Регулируемые источники постоянного тока на суперконденсаторных накопителях для питания магнитных систем микроволновых генераторов
- Authors: Выходцев П.В.1, Карпов Ю.А.1, Степченко А.С.1, Ростов В.В.1
-
Affiliations:
- Институт cильноточной электроники Сибирского отделения Российской академии наук Россия
- Issue: No 3 (2024)
- Pages: 40-53
- Section: ЭЛЕКТРОНИКА И РАДИОТЕХНИКА
- URL: https://journals.rcsi.science/0032-8162/article/view/277657
- DOI: https://doi.org/10.31857/S0032816224030054
- EDN: https://elibrary.ru/OVTQZK
- ID: 277657
Cite item
Full Text
Abstract
Описана возможность использования современных энергоемких накопителей на основе суперконденсаторов применительно к задачам питания магнитных систем мощных микроволновых генераторов на основе релятивистских ламп обратной волны (ЛОВ). Магнитные системы таких генераторов состоят из двухсекционного соленоида, по обмоткам которого во время работы генератора течет ток силой до 700 А в течение нескольких секунд. Питание магнитных систем осуществляется от емкостного накопителя на основе суперконденсаторных модулей через регуляторы тока понижающего типа. Стабилизация тока осуществляется путем увеличения длительности открытого состояния ключей по мере разряда накопителя. Система управления источниками питания содержит микропроцессор, осуществляющий управление силовыми ключами регуляторов тока, а также управление процессами зарядки накопителя и взаимодействие с периферийными устройствами. В работе представлены все необходимые формулы для расчета параметров регулятора тока, оценки требуемой емкости накопителя и его энергетических характеристик, а также два варианта реализации подобных источников питания: первый — с выходной мощностью до 280 кВт и длительностью выходного тока до 1.5 с, второй — с мощностью 90 кВт и длительностью выходного тока до 2.5 с.
Full Text
1. ВВЕДЕНИЕ
В последние годы не убывает интерес к источникам мощного СВЧ-излучения различного типа применительно к задачам оценки и повышения помехоустойчивости электронного оборудования, которым все более насыщается транспорт, авиационная и военная техника, а также для эффективного противодействия неприятельской робототехнике, включая беспилотные летательные аппараты, управляемые снаряды, а также системы ПВО, РЛС. Одними из подходящих для этих целей являются электронные СВЧ-генераторы типа релятивистской лампы обратной волны (ЛОВ) [1–3], создаваемые на основе сильноточных импульсно-периодических ускорителей “СИНУС” [4]. Выходная мощность таких генераторов, работающих в дециметровом, сантиметровом и миллиметровом диапазонах длин волн, составляет 250–800 МВт при длительностях выходных импульсов 10–50 нс. Массогабаритные характеристики пары ЛОВ–“СИНУС” при текущем уровне развития элементной базы позволяют создавать относительно компактные, дистанционно управляемые, автономные источники мощного импульсного СВЧ-излучения, позволяющие решать упомянутые выше задачи.
В микроволновых генераторах на основе релятивистских ЛОВ магнитное поле для транспортировки электронного пучка создается соленоидами [5]. Из работ [1–3, 6–8] известно, что для транспортировки электронного пучка по замедляющей системе ЛОВ необходимо магнитное поле индукцией 0.5–2 Тл. Для формирования таких полей в объемах от 500 до 15000 см3 с помощью соленоидов требуется электрическая мощность от 15 до 300 кВт. Это предъявляет серьезные требования к мощности питающей сети и охлаждению магнитных систем. В то же время для решения большинства задач научно-исследовательского характера не требуется длительной непрерывной работы микроволнового генератора. Использование современных накопителей энергии на основе суперконденсаторов в качестве источника энергии для пары ЛОВ–“СИНУС” позволяет организовать их работу в импульсно-периодическом режиме с характерной продолжительностью работы микроволнового генератора в единицы секунд и минутными паузами между последовательностями импульсов. Подзарядка накопителей и охлаждение магнитных систем происходят во время пауз. В силу емкостного характера накопителя, напряжение которого снижается по мере потребления энергии, а также в связи с ростом сопротивления обмоток по причине их нагрева возникает необходимость стабилизации тока в обмотках магнитной системы в течение всей последовательности импульсов.
2. ПОСТАНОВКА ЗАДАЧИ И АНАЛИЗ ТЕХНИЧЕСКИХ РЕШЕНИЙ
Магнитные системы генераторов на основе ЛОВ в простейшем виде состоят из катушки в виде соленоида, намотанной на трубу диаметром 6–20 см и длиной 20–100 см, внутри которой расположена замедляющая система ЛОВ с катодом и анодом. Распределение магнитной индукции по длине в таких магнитных системах определяется особенностями работы ЛОВ, как правило, оно неоднородно с максимумом в области катода [6]. С целью настройки режимов работы микроволновых генераторов зачастую требуется независимая подстройка силовой линии магнитного поля в области замедляющей системы и катода [6, 7]. По этой причине магнитные системы, как правило, делаются двухсекционными с независимым питанием каждой секции от отдельного регулируемого источника тока. Обмотки магнитных систем, разработанных и используемых в ИСЭ СО РАН, состоят из нескольких тысяч витков медного провода прямоугольного сечения площадью 5–15 мм2, имеющего большой коэффициент заполнения. Укладка провода может быть сплошной в случае естественного охлаждения или секционной с принудительной циркуляцией масла между секциями. Исходя из количества витков, геометрических размеров и сечения провода, активное сопротивление обмоток находится в диапазоне от нескольких сотен мОм до единиц Ом, индуктивность — в диапазоне от 10 до 100 мГн.
Согласно работе [9] индукция формируемого магнитного поля пропорциональна току, текущему в обмотке, и количеству ее витков. Таким образом, временная нестабильность магнитного поля главным образом определяется флуктуациями тока в обмотке, ΔB~ΔI. Практика показывает, что изменение магнитного поля в пределах ±5% от заданного значения не оказывает значительного влияния на режим работы релятивистских микроволновых генераторов на основе ЛОВ.
В настоящее время в диапазоне мощностей от 10 до 20 кВт существует большой выбор среди серийно выпускаемых источников питания по совокупности выходных параметров, подходящих для питания магнитных систем релятивистских ЛОВ. В микроволновом генераторе [6] магнитная система питалась от двух серийных источников питания постоянного тока с максимальным выходным током до 100 А и мощностью до 15 кВт каждый. При выходных мощностях свыше 15 кВт выбор среди серийно выпускаемых источников питания уже не так велик. К тому же при продолжительной работе магнитных систем на таких мощностях на первое место выходит как проблема охлаждения, так и проблема наличия мощной питающей сети переменного тока. Эти проблемы приобретают еще большее значение при работе микроволновых генераторов в полевых условиях [3].
В силу того, что обмотка магнитной системы представляет собой нагрузку индуктивно-резистивного характера, для регулировки тока и его стабилизации при разряде накопителя наиболее подходящей является схема регулятора тока понижающего типа [10]. Данная схема позволяет питать обмотки магнитной системы от накопителя, заряженного до напряжения, существенно превышающего эффективное постоянное напряжение обмотки US0, и стабилизировать ток по мере разряда накопителя. Под напряжением US0 понимается падение напряжения на активном сопротивлении обмотки при протекании по ней постоянного тока заданной величины IS0, обеспечивающей требуемый уровень индукции формируемого магнитного поля. Исходя из параметров обмоток магнитных систем и потребляемой мощности, можно сформулировать следующие требования к накопителям: зарядное напряжение от 300 до 600 В, выходной ток от 200 до 1000 А, продолжительность работы до нескольких секунд на номинальной выходной мощности в десятки–сотни кВт. Из этого следует, что начальная запасаемая в накопителе энергия, необходимая для обеспечения работы магнитной системы в течение нескольких секунд, находится в диапазоне от сотен кДж до единиц МДж.
Сравнительный анализ накопителей энергии [11, 12] показывает, что электростатические конденсаторы и суперконденсаторы, также называемые молекулярными накопителями энергии (МНЭ), при небольшой удельной энергии обладают высокими показателями по удельной мощности. Аккумуляторы, в отличие от конденсаторов и МНЭ, обладают достаточно большой удельной энергией, но имеют относительно высокое внутреннее сопротивление.
Это качество аккумуляторов в значительной степени снижает удельную мощность проектируемых на их основе накопителей. Для повышения выходной мощности возникает необходимость использования энергоемких аккумуляторов с повышенным выходным током и, следовательно, большими энергозапасом и массой, соединяемых последовательно для получения нужного напряжения [13]. По этой причине накопители с подходящими для питания магнитных систем выходными параметрами имеют избыточный энергозапас и большие массогабаритные характеристики. Тем не менее такой тип накопителя совместно с регулятором тока понижающего типа [10] использовался для питания магнитной системы в работе [14].
Электростатические “классические” конденсаторы всех типов по причине низкой удельной энергии не представляют интереса для построения накопителей, обладающих энергозапасом, достаточным для питания магнитных систем в течение нескольких секунд. Накопители на их основе имеют крайне большие массу и габариты при избыточной выходной мощности и больше подходят для питания работающих в однократном режиме “импульсных” магнитных систем [9].
Суперконденсаторы [11, 12, 15] занимают промежуточное положение между традиционными конденсаторами и аккумуляторами и, в отличие от аккумуляторов, имеют большую удельную мощность, но меньшую удельную энергию. При этом значения этих параметров являются оптимальными с точки зрения построения относительно компактных накопителей с запасаемой энергией от сотен кДж до единиц МДж. К тому же форма их гальваностатических зарядных и разрядных кривых близка к линейной, как у обычных электростатических конденсаторов [12]. Также суперконденсаторы, по сравнению с аккумуляторами, обладают целым рядом преимуществ [11, 12], среди которых применительно к задачам организации питания магнитных систем, а также ускорителей “СИНУС” [4] можно выделить малое время и большое количество циклов заряда-разряда, большой срок службы, а также возможность работы в широком диапазоне температур окружающей среды.
Для практических применений, к которым также относится организация питания магнитных систем, необходимы накопители с напряжением в сотни вольт, при их создании на основе элементарных суперконденсаторов в настоящее время используются две основные технологии: наборная и намоточная [15]. Суперконденсаторы, выполненные по наборной технологии [16], также называемые молекулярными накопителями энергии (МНЭ), обладают высоким зарядным напряжением (до 420 В). Удельная энергия таких накопителей может достигать значения 2.5 кДж/кг при удельной мощности до 5 кВт/кг. По этим качествам МНЭ подходят для применения в качестве накопителей энергии для питания магнитных систем и ускорителей типа “СИНУС”. В то же время из работы [16] также следует, что максимальная удельная энергия МНЭ, имеющих зарядное напряжение свыше 160 В, едва достигает значения 1.8 кДж/кг, что существенно ниже значений удельной энергии современных образцов суперкондесаторных модулей [17]. К недостаткам этих накопителей также можно отнести цилиндрическую конструкцию их корпуса, из-за которой нерационально используется внутренний объем источника питания. В силу этих причин источники питания с накопителями на основе МНЭ имеют большую массу и габариты, что затрудняет их применение в мобильных системах. Например, накопитель с запасаемой энергией в 1.6 МДж источника питания магнитной системы, описанный в работе [18], состоял из 32 накопителей МНЭ общей массой более 1 т.
Суперконденсаторы, выполненные по намоточной технологии [17], обладают низким зарядным напряжением, равным напряжению разложения электролита, которое, как правило, не превышает значения 3 В, емкостью до нескольких тысяч фарад и малым внутренним сопротивлением. Удельная энергия на единицу массы у некоторых моделей достигает значения 21.6 кДж/кг [11, 12]. В настоящее время такие суперконденсаторы, также называемые базовыми ячейками, производятся многими компаниями и составляют большинство выпускаемой продукции. Поскольку максимальное зарядное напряжение базовых ячеек составляет единицы вольт, для получения нужных значений зарядного напряжения и емкости их соединяют последовательно с использованием схем балансировки [12, 19], параллельно или смешанно, и конструктивно объединяют в модули или блоки. При этом их электрические характеристики и свойства соответствуют таковым для обычных конденсаторов.
Модульные накопители энергии на основе суперконденсаторов в настоящее время выпускаются многими зарубежными [20–24] и отечественными [25–26] компаниями. В табл. 1 представлены характеристики серийно выпускаемых модулей, имеющих зарядное напряжение свыше 100 В. В табл. 1 также видно, что удельный энергозапас модулей находится в диапазоне от 6 до 17 кДж/кг и в большей степени зависит от конструктивного исполнения корпуса, а в меньшей — от типа используемых ячеек, энергетические характеристики которых приблизительно одинаковы. Зачастую многие компании предлагают решения в бескорпусном исполнении в виде печатных плат с напаянными базовыми ячейками и элементами схемы балансировки. Удельный энергозапас таких модулей может превышать значение 20 кДж/кг, приближаясь к энергозапасу базовых ячеек. К тому же конструкция в виде печатных плат позволяет компактно размещать их в общем корпусе источника и соединять различными способами для получения нужных значений зарядного напряжения и емкости.
Таблица 1. Характеристики серийно выпускаемых модульных суперконденсаторных накопителей с зарядным напряжением свыше 100 В
Компания | Напряжение, В | Емкость, Ф | ESR, мОм | Пиковый ток(1с), А | Размеры Д×Ш×В, мм3 | Масса, кг | Удельный энергозапас, Дж/кг |
Maxwell [20] | 160 | 10 | 160 | 200 | 380×258×93 | 7.4 | 17.3(1) |
6 | 188 | 170 | 366×234×80 | 5.1 | 15(1) | ||
WIMA [21] | 125 | 62 | 16.4 | До 1900 | 409×576×156 | 31.9 | 15.18(1) |
KYOCERA AVX [22] | 160 | 5.8 | 150 | 249 | 234×364×80 | 5.3 | 14(1) |
LS Mtron [23] | 129.6 | 62 | 13.2 | До 2300 | 720×405×226 | 53 | 9.8(1) |
162.4 | 15 | 110 | 460 | 684×202×184 | 18.5 | 10.7(1) | |
SPS cap [24] | 160 | 5.8 | 200 | 214 | 367×235×79 | 6 | 12.4(1) |
150 | 5.8 | 200 | 200 | 80×420×283 | 10 | 6.5(1) | |
144 | 55 | 17 | 200 | 540×705×300 | 85 | 6.7(1) | |
Ультраконденсаторы Феникс [25] | 360 | 2.4 | 260 | 250 | 350×310 155 | 15.5 | 10(1) |
110 | 12 | 120 | 290 | 268×204×100 | 3.5 | 20.7(2) | |
105 | 15 | 120 | 290 | 268×204×100 | 3.5 | 23.6(2) | |
Titan Power Solution [26] | 360 | 2.4 | 360 | 175 | 379×300×167 | 17 | 9.1(1) |
1200 | 6.3 | 139 | 1000 | 820×793×1200 | 600 | 7.5(1) | |
105 | 7.8 | 79.8 | 270 | 264×200×68 | 4 | 10.7(2) |
(1) модули в корпусе, (2) модули в бескорпусном исполнении в виде печатных плат.
3. ПРИНЦИП РАБОТЫ
3.1. Разряд накопителя при стабилизации тока в обмотке
Применение управляемого регулятора тока понижающего типа с обратной связью [10], регулирующего и стабилизирующего тока в обмотках магнитной системы, позволяет избавиться от спада тока во время разряда накопителя. Таким способом можно осуществлять достаточно глубокую разрядку накопителя, вплоть до уровня напряжения, равного эффективному напряжению обмотки соленоида USeff, что ведет к более эффективному использованию запасенной в накопителе энергии. Это также позволяет существенно снизить емкость накопителя относительно режима нестабилизированного разряда и, следовательно, снизить массогабаритные характеристики микроволнового генератора. Схема питания обмотки магнитной системы от емкостного накопителя через регулятор тока приведена на рис. 1.
Рис. 1. Схема питания обмотки магнитной системы от накопителя через регулятор тока.
Емкостной накопитель энергии емкостью С и внутренним сопротивлением r0 предварительно заряжается с помощью зарядного устройства ЗУ постоянным током IЗ до напряжения UC0, в несколько раз превышающего эффективное напряжение соленоида (магнитной системы) US0. В определенный момент времени включается регулятор тока, замыкается ключ S и ток в витках магнитной системы начинает нарастать (интервал t0-t1 на рис. 2) до значения IS0, вокруг которого происходит его стабилизация по мере разряда накопителя. По достижении током максимального значения IS0+ΔIS ключ S размыкается и отключает накопитель от обмотки. Сразу после этого открывается диод VD, замыкая контур с током, и ток в магнитной системе начинает экспоненциально спадать согласно постоянной времени. По достижении током минимального значения IS0-ΔIS ключ S вновь замыкается и процесс повторяется. В дальнейшем изложении под током IS0 понимается значение, усредненное по некоторому временному промежутку, равному периоду коммутации ключа S. В действительности ток в витках магнитной системы имеет флуктуирующий характер и зависит от времени:
, (1)
где ΔIS(t) — флуктуирующая часть тока с амплитудой ΔIS.
Рис. 2. Графики напряжения и тока.
Динамика изменения тока в витках магнитной системы IS(t) в случае замкнутого ключа S описывается следующим дифференциальным уравнением:
(2)
Решением этого уравнения является следующая временная зависимость тока IS(t) в случае замкнутого ключа S:
(3)
Временная зависимость тока IS(t) в случае разомкнутого ключа является решением уравнения при нулевой правой части:
, (4)
гдe τ1 = L / (R+r0) и τ2 = L/R — постоянные времени обмотки.
Таким образом, включая и выключая ключ S в течение временных интервалов tON и tOFF, можно регулировать ток IS в обмотках магнитной системы. При этом длительность отрытого состояния ключа tON, необходимая для достижения током значения IS0+ΔIS, растет по мере разряда накопителя, а длительность закрытого состояния tOFF определяется только величиной тока в момент закрывания ключа. При этом отношение D = tON/(tON+tOFF), называемое скважностью, будет определять среднее значение тока IS0. Соотношение между средними за период регулирования значениями напряжений и токов также определяется скважностью коммутации ключа S:
. (5)
Частота коммутации силового ключа, обеспечивающая требуемую амплитуду пульсаций тока и, следовательно, формируемого магнитного поля, определятся следующим выражением:
. (6)
Стабилизация тока возможна до тех пор, пока выходное напряжение накопителя при замкнутом ключе S не достигнет уровня, равного , после которого с момента времени t2 начинается разряд накопителя по экспоненциальному закону. Этот случай показан на рис. 2 штриховыми линиями.
3.2. Энергетические характеристики накопителя
Согласно балансу мощностей и пренебрегая потерями в ключе S, можно сказать, что мощность, отдаваемая накопителем в нагрузку во время стабилизации тока, с большой точностью равна мощности, потребляемой магнитной системой, PC ~ PS. Имеет место разряд накопителя постоянной мощностью
.
При этом полная энергия , потребляемая из запасенной энергии накопителя, является суммой энергий, выделяющихся на активном сопротивлении магнитной системы R и внутреннем сопротивлении накопителя r0.
Энергия , выделяющаяся на внутреннем сопротивлении накопителя, является паразитным параметром, для компенсации которого требуется большее значение емкости накопителя или повышенное зарядное напряжение. Эта энергия выделяется только в течение времени tON, когда ключ замкнут, она равна . Среднее значение мощности тепловых потерь на внутреннем сопротивлении за период регулирования, равный периоду открывания ключа S, , определяется следующим выражением:
, (7)
которое также достаточно точно можно оценить как
.
С учетом этого временная зависимость выходного напряжения накопителя во время стабилизации тока магнитной системы будет выглядеть следующим образом:
. (8)
Максимальная продолжительность питания магнитной системы от накопителя, в течение которой возможна стабилизация ее тока, без учета расхода энергии на переходной процесс, связанный с нарастанием тока, выглядит следующим образом:
. (9)
Величина времени определяет время работы магнитной системы и является одним из исходных параметров, задаваемых на стадии проектирования микроволнового генератора, совместно с параметрами магнитного поля она задает энергетические характеристики накопителя. Поэтому с практической точки зрения возникает необходимость в точном определении этого параметра.
Среднюю мощность потерь на внутреннем сопротивлении накопителя можно представить как , здесь Dср — среднее значение скважности коммутации ключа S за все время стабилизации тока Tстаб. С учетом практически линейной характеристики выходного напряжения накопителя во время его разряда постоянной мощностью величину Dср можно определить как
, (10)
где D1 и D2 — значения скважности тока в моменты времени t1 в начале и t2 в конце временного интервала tстаб.
Поскольку в конце временного интервала tстаб выходное напряжение накопителя становится равным эффективному напряжению соленоида , ключ S остается постоянно замкнутым в течение всего периода регулирования. Из этого следует, что скважность тока в этот момент времени D2=1.
Для нахождения значения скважности D1 схема на рис. 1 преобразовывается к упрощенному виду, соответствующему состоянию регулятора строго в момент времени t1. В упрощенной схеме на рис. 3 накопитель представлен в виде источника постоянной ЭДС E с внутренним сопротивлением r0, а обмотка магнитной системы совместно с регулятором тока — в виде постоянного сопротивления R. Напряжение источника ЭДС E равно начальному зарядному напряжению накопителя UC0 без учета падения на внутреннем сопротивлении. Значение сопротивления R неизвестно, но мощность, рассеиваемая на нем, равна мощности, потребляемой магнитной системой.
Рис. 3. Упрощенная эквивалентная схема источника питания.
После замыкания ключа S в активном сопротивлении R начинает течь ток IC и выделяться мощность , значение которой равно мощности, потребляемой магнитной системой, и известно на стадии ее расчета. Для схемы регулятора тока на рис. 1 это соответствует моменту времени t1, с которого началась стабилизация тока. Напряжение на выходе источника UC и его ток IC при замкнутом ключе S описываются следующей системой уравнений:
(11)
Решение этой системы после подстановки тока IC = PS0 / UC в первое уравнение сводится к решению квадратного уравнения U2C – . Корнями этого уравнения являются
– напряжение на выходе источника E при замкнутом ключе S и – падение напряжения на его внутреннем сопротивлении r0. Применительно к схеме на рис. 1 UC1 соответствует выходному напряжению накопителя UC1(t) в момент времени t1, UC2 — падению напряжения на внутреннем сопротивлении накопителя Ur0(t) в момент времени t1. На основании значения UC1 по формуле (5) определяется скважность открывания ключа S в момент времени t1 и далее по формуле (10) ее среднее значение Dср за все время стабилизации тока Tстаб.
Значение времени Tстаб, определенное по формуле (9), является не совсем точным, поскольку эта формула справедлива только для стабилизированного разряда накопителя постоянной мощностью. При этом не учитывается расход энергии накопителя на переходный процесс, связанный с нарастанием тока в обмотке до заданного значения IS0 (интервал t0-t1 на графике рис. 2).
3.3. Эффективность использования накопителя и его КПД
Одной из важнейших характеристик источников питания, выполненных на основе накопителей энергии, является коэффициент использования запасенной в нем энергии. Этот коэффициент является отношением энергии, потребленной от накопителя за все время , к изначально запасенной в нем энергии, он показывает эффективность использования энергии накопителя магнитной системой:
, (12)
где E0 — энергия, изначально запасенная в накопителе, заряженном до номинального рабочего напряжения U0, ECmin — остаточная энергия накопителя при напряжении UCmin.
Поскольку стабилизация тока в магнитной системе возможна до тех пор, пока выполняется условие , выражение (12) с учетом этого условия можно записать в следующем виде:
. (13)
Из формул (12) и (13) следует, что чем ниже остаточное напряжение на накопителе UCmin, тем эффективнее используется запасенная в нем энергия.
За время стабилизации тока накопитель разряжается током IC(t), при этом часть запасенной в нем энергии рассеивается в виде тепла на его внутреннем сопротивлении r0, вызывая его нагрев. Эта энергия определяется следующим выражением:
. (14)
При этом значение разрядного тока накопителя является доподлинно не известной величиной, зависящей, согласно формуле (5), от его выходного напряжения UC(t) и тока магнитной системы IS0. Полная энергия, потребленная магнитной системой от накопителя, определяется формулой
, (15)
где ES — полная энергия, выделившаяся на активном сопротивлении обмотки за все время протекания тока. Эта энергия определяется следующим выражением:
. (16)
При оценке полной потребленной энергии не учитываются потери на ключевых (силовых полупроводниковых) элементах регулятора тока, а также потери на подводящих проводах и шинах ввиду их незначительности по сравнению с величинами ES и Er0.
Выражение для коэффициента полезного действия (КПД) накопителя Keff, показывающего, какая часть потребленной из него энергии была использована на создание магнитного поля, выглядит следующим образом:
. (17)
Потери энергии на внутреннем сопротивлении, согласно формуле (14), растут одновременно с ростом потребляемого тока и времени работы магнитной системы. Отсюда следует, что основным фактором, ведущим к снижению КПД накопителя как источника энергии, является величина тока, потребляемого магнитной системой от накопителя.
4. РЕАЛИЗАЦИЯ ИСТОЧНИКОВ ПИТАНИЯ МАГНИТНЫХ СИСТЕМ
4.1. Двухканальный источник с суммарной выходной мощностью до 280 кВт
На основе накопителей, состоящих из суперконденсаторных модулей, с использованием описанных выше теоретических принципов в ИСЭ СО РАН было реализовано несколько двухканальных источников питания магнитных систем. Суммарная выходная мощность обоих каналов каждого источника находилась в диапазоне от десятков до нескольких сотен кВт при длительности стабилизации выходного тока Tстаб в единицы секунд.
На рис. 4, 5 показаны структурная схема и внешний вид источника, предназначенного для питания магнитной системы, состоящей из двухсекционного “теплого” соленоида, постоянным током суммарной мощностью до 300 кВт в течение 1 с. Данная магнитная система совместно с источником питания разработана и изготовлена в ИСЭ СО РАН (г. Томск), она работает в составе плазменного мазера, собранного в АО “ГНЦ РФ ТРИНИТИ” в 2021 г. И являющегося источником мощного широкополосного СВЧ-излучения. Номинальный рабочий уровень токов в секциях магнитной системы составляет 610 А для первой и 170 А для второй секции, при этом максимальная амплитуда пульсаций токов не превышает ±2% от заданных значений. Максимальная индукция магнитного поля в первой секции диаметром 48 мм и длиной 120 мм на номинальном токе составляет 3 Тл, индукция однородного магнитного поля второй секции диаметром 68 мм и длиной 670 мм составляет 1 Тл. В целях подстройки силовой линии магнитного поля выходной ток каждого канала может независимо устанавливаться перед каждым включением. Диапазон изменения выходного тока составляет от +25% до -50% от номинального значения. При этом верхний предел выходного тока ограничен порогом срабатывания аппаратной защиты от перегрузки, а нижний — допустимым уровнем пульсаций.
Рис. 4. Структурная схема источника питания мощностью 280 кВт.
Рис. 5. Внешний вид источника питания: 1 — накопитель; 2 — зарядные устройства; 3 — контроллер и блок коммутации; 4 — разрядные сопротивления.
При активном сопротивлении секций магнитной системы, равном 0.57 Ом для первой секции и 2.17 Ом для второй, суммарная выходная мощность источника при номинальном токе достигает значения 280 кВт. Расчетные значения эффективного постоянного напряжения, определяющие глубину разряда накопителя, составляют 347.7 В для первой секции и 368 В — для второй.
Источник питания состоит из накопителя, заряжаемого двумя зарядными устройствами ЗУ1 и ЗУ2, от которого через регуляторы тока питаются обмотки соленоидов магнитной системы, а также системы управления, состоящей из контроллера и персонального компьютера (ПК).
Накопитель состоит из 36 включенных последовательно-параллельно суперконденсаторных сборок НСКБК 12–110 производства компании “Ультраконденсаторы Феникс” [25]. Согласно паспортным данным, емкость каждой сборки составляет 12 Ф, максимальное зарядное напряжение — 110 В, внутреннее сопротивление — 0.12 Ом. При таких параметрах сборок и последовательно-параллельной схеме включения суммарная емкость накопителя составляет 12 Ф. Значение внутреннего сопротивления согласно такой схеме включения равно 0.12 Ом. Энергия, запасаемая в накопителе, заряженном до номинального рабочего напряжения 600 В, составляет 2.16 МДж. Накопитель заряжается постоянным током IЗ1 и IЗ2 от двух зарядных устройств ЗУ1 и ЗУ2. В качестве зарядных устройств используются стабилизированные источники питания с регулируемыми выходными параметрами ИПС-6000-380/500B-15A-3UR [27], работающие в режиме источника тока. Максимальное значение выходного тока каждого зарядного устройства составляет 15 А, верхнее значение выходного напряжения составляет 500 В, при этом максимальная выходная мощность ограничена схемой управления источника на уровне 6 кВт. Полное время зарядки накопителя с нулевого до рабочего уровня напряжения, равного 600 В, составляет приблизительно 8.5 мин.
Транзисторы VT1 и VT2 регуляторов тока коммутируют напряжение накопителя на обмотки каждой секции магнитной системы. Максимальная частота выполнения алгоритма регулирования и коммутации силовых ключей составляет 1 кГц, чего вполне достаточно для обеспечения необходимой амплитуды пульсаций тока. Диоды VD1 и VD2 замыкают контуры тока после закрывания транзисторов. Токи IS1 и IS2 в секциях магнитной системы измеряются датчиками тока ДТ1 и ДТ2.
В качестве транзистора и диода в первом канале используются IGBT-модули МДТКИ 1200-17К, во втором канале — модули МДТКИ 400-17К производства ООО “Электровыпрямитель”. Драйвер, выполненный в виде устанавливаемой непосредственно на IGBT-модуль печатной платы, является собственной разработкой на основе микросхемы ACPL352. В качестве датчиков тока используются датчики фирмы Honeywell, работающие на эффекте Холла. Конструктивно каждый регулятор тока с целью улучшения электромагнитной совместимости выполнен в отдельном корпусе и размещен на боковой стенке шкафа.
Система управления источником питания состоит из контроллера и персонального компьютера. Контроллер, выполненный на базе микропроцессора STM32F407VET6 фирмы “STMicroelectronics”, измеряет и регулирует ток в секциях магнитной системы путем управления временем открытия ключей согласно релейному закону регулирования [28]. Алгоритм регулирования выполняется микропроцессором программно. Для достижения необходимой точности регулирования и стабилизации тока период получения данных с АЦП и выполнения алгоритма регулирования должен удовлетворять следующему условию:
. (18)
Контроллер также проверяет значения токов на предмет их вхождения в заданные диапазоны, на основании чего им формируется сигнал готовности магнитного поля Готов, разрешающий работу ускорителя. Другой функцией контроллера является измерение напряжения накопителя и управление процессом его зарядки и разрядки.
В установленной на персональном компьютере программе управления реализован графический интерфейс пользователя, задаются и хранятся все настройки, а также отображаются осциллограммы выходных токов и напряжений, которые затем сохраняются в виде файлов истории. Связь между персональным компьютером и контроллером осуществляется по протоколу TCP/IP.
Источник питания конструктивно выполнен в металлическом корпусе в виде шкафа с габаритными размерами 800×600×1800 мм3. Масса источника составляет около 400 кг. На передней панели шкафа с лицевой стороны размещены элементы системы безопасности, такие как предупреждающие знаки, кнопка аварийного останова и блокировки включения, а также вольтметр, показывающий уровень напряжения на накопителе вне зависимости от того, включен источник питания в сеть или нет. Регуляторы тока размещены на боковой панели шкафа в отдельных корпусах.
Взаимодействие с ускорителем осуществляется в режиме реального времени посредством двух сигналов Старт и Готов, передаваемых по оптоволоконным линиям. По сигналу от ускорителя Старт включаются регуляторы тока. Как только токи IS(t) в секциях магнитной системы достигают заданного диапазона значений и в дальнейшем удовлетворяют условию , контроллер выдает сигнал готовности магнитного поля Готов. По этому сигналу ускоритель выдает серию импульсов и снимает сигнал Старт, тем самым выключая регуляторы тока. Мониторинг внешнего сигнала Старт и проверка токов на предмет их вхождения в заданный диапазон, а также формирование сигнала готовности магнитного поля выполняются с высокой частотой повторения, превышающей в несколько раз частоту регулирования тока.
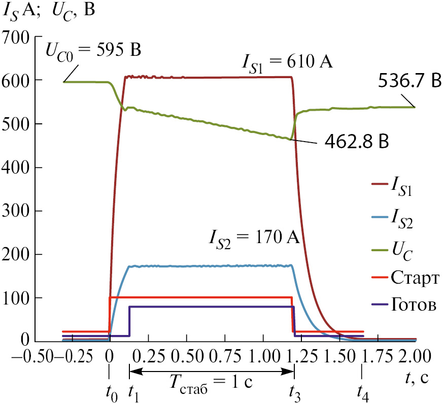
Как видно на рис. 6, во время работы регуляторов тока накопитель разряжался с начального уровня напряжения, равного 595 В, до конечного — 536 В. При таком уровне остаточного напряжения эффективность использования энергии накопителя составляет 18.63%. При этом выходной ток каждого канала оставался постоянным и время его стабилизации Тстаб составляло 1 с. Допустимые отклонения выходного тока каждого канала задавались равными ±2% от его заданных значений. Высокий уровень сигнала готовности поля на рис. 6 и его непрерывность на всем интервале Тстаб говорят о том, что отклонение выходного тока каждого канала не выходило за пределы этого диапазона. По результатам испытаний максимальное время стабилизации тока Тстаб при том же уровне зарядного напряжения достигало значения 1.6 с при расчетном времени 1.8 с, определенном по формуле (9). После этого наблюдались спад тока во второй секции, исчезновение сигнала готовности магнитного поля и вслед за этим автоматически производились выключение регуляторов тока и остановка всей системы. При этом эффективность использования энергии накопителя достигает 30%, а удельная масса источника питания на единицу мощности в секунду в режиме стабилизации тока составляет 1 кг/кВт · с.
Рис. 6. Формы токов в секциях магнитной системы, напряжения на накопителе и внешних управляющих сигналов.
Согласно испытаниям, импульсы тока с указанными на рис. 6 параметрами могли повторяться каждые 50 с. Это время определялось главным суммарным выходным током двух зарядных устройств. При таких параметрах импульсов средняя выходная мощность данного источника и, следовательно, средняя мощность, потребляемая магнитной системой, составляет примерно 6 кВт. Исходя из этого, можно сказать, что для обеспечения теплового баланса мощность системы охлаждения должна быть не ниже этой величины. В реальности же, по причине низкой теплосъемной способности трансформаторного масла, используемого для охлаждения обмоток, тепловая мощность системы охлаждения должна быть существенно выше. Даже в этом случае температура обмоток может существенно превышать температуру охлаждающего масла.
4.2. Двухканальный источник питания с суммарнной выходной мощностью до 90 кВт
По подобной схеме и на основании изложенных выше технических решений также были реализованы несколько менее мощных источников питания, предназначенных для питания двухсекционных магнитных систем постоянным током величиной 160–180 А в течение 2 с. При активном сопротивлении каждой секции, равном 1.5 Ом, максимальная суммарная выходная мощность обоих каналов источника достигала 87 кВт.
Данные магнитные системы, формирующие магнитное поле с максимальной индукцией до 0.8 Тл в трубчатом канале диаметром 180 мм и длинной 560 мм, используются как составные части микроволновых генераторов на основе релятивистских ЛОВ [1–3, 6-8], питаемых от импульсно-периодических ускорителей семейства “СИНУС” [4]. В связи с требуемой техническим заданием компактностью устройства, а также из-за высоких требований, предъявляемых к защите от помех, схема и элементы источника питания магнитной системы и ускорителя конструктивно выполнены как единое целое и размещены в общем корпусе особой конструкции. Общая масса компонентов источника питания, таких как накопитель, зарядное устройство, регуляторы тока, контроллер, а также прочих вспомогательных узлов и компонентов, не превышает 100 кг. Структурная схема данного источника показана на рис. 7.
Рис. 7. Структурная схема источника питания мощностью 90 кВт.
Одной из отличительных особенностей данного источника является то, что его накопитель состоит из 5 включенных параллельно модульных накопителей НСКБ-2.4-360 [26] емкостью 2.4 Ф и внутренним сопротивлением 360 мОм каждый. Таким образом, суммарная емкость и внутреннее сопротивление накопителя составляют 12 Ф и 64 мОм соответственно. Накопитель заряжается до рабочего напряжения 340–350 В постоянным током IЗ от зарядного устройства, в качестве которого используется стабилизированный источник питания с регулируемыми выходными параметрами ИПС-3000-380/500B-7.5A-3UR [27]. Максимальное значение выходного тока источника составляет 7.5 А. Полное время зарядки накопителя от нуля до рабочего напряжения, равного 350 В, посредством такого источника составляет примерно 9.5 мин. Максимальная запасаемая в накопителе энергия при номинальном зарядном напряжении составляет 735 кДж.
Регуляторы тока выполнены подобно описанным выше и функционируют аналогичным образом. Элементная база и конструкция полностью повторяют таковые канала 2 описанного выше источника. Разница заключается лишь в повышенной до 4 кГц максимальной частоте регулирования и коммутации силовых ключей по причине более низкой постоянной времени обмоток магнитной системы.
Другой отличительной особенностью данного источника является тесная интеграция его системы управления в общую систему управления микроволновым генератором. В таком варианте контроллер источника питания выполняет лишь функцию регулирования и стабилизации тока, а функции по управлению процессом зарядки накопителя и определение готовности магнитного поля перешли к контроллеру ускорителя. Обмен данными между контроллерами осуществляется посредством интерфейса UART по двум оптоволоконным линиям. По этим линиям контроллер регулятора получает настройки тока с контроллера ускорителя и передает в обратном направлении значения токов в каждой секции, а также статусную информацию.
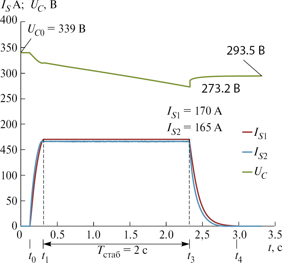
Как видно на рис. 8, во время работы регуляторов тока накопитель разряжался с начального уровня, равного 339 В, до конечного — 292 В, при этом выходной ток каждого канала оставался постоянным на уровне 167 А, а продолжительность его стабилизации составляла 2 с. При этом эффективность использования энергии накопителя составляет 25%. При таком разряде накопителя отклонение выходного тока каждого канала не превышало ±2% от его заданного значения. По результатам испытаний максимальное время стабилизации тока Тстаб при номинальном зарядном напряжении 340 В достигало значения 2.6 с при расчетном времени 2.7 с, определенном по формуле (9). При этом эффективность использования энергии накопителя достигала 31%. При таких выходных параметрах и используемой элементной базе удельная масса на единицу мощности в секунду в режиме стабилизации тока составляет 0.68 кг/кВт · с. Согласно испытаниям, импульсы тока с указанными на рис. 8 параметрами могли повторяться каждые 75 с. Это время определялось главным образом мощностью зарядного устройства. При таком режиме работы средняя выходная мощность данного источника и мощность, потребляемая магнитной системой, составляют примерно 2.6 кВт. Эта величина также определяет минимально возможную тепловую мощность системы охлаждения.
Рис. 8. Формы токов в секциях магнитной системы и напряжения на накопителе.
5. ЗАКЛЮЧЕНИЕ
Разработаны и реализованы мощные источники питания магнитных систем с секундными длительностями выходного тока. Использование современных суперконденсаторных накопителей, обладающих высоким удельным энергозапасом, позволило создать относительные компактные источники питания магнитных систем с выходной мощностью до 280 кВт. Удельная масса реализованных источников находится в диапазоне от 1 кг/кВт · с до 0.68 кг/кВт · с в зависимости от конструктивного исполнения. Во время испытаний была достигнута высокая эффективность использования энергии накопителя, превышающая 30% от запасенной величины. Погрешность стабилизации выходного тока, определяемая максимальной частотой работы регуляторов тока и постоянными времени обмоток, при достаточно глубоком разряде накопителя, достигающем 20% от первоначального уровня, не превышала ± 2% от заданного значения. Также в ходе работы были получены формулы, позволяющие оценить параметры регуляторов тока и энергетические характеристики накопителя, необходимые для питания обмотки магнитной системы с заданными параметрами постоянным током требуемой величины и длительности. Все расчетные значения, выполненные по этим формулам, с небольшими различиями были подтверждены во время испытания источников. Эти различия можно объяснить отклонением реальных параметров накопителя, таких как емкость и внутреннее сопротивление, от его паспортных значений, а также ростом температуры обмоток магнитной системы во время работы.
КОНФЛИКТ ИНТЕРЕСОВ
Авторы заявляют, что у них нет конфликта интересов.
About the authors
П. В. Выходцев
Институт cильноточной электроники Сибирского отделения Российской академии наук Россия
Author for correspondence.
Email: pave.vykhodtsev@mail.ru
Russian Federation, 634055, Томск, просп. Академический, 2/3
Ю. А. Карпов
Институт cильноточной электроники Сибирского отделения Российской академии наук Россия
Email: pave.vykhodtsev@mail.ru
Russian Federation, 634055, Томск, просп. Академический, 2/3
А. С. Степченко
Институт cильноточной электроники Сибирского отделения Российской академии наук Россия
Email: pave.vykhodtsev@mail.ru
Russian Federation, 634055, Томск, просп. Академический, 2/3
В. В. Ростов
Институт cильноточной электроники Сибирского отделения Российской академии наук Россия
Email: pave.vykhodtsev@mail.ru
Russian Federation, 634055, Томск, просп. Академический, 2/3
References
- Ельчанинов A.C., Загулов Ф.Я., Ковалев Н.Ф., Коровин С.Д., Месяц Г.А., Ростов В.В., Сморгонский А.В. // Письма в ЖТФ. 1980. Т. 6. С. 1443.
- Коровин С.Д., Ростов В.В., Сморгонский А.В. //Известия вузов. Сер. Радиофизика. 1986. Т. 29. С. 1278.
- Бункин Б.В., Гапонов-Грехов А.В., Ельчанинов А.С., Загулов Ф.Я., Коровин С.Д., Месяц Г.А., Осипов М.Л., Отливанчик Е.А., Петелин М.И., Прохоров А.М., Ростов В.В., Сараев А.П., Сисакян И.П., Сморгонский А.В., Суворов В.А. // Письма в ЖТФ. 1992. Т. 18. С. 61.
- Коровин С.Д., Ростов В.В. // Известия вузов. Сер. Физика. 1996. № 12. С. 21.
- Лагутин А.С., Ожогин В.И. Сильные импульсные магнитные поля в физическом эксперименте. М.: Энергоатомиздат, 1988. С. 13.
- Rostov V.V., Konev V.Y., Tsygankov R.V., Vykhodtsev P.V., Stepchenko A.S. // IEEE Electron device letters. V. 42. № 6. P. 935 https://doi.org/10.1109/led.2021.3070887
- Totmeninov E.M., Gunin A.V., Klimov A.I., Rostov V.V., Stepchenko A. S., Vykhodtsev P.V., Abdul H. Mahir. // IEEE Transactions on plasma science. V. 40. P. 1590. https://doi.org/10.1109/tps.2012.2189417
- Gunin A.V., Klimov A.I., Korovin S.D., Pegel I.V., Polevin S.D., Roitman A.M., Rostov V.V., Stepchenko A.S. // IEEE Transaction on Plasma Science. 1998. V. 26. P. 326. https://doi.org/10.1109/27.700761
- Монтгомери Д. Получение магнитных полей с помощью соленоидов. Москва: Мир, 1971. С. 26.
- Мелешин В.И. Транзисторная преобразовательная техника. Москва: Техносфера, 2005.
- Вольфкович Ю.М. // Электрохимия. 2021. Т. 57. С. 197. https://doi.org/10.31857/S0424857021040101
- Sahin M.E., Blaabjerg F., Sangwongwanich A. // Energies. 2022. V. 15. P. 674. https://doi.org/10.3390/en15030674
- Хрусталев Д.А. Аккумуляторы. Москва: Изумруд, 2003. С.133.
- Тренькин А.А., Буянов А.Б., Лимонов А.В. РФ Патент 2732987 С1, 2020.
- Деньщиков К.К. Суперконденсаторы: принципы построения, техника и применения. Текст доклада к Ученому совету ОИВТ РАН от 11.03.2013.
- Деньщиков К.К., Жук А.З., Герасимов А.Ф., Голиков М.В. // Изв. РАН. Сер. Энергетика. 2011. № 5. С. 125.
- Бибиков С.Б., Мальцев А.А., Кошелев Б.В., Гелиев А.В. // Практическая силовая электроника. 2016. № 3. С.44.
- Grishin D.M., Gubanov V.P., Gunin A.V., Korovin S.D., Stepchenko A.S. // 28th IEEE International Conference on Plasma Science and 13th IEEE International Pulsed Power Conference. 2001. V. 2. P. 1638. https://doi.org/10.1109/PPPS.2001.1001880
- Разуваев Ю.Ю., Чайка М.Ю., Агупов В.В., Горшков В.С., Силютин Д.Е // Вестник Воронежского государственного технического университета. 2012. Т. 8. № 7. С. 101.
- https://maxwell.com/products/ultracapacitors/modules/
- https://www.wima.de/en/our-product-range/powerblock/powerblock/
- https://www.kyocera-avx.com/products/supercapacitors/scm-series-large-modules/
- http://ultra-cap.ru/ultracapacitors/modules
- https://www.spscap.com/supercapacitor-modules
- https://www.ultracapacitor.ru/catalog/superkondensatory-feniks/
- https://titanps.ru/product/sistemy-nakopleniya-energii/
- http://vorpostnsk.ru/catalog/ips/vypryamiteli-s-reguliruemym-vykhodnym-napryazheniem-i-tokom/isp500v/
- Клюев А.С. Двухпозиционные автоматические регуляторы и их настройка. Москва: Энергия. 1967.
Supplementary files










