Разработка и исследование системы измерения распределения поверхностного выхода бета-излучения плоского источника
- Authors: Новиков С.Г.1, Беринцев А.В.1, Алексеев А.С.1, Жуков А.В.1, Кузнецов Р.А.1, Бобровская К.С.1, Черторийский А.А.2, Приходько В.В.1
-
Affiliations:
- Ульяновский государственный университет
- Ульяновский филиал Института радиотехники и электроники им. В.А. Котельникова Российской академии наук
- Issue: No 4 (2024)
- Pages: 50-56
- Section: ТЕХНИКА ЯДЕРНОГО ЭКСПЕРИМЕНТА
- URL: https://journals.rcsi.science/0032-8162/article/view/279085
- DOI: https://doi.org/10.31857/S0032816224040069
- EDN: https://elibrary.ru/NYXVLB
- ID: 279085
Cite item
Full Text
Abstract
Разработана и исследована система для измерения пространственного распределения плотности потока бета-излучения с поверхности источника ионизирующего излучения. Основой измерительной системы является зондовый сенсорный элемент на основе сцинтилляционного оптического волокна, выходной оптический сигнал с которого поступает на вход счетчика фотонов и далее обрабатывается микроконтроллером. Методом численного моделирования с использованием программных библиотек Geant4 проведен расчет параметров чувствительности сенсорного элемента при измерении потока бета-излучения с поверхности плоского источника на базе изотопа 63Ni. Экспериментально исследованы пространственное распределение выхода бета-электронов источника размером 1 × 1 см2 и зависимость чувствительности зонда от расстояния до источника. Экспериментальные данные находятся в хорошем согласии с результатами модельного расчета.
Full Text
ВВЕДЕНИЕ
При изготовлении бета-источников ионизирующего излучения на основе различных изотопов возникает задача оценки величины поверхностного выхода бета-электронов и степени его равномерности. При этом требуется достаточно высокая скорость и точность измерений.
Практически все современные измерители способны оценивать интегральный выход бета-излучения и не позволяют качественно и количественно измерять пространственное распределение плотности потока бета-излучения с поверхности источника, в том числе и произвольной формы.
При решении задачи измерения выхода бета-электронов с поверхности источников ионизирующего излучения перспективным направлением является разработка волоконно-оптических датчиков на базе различных сцинтилляторов [1, 2]. Как показывает практика, подобные датчики обладают достаточным быстродействием, высокой радиационной чувствительностью, низкой чувствительностью к механическим деформациям и изменениям температуры [3–5], а также позволяют изготавливать сенсорные элементы различных конфигураций [6, 7]. Получение измерительной информации с таких датчиков не требует применения развитых методов анализа спектрометрических характеристик и дорогостоящего рефлектометрического оборудования.
Чувствительное к ионизирующему излучению оптическое волокно, применяемое в таких системах, включает сердцевину, выполненную из сцинтилляционного материала, которая продуцирует оптическое излучение – оптический сигнал. Интенсивность оптического сигнала пропорциональна величине радиационного воздействия (мощности дозы). Для защиты от внешнего оптического излучения сцинтилляционное волокно помещается в светонепроницаемую оболочку и соединяется с транспортным оптическим волокном, по которому полученный сцинтилляционный оптический сигнал передается к фотоприемнику [8, 9].
Недостатком известных конструкций таких датчиков является невозможность селекции падающего на чувствительный элемент радиационного излучения по телесному углу, что не позволяет определить величину ни полного выхода излучения с поверхности радиационного источника, ни выхода излучения с его отдельно взятого участка.
В настоящей работе предлагается подход к конструированию сцинтилляционного датчика, направленный на повышение точности измерения пространственного распределения плотности потока бета-излучения с поверхности плоского источника ионизирующего излучения.
КОНСТРУКЦИЯ ИЗМЕРИТЕЛЬНОЙ СИСТЕМЫ
Сенсорный элемент оптоволоконной дозиметрической системы [10] (рис. 1), представляет собой светонепроницаемый корпус 2, выполненный в виде металлического полого цилиндра с зеркальной внутренней поверхностью, обеспечивающий физическую защиту от бокового проникающего бета-излучения, в который помещено сцинтилляционное оптическое волокно 1, входной торец которого отполирован заподлицо со светонепроницаемым корпусом, а выходной торец волокна соединен с оптическим разъемом 3, выполненным единым совместно с корпусом. К оптическому разъему подключается транспортное волокно, соединяющее сенсорный элемент со входом счетчика фотонов. В конструкции сенсорного элемента оптоволоконной дозиметрической системы применяется сцинтилляционное волокно “Saint-Gobain” BSF-60 c диаметром сердцевины 0.25 мм.
Рис. 1. Конструкция сенсорного элемента.
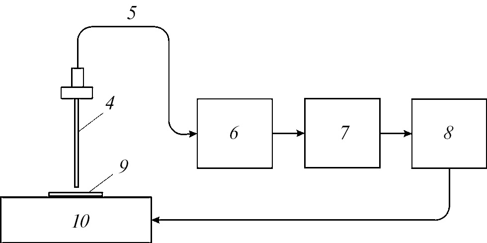
Такой сенсорный элемент предназначен для использования совместно с оптоволоконной дозиметрической системой, показанной на рис. 2. В ее состав входят: сенсорный элемент 4 (см. рис. 1), транспортное оптическое волокно 5, счетчик фотонов 6 и микроконтроллерная система 7. Сенсорный элемент находится в зоне воздействия ионизирующего излучения. Транспортное оптическое волокно 5 соединяет сенсорный элемент 4 со счетчиком фотонов 6, сигналы которого предварительно обрабатывает микроконтроллерная система 7. В качестве счетчика фотонов в настоящей работе использовался модуль счета одиночных фотонов COUNT(R) BLUE компании Laser Components, представляющий собой устройство с высокой квантовой эффективностью и широким динамическим диапазоном. Выходной сигнал со счетчика фотонов предварительно обрабатывает микроконтроллерная система и направляет на персональный компьютер 8 с программным обеспечением для отображения и обработки результатов измерений. Кроме того, персональный компьютер с помощью микроконтроллера управляет трехкоординатным столом 10, позволяющим позиционировать источник ионизирующего излучения 9 относительно сенсорного элемента.
Рис. 2. Структурная схема оптоволоконной дозиметрической системы.
ПОРЯДОК РАБОТЫ ИЗМЕРИТЕЛЬНОЙ СИСТЕМЫ
Предлагаемая дозиметрическая система работает следующим образом. Источник ионизирующего излучения помещается на трехкоординатный рабочий стол. Под воздействием бета-излучения источника ионизирующего излучения, проходящего через входной торец сенсорного элемента, в сцинтилляционном оптическом волокне генерируются фотоны на длине волны порядка 0.5 мкм. Мощность оптического сигнала на выходе сенсорного элемента пропорциональна уровню бета-излучения. Данный сигнал через транспортное оптическое волокно поступает на вход счетчика фотонов. Выходной сигнал счетчика фотонов представляет собой последовательность импульсов, количество которых в единицу времени пропорционально оптической мощности на его входе. Данные импульсы поступают в микроконтроллерную систему, которая осуществляет их подсчет в течение фиксированного интервала времени. Результаты подсчета импульсов усредняются и преобразуются в значения выхода бета-излучения. Полученное значение может отображаться на индикаторе микроконтроллерной системы, а также передаваться в персональный компьютер. Для изменения координат области на поверхности источника ионизирующего излучения, с которой осуществляется измерение, используется трехкоординатный управляемый столик, при помощи которого возможно просканировать всю поверхность источника и получить информацию о пространственном распределении плотности потока бета-излучения с поверхности источника. Пространственное разрешение такой системы определяется диаметром сердцевины сцинтилляционного волокна, телесным углом, в пределах которого на чувствительный элемент поступает бета-излучение от источника, шагом перемещения сенсорного элемента относительно поверхности источника и может достигать половины диаметра сердцевины (около 125 мкм).
МЕТОДИКА МОДЕЛИРОВАНИЯ РАБОТЫ СЕНСОРНОГО ЭЛЕМЕНТА
Для получения параметров чувствительности оптического волоконного зонда при измерении радиационного выхода с поверхности плоского источника на базе изотопа 63Ni проведен модельный расчет работы сенсорного элемента в составе измерительной системы. Процесс симуляции каждого эксперимента включал в себя два этапа:
1) численный расчет поглощенной энергии частиц в объеме сенсорного элемента под воздействием радиационного бета-излучения;
2) аналитическое преобразование поглощенной в сенсоре энергии в число импульсов на выходе фотоприемника.
На первом этапе для моделирования процессов взаимодействия радиационного излучения с сенсорным элементом и расчет поглощенной в объеме сенсора энергии применялись численные методы Монте-Карло в реализации классов пакета Geant4 [11].
С помощью Geant4 были разработаны модели измерительного зонда и радиационного источника на базе изотопа 63Ni в условиях воздушной среды.
Измерительный зонд включал в себя оптический сенсорный элемент на основе сцинтилляционного волокна BSF-60 со следующими параметрами: внешний диаметр защитной оболочки – 350 мкм, диаметр сцинтилляционной сердцевины – 250 мкм. Сцинтилляционная эффективность оптического волокна составляет примерно 2.5%, что соответствует приблизительно 7000 фотонов на 1 МэВ энергии частицы. Волокном захватывается не более 4% произведенных фотонов.
Геометрия моделируемой сцены и визуализация траекторий электронов в процессе симуляции представлены на рис. 3.
Рис. 3. Геометрическая модель сенсорного элемента и источника с визуализацией траекторий движения электронов.
При моделировании во всех случаях использовалась референсная физическая модель QGSP_BIC, которая применима для энергий радиационных частиц меньше 200 МэВ. В процессе моделирования применялись следующие приближения:
1) поглощение энергии в веществе сцинтилляционного материала сердцевины оптического волокна предполагалось однородным;
2) радиационный источник в процессе моделирования рассматривался в виде идеального прямоугольника без краевых дефектов;
3) энергетический спектр излучения радиационного источника на базе 63Ni рассматривался без учета эффекта собственного поглощения.
На втором этапе осуществлялось аналитическое преобразование поглощенной энергии частиц в сенсорном элементе в число импульсов на выходе фотоприемника.
При эффективности преобразования энергии бета-электронов в энергию фотонов yph = 7000 МэВ−1 для исследуемого сцинтилляционного волокна можно рассчитать число фотонов, рождаемых в сцинтилляционном волокне:
,
где Ee – суммарная энергия, переданная волокну бета-частицами в единицу времени, рассчитанная с помощью Geant4.
Поскольку направления движения фотонов, рожденных в сердцевине, равновероятны, долю фотонов, для которых выполняется условие распространения в сторону фотоприемника, можно определить как отношение телесного угла, соответствующего числовой апертуре сцинтилляционного волокна, к полному телесному углу сферы:
,
где εa – коэффициент захвата фотонов волокном, ncl и nc – показатели преломления оболочки и сердцевины волокна соответственно. Так, для сцинтилляционного волокна BSF-60 εa = 0.034.
Потери при переходе от сцинтилляционного к транспортному волокну связаны с несовпадением их числовых апертур и диаметров сердцевин. Соответствующий коэффициент потерь εtr рассчитывается следующим образом [6]:
где εNA – коэффициент потерь оптической мощности, связанный с несовпадением числовых апертур волокон; εd – коэффициент потерь оптической мощности, связанный с несовпадением диаметров сердцевин волокон; NA1, NA2 – числовые апертуры сцинтилляционного и транспортного волокна соответственно; D1, D2 – диаметры сердцевин сцинтилляционного и транспортного волокна соответственно.
При распространении излучения по транспортному волокну наблюдаются потери, связанные с затуханием. Соответствующий коэффициент потерь εat можно определить как
.
Так, при длине транспортного волокна L = 4 м коэффициент εat равен 0.37.
Таким образом, общее количество оптических фотонов, достигших фотоприемника, с учетом ослабляющих факторов определяется выражением
.
Таким образом, с учетом эффективности фотоприемника φ и скорости счета при отсутствии излучения на входе фотоприемника (темновой сигнал) Nd выражение для скорости счета фотонов в зависимости от активности источника ионизирующего излучения имеет вид
.
РЕЗУЛЬТАТЫ МОДЕЛИРОВАНИЯ РАБОТЫ СЕНСОРНОГО ЭЛЕМЕНТА
В соответствии с описанной выше методикой проведения модельных расчетов было проведено несколько численных экспериментов.
Первый численный эксперимент был направлен на оценку чувствительности сенсорного элемента. Выполнялся численный расчет скорости счета фотонов для плоских квадратных источников различных размеров с радиационным выходом равным 2.1 мКи/см2. На рис. 4 приведены зависимости скорости счета для различных размеров источника при различных расстояниях от зонда до источника. В качестве изменяемого параметра выбиралась длина стороны квадрата источника S. Расстояние от источника до зонда z составляло 1.5, 0.5, 0.1, 0.05 мм.
Рис. 4. Зависимость скорости счета фотоприемника от размеров радиационного источника и расстояния от источника до сенсорного элемента.
Как следует из графиков зависимости скорости счета, при малых расстояниях до зонда и при всех размерах источника чувствительность зонда остается практически постоянной. Это обстоятельство позволяет утверждать, что при помощи зонда на малых расстояниях можно осуществлять сканирование поверхности источника, определять неоднородности и детектировать его границы. Кроме того, при малых расстояниях наблюдается высокий отклик, поскольку в этих условиях бета-электроны меньше поглощаются в воздухе. При удалении зонда от поверхности источника уменьшается количество бета-электронов, попавших в чувствительное окно зонда, что связано со снижением вероятности попадания электронов в зонд и поглощением электронов в воздухе. При увеличении размеров источника при фиксированном расстоянии до зонда наблюдается рост скорости счета, связанный с увеличением доли электронов, вылетевших с поверхности и попадающих в зонд. При помощи найденной зависимости можно определять эффективную площадь источников при их производстве.
В ходе следующего численного эксперимента моделировался отклик зонда в зависимости от расстояния до источника ионизирующего излучения на основе изотопа 63Ni (рис. 5). Размеры радиационного источника составляли 10 × 10 мм2. Результаты расчетов демонстрируют тот факт, что даже на значительных расстояниях от источника (порядка нескольких миллиметров) зонд регистрирует электроны, испускаемые с его поверхности.
Рис. 5. Расчетная (сплошная кривая) и экспериментальная (точки) зависимости выхода бета-частиц от расстояния до источника ионизирующего излучения.
В третьем численном эксперименте были проведены расчеты скорости счета на выходе счетчика фотонов при сканировании зондом вдоль поверхности источника по одной координате (Y) при фиксированном расстоянии до зонда (2 мм). На рис. 6 представлены результаты такого расчета (сплошная кривая). Поскольку радиационный выход с поверхности источника полагался равномерным, расчетная кривая представляет собой практически симметричную “ступеньку”, повторяющую форму источника по одной из координат.
Рис. 6. Расчетный (сплошная кривая) и экспериментальный (точки) профиль пространственного распределения выхода бета-электронов источника размером 1 × 1 см2 вдоль одной из координат.
Таким образом, результаты численного моделирования подтверждают возможность измерения пространственного распределения плотности потока бета-излучения с поверхности источника при помощи предложенной системы. При сканировании на малых расстояниях до объекта измерения (порядка нескольких микрон) можно ожидать результаты измерений выхода бета-электронов с разрешением, равным радиусу зонда, что не позволяет делать ни одна из известных систем.
ЭКСПЕРИМЕНТАЛЬНЫЕ ИССЛЕДОВАНИЯ
Для подтверждения работоспособности предложенной системы была изготовлена экспериментальная установка, включающая в себя управляемый координатный столик с длиной хода по всем координатам 20 мм, счетчик фотонов с управляющей микропроцессорной системой, а также чувствительный зонд. Зонд представлял собой металлическую трубку длиной 80 мм, внутрь которой вклеено сцинтилляционное оптическое волокно компании “Saint-Gobain” BSF-60 c диаметром сердцевины 0.25 мм, соединенное с оптическим разъемом. Торец зонда отполирован. Вся система была защищена от попадания внешнего оптического излучения.
В качестве источника ионизирующего излучения был использован образец, представляющий собой медную подложку квадратного сечения площадью 1 см2 с осажденным слоем никеля-63. Для подготовки поверхности медная подложка вклеивалась в эпоксидную смолу, а затем полировалась до уровня шероховатости менее 1 мкм. Осаждение никеля-63 проводилось в гальваностатическом режиме при силе тока 20 мА в течение 90 мин из сульфатно-боратного электролита состава: [63NiCl2] = 0.5 г/л, [Na2SO4] = 21.3 г/л и [H3BO3] = 40.3 г/л с рН = 5.5. Толщина осажденного никелевого слоя составила 1.8 мкм, общая активность источника – 6.5 · 108 с−1, расчетный выход бета-частиц – 9.1 · 107 с−1. Оценка толщины слоя, активности источника и выхода бета-частиц проводилась аналогично методике, описанной в работе [12].
На рис. 5 представлена зависимость выхода бета-частиц от расстояния до источника ионизирующего излучения. Шаг измерений составлял 100 мкм.
При сравнении результатов расчетов с экспериментальными данными можно отметить хорошее качественное совпадение. Количественное расхождение следует отнести на несовершенство модели и условий проведения экспериментов. В частности, фоновые значения скорости счета фотоприемника оказались выше учитываемых в модели. Количественное расхождение экспериментальных и расчетных значений может быть связано также с неравномерностью поверхностного выхода реального источника бета-излучения, что может быть обусловлено, например, неравномерностью распределения радиоизотопа внутри образующего источник слоя вещества. Описанная модель источника предполагает равномерность радиационного выхода с поверхности источника.
На рис. 6 изображен экспериментальный профиль пространственного распределения выхода бета-электронов источника размером 1 × 1 см2 по одной из координат. На рисунке виден значительный разброс экспериментальных значений скорости счета вдоль поверхности источника, что также связано с нестационарностью и неидеальностью условий проведения измерений. При этом следует отметить, что учет геометрических размеров источников, используемых при модельном расчете и в ходе измерений, позволяет сделать вывод о хорошем соответствии результатов друг другу.
Результаты эксперимента можно считать предварительными, и мы ожидаем, что проведение дополнительных более длительных экспериментов с источником ионизирующего излучения позволит улучшить количественное совпадение результатов с модельным расчетом.
ВЫВОДЫ
Таким образом, проведенные модельные и экспериментальные исследования подтверждают работоспособность предложенной дозиметрической системы. Разработанный сенсорный элемент обеспечивает достаточную пространственную разрешающую способность измерения выхода бета-излучения с поверхности бета-источников ионизирующего излучения и позволяет проводить измерение профилей данных характеристик.
Дозиметрическая система может быть использована для определения границ источника излучения на поверхности объекта, выявления неоднородностей выхода бета-излучения, а также для измерения эффективной площади источников при их производстве.
ФИНАНСИРОВАНИЕ РАБОТЫ
Работа выполнена при поддержке Российского научного фонда (грант № 23-22-00346, https://rscf.ru/project/23-22-00346).
About the authors
С. Г. Новиков
Ульяновский государственный университет
Email: granik@ya.ru
Russian Federation, Ульяновск
А. В. Беринцев
Ульяновский государственный университет
Email: granik@ya.ru
Russian Federation, Ульяновск
А. С. Алексеев
Ульяновский государственный университет
Author for correspondence.
Email: granik@ya.ru
Russian Federation, Ульяновск
А. В. Жуков
Ульяновский государственный университет
Email: granik@ya.ru
Russian Federation, Ульяновск
Р. А. Кузнецов
Ульяновский государственный университет
Email: granik@ya.ru
Russian Federation, Ульяновск
К. С. Бобровская
Ульяновский государственный университет
Email: granik@ya.ru
Russian Federation, Ульяновск
А. А. Черторийский
Ульяновский филиал Института радиотехники и электроники им. В.А. Котельникова Российской академии наук
Email: granik@ya.ru
Russian Federation, Ульяновск
В. В. Приходько
Ульяновский государственный университет
Email: vp@ulsu.tech
Russian Federation, Ульяновск
References
- Liang Ding, Qiong Wu, Qun Wang et al. // EJNMMI Physics. 2020. V. 7(1). P. 60. https://doi.org/10.1186/s40658-020-00327-6.
- O’Keeffe S., McCarthy D., Woulfe P. et al. // The British Journal of Radiology. 2015. V. 88(1050). P. 20140702. https://doi.org/10.1259/bjr.20140702.
- Munier M., Sohier T., Muller N. et al. // Physica Medica: European Journal of Medical Physics. 2014. V. 30. P. 129. https://doi.org/10.1016/j.ejmp.2014.10.026.
- Kertzscher G., Beddar S. // Physics in Medicine & Biology. 2019. V. 64(22). P. 225018. https://doi.org/10.1088/1361-6560/ab421f.
- Wook Jae Yoo, Dayeong Jeon, Jeong Ki Seo et al. // Radiation Measurements. 2013. V. 48. P. 29. https://www.sciencedirect.com/science/article/pii/S1350448712003174. https://doi.org/10.1016/j.radmeas.2012.11.001.
- Новиков С.Г., Беринцев А.В., Светухин В.В. и др. // Известия Самарского научного центра РАН. 2014. Т. 16(6). С. 95. http://www.ssc.smr.ru/media/journals/izvestia/2014/2014_6_95_100.pdf.
- Новиков С.Г., Алексеев А.С., Беринцев А.В. РФ Патент 193439U1, 2019.
- Posar J.A., Davis J., Brace O. et al. // Physics and Imaging in Radiation Oncology. 2020. V. 14. P. 48. https://www.sciencedirect.com/science/article/pii/S2405631620300208. https://doi.org/10.1016/j.phro.2020.05.007.
- Bae Jun Woo, Kim Hee Reyoung // Nuclear Engineering and Technology. 2020. V. 52 (6). P. 1259. https://www.sciencedirect.com/science/article/pii/S1738573318308908. https://doi.org/10.1016/j.net.2019.11.013.
- Алексеев А.С., Новиков С.Г., Беринцев А.В. и др. РФ Патент 213911U1, 2022.
- Geant4. http://geant4.web.cern.ch/geant4.
- Кузнецов Р.А., Бобровская К.С., Белобров И.С. и др. // Радиохимия. 2022. Т. 64(3). С. 289. https://sciencejournals.ru/issues/radkhim/2022/vol_64/iss_3/RadKhim_2202012Kuznetsov/RadKhim_2202012Kuznetsov.pdf.
Supplementary files








