РАСШИРЕНИЕ АНАЛИТИЧЕСКИХ ВОЗМОЖНОСТЕЙ СКАНИРУЮЩЕЙ ЭЛЕКТРОННОЙ МИКРОСКОПИИ ПРИ ДЕТЕКТИРОВАНИИ ОБРАТНОРАССЕЯННЫХ ЭЛЕКТРОНОВ
- Авторы: Зайцев С.В.1, Зыкова Е.Ю.1, Рау Э.И.1, Татаринцев А.А.1, Киселевский В.А.1
-
Учреждения:
- Московский государственный университет им. М.В. Ломоносова, Физический факультет
- Выпуск: № 6 (2023)
- Страницы: 167-175
- Раздел: ЛАБОРАТОРНАЯ ТЕХНИКА
- URL: https://journals.rcsi.science/0032-8162/article/view/233276
- DOI: https://doi.org/10.31857/S0032816223040092
- EDN: https://elibrary.ru/SUMXJW
- ID: 233276
Цитировать
Полный текст
Аннотация
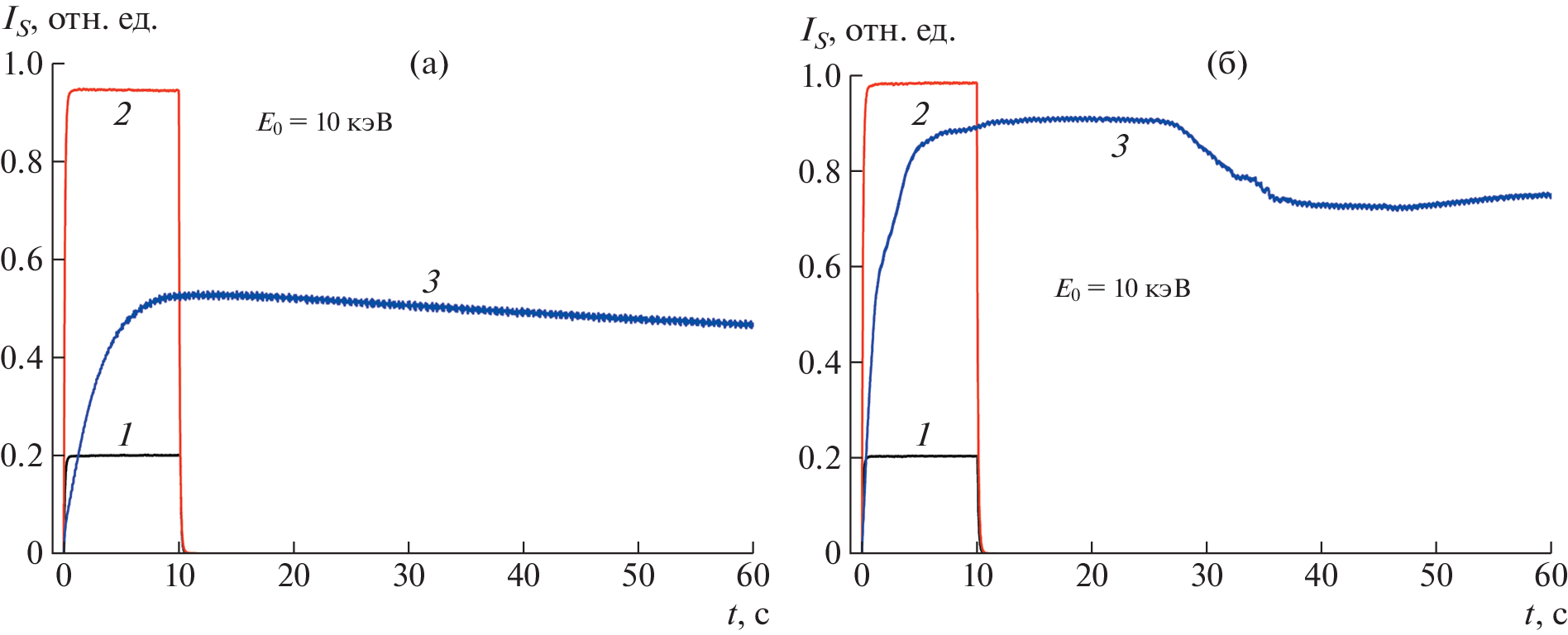
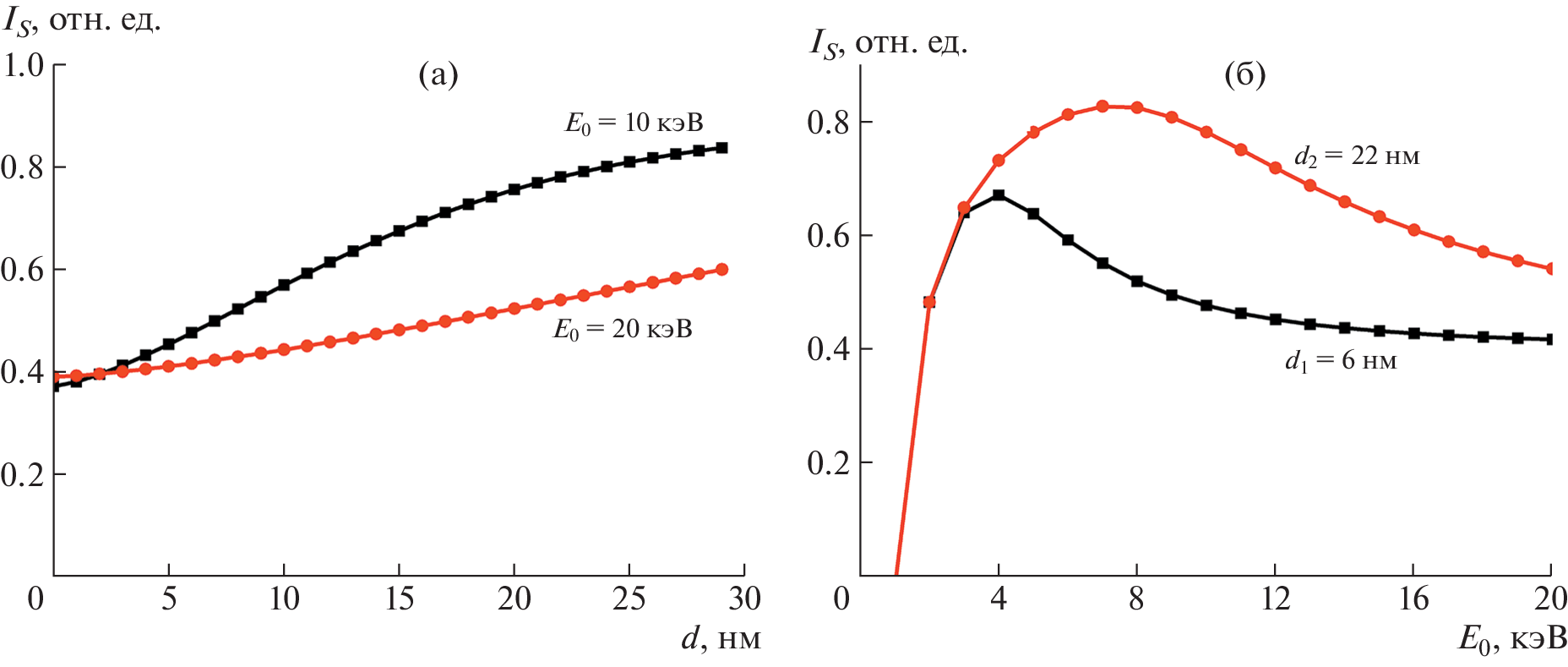
Приводятся новые возможности режима детектирования обратнорассеянных электронов в сканирующем электронном микроскопе (СЭМ). Получила дальнейшее развитие методика определения химического состава зондируемого участка образца по предварительно откалиброванной шкале серого экрана СЭМ. Приведены простые соотношения для практического применения при нахождении толщин тонких пленок на массивной подложке. Определены параметры двойного слоя пленочной наноструктуры на подложке, т.е. глубины залегания и толщины подповерхностных фрагментов микрообъекта. Предложена методика измерения поверхностного потенциала отрицательно заряжающихся диэлектрических образцов при облучении электронами средних энергий.
Об авторах
С. В. Зайцев
Московский государственный университет им. М.В. Ломоносова, Физический факультет
Email: rau@phys.msu.ru
Россия, 119991, Москва, Ленинские горы, 1
Е. Ю. Зыкова
Московский государственный университет им. М.В. Ломоносова, Физический факультет
Email: rau@phys.msu.ru
Россия, 119991, Москва, Ленинские горы, 1
Э. И. Рау
Московский государственный университет им. М.В. Ломоносова, Физический факультет
Email: rau@phys.msu.ru
Россия, 119991, Москва, Ленинские горы, 1
А. А. Татаринцев
Московский государственный университет им. М.В. Ломоносова, Физический факультет
Email: rau@phys.msu.ru
Россия, 119991, Москва, Ленинские горы, 1
В. А. Киселевский
Московский государственный университет им. М.В. Ломоносова, Физический факультет
Автор, ответственный за переписку.
Email: rau@phys.msu.ru
Россия, 119991, Москва, Ленинские горы, 1
Список литературы
- Reimer L. Scanning Electron Microscopy. Physics of Image formation and Microanalysis. 2-d ed. Berlin: Springer, 1998.
- Sercel P.C., Lebens J.A., Vahala K.J. // Review of Scientific Instruments. 1989. V. 60. № 12. P. 3775. https://doi.org/10.1063/1.1140489
- Guritagaitia A., Rosenkranz R., Löffler M., Clausner A., Standke Y., Zschech E. // Ultramicroscopy. 2018. V. 195. P. 47. https://doi.org/10.1016/j.ultramic.2018.08.026
- Müller E., Gerthsen D. // Ultramicroscopy. 2017. V. 173. P. 71. https://doi.org/10.1016/j.ultramic.2016.12.003
- Sánchez E., Torres Deluigi M., Castellano G. // Microscopy Microanal. 2012. V. 18. P. 1355. https://doi.org/10.1017/S1431927612013566
- Hyonchol Kim, Tsutomu Negishi, Masato Kudo, Hiroyuki Takei, Kenji Yasuda // Journal of Electron Microscopy. 2010. V. 59. № 5. P. 379. https://doi.org/10.1093/jmicro/dfq012
- Zhang H.R., Egerton R.F., Malac M. // Micron. 2012. V. 43. P. 8. https://doi.org/10.1016/j.micron.2011.07.003
- Niedrig H.J. // J. Applied Physics. 1982. V. 53. № 4. P. R15. https://doi.org/10.1063/1.331005
- Wilson D.J., Curzon A.E. // Thin Solids Films. 1988. V. 165. № 1. P. 217. https://doi.org/10.1016/0040-6090(88)90692-X
- Зайцев С.В., Купреенко С.Ю., Рау Э.И., Татаринцев А.А. // ПТЭ. 2015. № 6. С. 51. https://doi.org/10.7868/S0032816215060129
- Купреенко С.Ю., Орликовский Н.А., Рау Э.И., Тагаченков А.М., Татаринцев А.А. // ЖТФ. 2015. Т. 85. № 10. С. 101. https://doi.org/10.1134/S1063784215100205
- Афанасьев В.П., Капля П.С., Костановский И.А. // Поверхность. Рентгеновские, синхротронные и нейтронные исследования. 2013. № 2. С. 30. https://doi.org/10.7868/S0207352812080045
- Михеев Н.Н. // Поверхность. Рентгеновские, синхротронные и нейтронные исследования. 2020. № 12. С. 70. https://doi.org/10.31857/S1028096020120201
- Dapor M., Bazzanella N., Toniutti L., Miotello A., Crivellari M., Gialanelta S. // Surf. Interf. Anal. 2013. V. 45. P. 677. https://doi.org/10.1002/sia.5144
- Assa’d A.M.D. // Applied Physics A. 2018. V. 124. P. 699. https://doi.org/10.1007/s00339-018-2073-8
- August H.-J., Wernisch J. // J. Microscopy. 1990. V. 157. № 2. P. 247. https://doi.org/10.1111/j.1365-2818.1990.tb02962.x
- Staub P.-F. // J. Phys. D: Appl. Phys. 1994. V. 27. P. 1533. https://doi.org/10.1088/0022-3727/27/7/030
- Fitting H.J. // J. of Electron Spectroscopy and Related Phenomena. 2004. V. 136. № 3. P. 265. https://doi.org/10.1016/j.elspec.2004.04.003
- Rau E.I., Karaulov V.Yu., Zaitsev S.V. // Review of Scientific Instruments. 2019. V. 90. № 2. P. 023701. https://doi.org/10.1063/1.5054746
- De Nee P.B. Scanning Electron Microscopy. S.E.M. Inc. / Ed. O’Hare. NY.: 1978. V. 1. P. 741.
- Забродский В.В., Зайцев С.В., Караулов В.Ю., Рау Э.И., Смоляр В.А., Шерстнёв Е.В. // Изв. РАН. Сер. физич. 2019. Т. 83. № 11. С. 1488.
- Cosslett V.E., Thomas R.N. // British J. Appl. Phys. 1964. V. 15. № 8. P. 883. https://doi.org/10.1088/0508-3443/15/8/303
- Бакалейников Л.А., Домрачева Я.В., Заморянская М.В., Колесникова Е.В., Попова Т.Б., Флегонтова Е.Ю. // Физика и техника полупроводников. 2009. Т. 43. № 4. С. 568.
- Hejna J. // Scanning. 1992. V. 14. P. 256. https://doi.org/10.1002/sca.4950140503
- Рау Э.И., Зайцев С.В., Караулов В.Ю. // Письма в ЖТФ. 2022. Т. 48. № 23. С. 22. https://doi.org/10.21883/PJTF.2022.23.53947.19361
- Рау Э.И., Татаринцев А.А., Купреенко С.Ю., Зайцев С.В., Подбуцкий Н.Г. // Поверхность. Рентгеновские, синхротронные и нейтронные исследования. 2017. № 10. С. 69. https://doi.org/10.7868/S0207352817100110
- Рау Э.И., Татаринцев А.А. // Физика твердого тела. 2021. Т. 63. № 4. С. 483.
Дополнительные файлы










