вращения можно продолжать автоматическое переключение тока в заданной последовательности, при этом вращение в прежнем направлении восстанавливается не более чем через четыре шага. Непрерывная регистрация состояния датчика позволяет впоследствии внести соответствующие корректировки в положение образца.
ЭКСПЕРИМЕНТ
3.1. Характеристики устройства
Проверка механизма при комнатной температуре с использованием резистивного электромагнита показала, что устойчивое вращение достигается в магнитном поле 1 Тл при токе через обмотки 150 мА. Из-за тепловых деформаций при охлаждении ячейки до 8 К необходимый крутящий момент увеличивался приблизительно в шесть раз: при том же токе через обмотки вращение ротора начиналось в поле 6 Тл. При этом работа механизма не приводила к заметному перегреву системы. Однако при стартовой температуре 0.5 К температура ячейки и криостата в целом существенно повышалась.
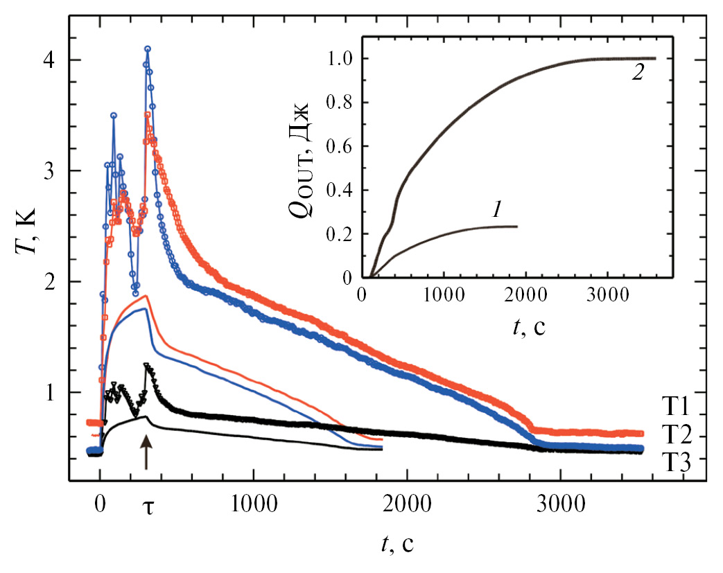
На рис. 3 приведены зависимости показаний термометров T1, T2 и T3 от времени, записанные в ходе двух различных процессов. Сплошными линиями показаны результаты тестового измерения трех температур при пропускании через одну из обмоток тока 150 мА в течение τ = 300 с в нулевом поле (без вращения барабана) с последующим охлаждением до базовой температуры. Полное тепловыделение в ячейке при данном процессе известно и составляет Qin = i2 Rτ ≃ 0.22 Дж. Тепло отводится через медные кабели, полная теплопроводность которых в данном диапазоне линейно зависит от температуры: K = βT, где β – коэффициент, зависящий от свойств меди и геометрических размеров кабелей. Полное количество теплоты, отведенное от ячейки в холодную ступень криостата, определяется интегралом
где tf – время установления теплового равновесия (окончания записи), T2 и T3 – показания датчиков T2 и T3 соответственно. Данный интеграл можно найти численно из приведенных на рис. 3 зависимостей. Коэффициент β является калибровочным параметром, определяемым из условия баланса выделившегося и отведенного тепла Qin = Qout: β ≃ 2.8 · 10–4 Вт/К2. Соответствующая зависимость отведенного через тепловой контакт количества тепла от времени показана на вставке рис. 3 линией 1. Полученный калибровочный параметр использовался для дальнейшей оценки теплопритока при вращении устройства. Следует отметить, что из полученного значения β можно также оценить удельную теплопроводность материала кабелей, которая при T = 10K составляет κ = 1.2 Вт/см ∙ К, что в пределах 10% согласуется с данными для неотожженной меди, приведенными, например, в справочнике [7].
Рис. 3. Зависимость температуры датчиков Т1, Т2 и Т3 от времени в процессе пропускания тока в течение 5 минут через одну из обмоток в нулевом поле (сплошные линии) и при переключении тока между обмотками в поле 6 Тл с вращением образца на 60° (символы) с последующим охлаждением. Стрелкой показан момент выключения тока τ = 300c. На вставке показано количество тепла, отведенного от ячейки в криостат через медные кабели при обоих процессах (линии 1 и 2 соответственно).
Зависимости температуры датчиков T1, T2 и T3 от времени в процессе периодического переключения тока между обмотками в магнитном поле для вращения образца на угол 60° (30 единичных вращений барабана, произведенных также в течение 5 минут) приведены на рис. 3 различными символами (квадраты, кружки и треугольники соответственно). Как видно, перегрев системы в данном процессе значительно превышает уровень, наблюдаемый без вращения. Тепловыделение, которое можно оценить аналогичным способом при известной калибровке β, составляет примерно 1 Дж (линия 2 на вставке), т. е. приблизительно 16 мДж на градус поворота, что в три раза превышает аналогичные характеристики устройств, описанных в работах [2, 5, 6]. Однако можно заметить, что данная величина не связана напрямую с процессом вращения, поскольку оказывается значительно больше верхнего предела тепловыделения за счет работы, совершаемой барабаном под действием крутящего момента. Приведенные выше величины тока и магнитного поля, необходимые для вращения при низких температурах, соответствуют крутящему моменту T≃3 · 10–3 Н·м. Работа, совершаемая при однократном повороте барабана на 90°, вычисляется как
где α – угол поворота барабана, что составляет 1.5 мДж на градус поворота образца, т. е. примерно на порядок меньше реального тепловыделения в ячейке. Это создает перспективы существенной оптимизации аппаратной части нашего устройства. Также возможно уменьшить тепловыделение за счет использования обмоток из сверхпроводящего провода. На данный момент в опытном образце устройства общий перегрев ячейки при вращении образца на 60° составляет около 3.5 К, а охлаждения ячейки и криостата по окончании вращения до начальных условий происходит приблизительно за 40 минут. При этом тепловое равновесие между держателем образца и остальной ячейкой устанавливается за характерное время 5 минут, после чего различия показаний датчиков Т1 и Т2 остаются в пределах 50 мК.
3.2. Угловая зависимость спектра АФМР в MnCO3
Для проверки работы устройства были изучены угловые зависимости спектра магнитного резонанса на примере соединения MnCO3, хорошо исследованного слабого ферромагнетика с температурой упорядочения TN = 32.4 К и сильной анизотропией магнитных свойств [8]. Антиферромагнитный резонанс (АФМР) в нем был подробно изучен в работе [9]. В спектре АФМР наблюдается ветвь, частота v которой зависит от проекции внешнего магнитного поля на плоскость, перпендикулярную оси третьего порядка кристалла C3 (легкую плоскость кристалла):
v2 = ∆2 + γ2H⊥ (H⊥ + HD), (1)
где γ = 2.8 ГГц/кЭ – гиромагнитное отношение, HD = 4.4 кЭ – эффективное поле, перпендикулярное оси C3, возникающее за счет взаимодействия Дзялошинского–Мории, ∆ – щель в спектре, обусловленная динамическим взаимодействием электронной и ядерной спиновых подсистем [9]. Таким образом, условие возникновения резонанса для данной моды спектра сильно зависит от взаимной ориентации поля и оси C3, что делает ее наблюдение удобным для тестирования предлагаемого устройства.
Для микроволновых измерений в диапазоне частот 9–21 ГГц использовался изготовленный в лаборатории СВЧ-спектрометр проходного типа с прямоугольным резонатором. Амплитудно-модулированный микроволновый сигнал от клистронного СВЧ-генератора Г4–111 передавался по коаксиальному волноводу к резонатору с образцом. Прошедший через резонатор сигнал поступал по выходному волноводу на полупроводниковый детектор и затем измерялся с помощью фазочувствительного усилителя lock-in SR830. Записи сигнала проводились при трех различных температурах на постоянной частоте одной из собственных мод резонатора типа TE01N при прямой и обратной развертке магнитного поля.
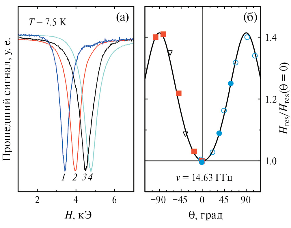
Исследуемый образец MnCO3 приклеивался к вращающейся монтажной площадке наплоскость, направленную под углом φ = 45° к оси C3. Перед началом эксперимента площадка с приклеенным образцом была выставлена в резонаторе в положение, соответствующее направлению поля H ⊥ C3. Тогда при вращении площадки проекция поля на плоскость, перпендикулярную оси C3 связана с углом поворота θ соотношением
В начальной ориентации θ = 0 при T = 7.5 К в спектре прошедшего через резонатор сигнала в зависимости от внешнего поля наблюдалась интенсивная линия поглощения с небольшим сателлитом (рис. 4а, линия 1). После записи этого спектра поле увеличивалось до необходимой для поворота величины 6 Тл, образец поворачивался на заданный угол, после чего осуществлялась запись прошедшего сигнала при обратной развертке поля и т. д. При вращении образца, приводящем к выходу поля из легкой плоскости, основная резонансная линия постепенно смещалась в область сильных полей (линии 2, 3, 4), а при вращении в обратную сторону возвращалась в исходное положение. Аналогичные измерения были проделаны при откачке градусной камеры (температура на образце и резонаторе T1 = T2 = 1.3 К), а также при минимальной температуре криостата (T1 = 0.60 К, T2 = 0.55 К).
Из формулы (1) следует, что при фиксированной частоте ν положение магнитного резонанса во внешнем поле Hres задается условием (H⊥ = const, поэтому его угловая зависимость определяется выражением
(2)
Рис. 4. a – Примеры линий магнитного резонанса, записанных на частоте ν = 14.63 ГГц при T = 7.5 К в различных ориентациях образца: 1 – начальная ориентация H ⊥ C3; 2, 3, 4 – после поворота площадки на 48°, 72° и 96°. б – Угловые зависимости отношения резонансного поля к величине Hres (q = 0): кружки – 7.5 К, квадраты – 1.3 К, треугольники – 0.6 К, открытые и закрытые символы соответствуют направлению вращения по и против часовой стрелки.
Полученные при трех разных температурах угловые зависимости резонансного поля Hres(θ), нормированные на соответствующие значения Hres(θ = 0), показаны на рис. 4б разными символами. Как видно, все три экспериментальные угловые зависимости одновременно описываются выражением (2) с φ = 45° (сплошная линия на рис. 4б). Следует отметить, что при обратном вращении резонансные линии оказываются слегка смещенными вправо, что свидетельствует о наличии небольшого люфта в системе передаточных шестерен. Соответствующие точки, обозначенные закрытыми символами, смещены на рис. 4б по углу вправо на 2°.
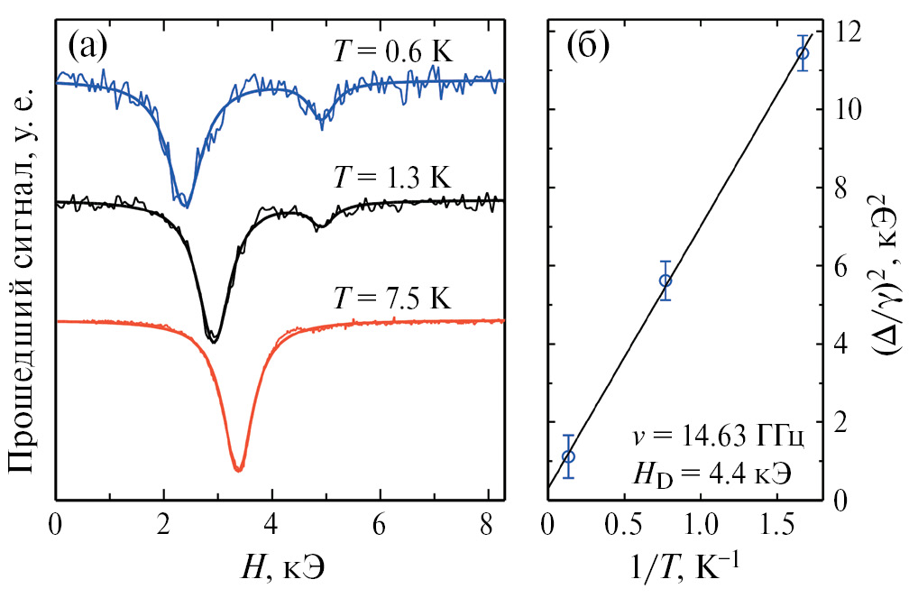
Описанные выше данные можно также использовать для независимого контроля температуры образца в ходе эксперимента, что полезно при тестировании ячейки. На рис. 5a представлены полевые зависимости спектров поглощения на частоте ν = 14.63 ГГц в исходной ориентации образца, полученные при трех температурах, измеренных датчиком Т1. Смещение основной (левой) компоненты спектра в меньшее поле при охлаждении соответствует увеличению щели ∆. По положению этой компоненты, определенному с высокой точностью из аппроксимаций (сплошные линии на рис. 5а), по формуле (1) можно вычислить соответствующие величины ∆2. Как отмечалось выше, щель ∆ определяется главным образом сверхтонким взаимодействием электронных и ядерных спинов в ионах Mn3+. Расчет показывает, что величина ∆2 пропорциональна магнитной восприимчивости ядерной подсистемы, которую в исследуемом диапазоне температур можно считать парамагнитной, и, следовательно, [9]. Сравнивая экспериментальную зависимость ∆2(1/T) с ее линейной теоретической аппроксимацией (рис. 5б), можно убедиться, что температура образца при записи резонансных линий соответствовала измеренной термометром Т1. При этом можно подобрать такой режим мощности измерительного СВЧ-излучения, что перегрев образца по отношению к термометру на верхнем фланце ячейки (Т2) даже при самых низких температурах не превышает 50 мК.
Рис. 5. a – Температурная эволюция линий магнитного резонанса, записанных на частоте ν =14.63 ГГц в начальной ориентации образца; жирные сплошные линии – подгонка суммой двух лоренцианов, линия АФМР соответствует более интенсивной левой компоненте. б – Зависимость квадрата сверхтонкой щели ∆2 от обратной температуры. Точки – эксперимент, сплошная линия – линейная аппроксимация. Допуски соответствуют возможной систематической погрешности в определении положения резонансных линий ±50 Э.
ЗАКЛЮЧЕНИЕ
В работе описан шаговый двигатель для вращения образца, находящегося в экспериментальной ячейке внутри криостата при температурах ниже 1 К. Ротор в виде барабана с намотанными на него скрещенными обмотками вращается во внешнем магнитном поле, создаваемом сверхпроводящим соленоидом. Переключение постоянного тока в различной полярности между обмотками осуществляется извне криостата при помощи 4-канального модуля реле и контроллера Arduino UNO R3, управляемых компьютером из программы LabVIEW. Вращение ротора передается при помощи системы шестерен с общим передаточным числом 45, в последнюю из которых вставлена ось с площадкой для образца, что позволяет устанавливать положение образца относительно внешнего поля с шагом 2°. Опытный образец двигателя был изготовлен и смонтирован на СВЧ-спектрометр с прямоугольным резонатором, совмещенный с криостатом откачки паров 3He. Устойчивое вращение системы достигается в поле 6 Тл при пропускании через обмотки тока 150 мА. Исследован нагрев экспериментальной ячейки и криостата при работе устройства, проведена оценка количества выделяемого тепла. Обнаружено, что после вызванного пятиминутным вращением перегрева ячейка охлаждается до базовой температуры криостата 0.5 К приблизительно за 40 мин. Проведены успешные пробные измерения угловых и температурных зависимостей спектров магнитного резонанса хорошо изученного слабого ферромагнетика MnCO3 в диапазоне температур 0.5–7.5 К. Таким образом, разработанное устройство пригодно для использования в магнитных экспериментах с вращением образца, по крайней мере, при температурах откачки паров жидкого 3He при условии наличия в установке источника сильного внешнего магнитного поля, например сверхпроводящего соленоида.
БЛАГОДАРНОСТИ
Авторы благодарят В.Е. Трофимова и Н.И. Тарасову за изготовление деталей механизма, а также В.Н. Глазкова за полезные обсуждения.
Финансирование работы
Работа выполнена при поддержке Российского научного фонда (грант 22-12-00259), компьютерное обеспечение устройства разработано в рамках проекта № 24-00-011 Программы “Научный фонд Национального исследовательского университета “Высшая школа экономики”.
About the authors
А. Ф. Яфарова
Институт физических проблем им. П.Л. Капицы Российской академии наук; Национальный исследовательский университет “Высшая школа экономики”
Author for correspondence.
Email: afyafarova@edu.hse.ru
Russian Federation, Москва; Москва
Д. И. Холин
Институт физических проблем им. П.Л. Капицы Российской академии наук
Email: afyafarova@edu.hse.ru
Russian Federation, Москва
С. С. Сосин
Институт физических проблем им. П.Л. Капицы Российской академии наук
Email: afyafarova@edu.hse.ru
Russian Federation, Москва
References
- Turov E.A. Physical properties of magnetically ordered crystals. New York: Academic Press, 1965. https://doi.org/10.1063/1.1149138
- Bhattacharya A., Tuominen M.T., Goldman A.M. // Rev. Sci. Instrum. 1998. V. 69. P. 3563. https://doi.org/10.1063/1.1149138
- Palm E.C., Murphy T.P. // Rev. Sci. Instrum. 1999. V. 70. P. 237. https://doi.org/10.1063/1.1149571
- Andreeva O.A., Keshishev K.O. // JETP Lett. 1987. V. 46. P. 200.
- Ohmichi E., Nagai S., Maeno Y., Ishiguro T., Mizuno H., Nagamura T. // Rev. Sci. Instrum. 2001. V. 72. P. 1914. https://doi.org/10.1063/1.1347982
- Yeoh L.A., SrinivasanA., Martin T.P. et al. // Rev. Sci. Instrum. 2010. V. 81, P. 113905. https://doi.org/10.1063/1.3502645
- Малков М.П., Данилов И.Б., Зельдович А.Г., Фрадков А.Б. Справочник по физико-техническим основам глубокого охлаждения. Москва: Госэнергоиздат, 1963.
- Borovik-Romanov A.S. // Sov. Phys. JETP. 1959. V. 9. P. 539.
- Borovik-Romanov A.S., Kreines N.M., Prozorova L.A. // Sov. Phys. JETP. 1964. V. 18. P. 46.
Supplementary files







