РАЗРАБОТКА МЕТОДИКИ ОПРЕДЕЛЕНИЯ ОПТИМАЛЬНОГО КОЛИЧЕСТВА ПРОЕКЦИЙ ПРИ РЕАЛИЗАЦИИ МЕТОДА МНОГОУГЛОВОГО СКАНИРОВАНИЯ ПУЧКА ИОНИЗИРУЮЩЕГО ИЗЛУЧЕНИЯ
- Авторы: Булавская А.А.1, Бушмина Е.А.1, Григорьева А.А.1, Ермакова А.С.1, Милойчикова И.А.1,2, Стучебров С.Г.1
-
Учреждения:
- Национальный исследовательский Томский политехнический университет
- НИИ онкологии Томского национального исследовательского медицинского центра РАН
- Выпуск: № 4 (2023)
- Страницы: 101-107
- Раздел: ОБЩАЯ ЭКСПЕРИМЕНТАЛЬНАЯ ТЕХНИКА
- URL: https://journals.rcsi.science/0032-8162/article/view/138435
- DOI: https://doi.org/10.31857/S0032816223030187
- EDN: https://elibrary.ru/CVSVFW
- ID: 138435
Цитировать
Полный текст
Аннотация
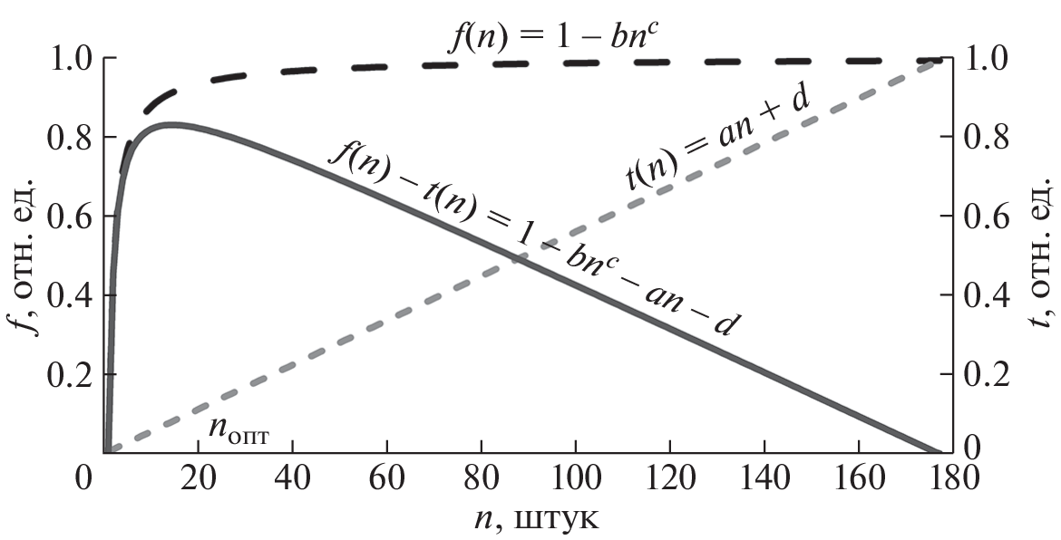
Разработан метод многоуглового сканирования для измерения распределения интенсивности пучка в поперечном сечении. Данный метод основан на реконструкции профилей пучка, полученных под разными углами в плоскости, перпендикулярной оси пучка. Для эффективной реализации метода многоуглового сканирования необходимо найти оптимальное количество проекций, т.е. такое количество проекций, при котором результат измерения остается достоверным при минимальном времени измерения. В результате численного эксперимента была разработана методика поиска оптимального количества проекций и было показано, что без учета ошибок, вызванных работой узлов экспериментальной установки, оптимальное число проекций равно 10. Для устранения этой погрешности было проведено многоугловое сканирование рентгеновского пучка и были реконструированы распределения его интенсивности в поперечном сечении при разном количестве проекций. С помощью разработанной методики было определено оптимальное количество проекций для данной экспериментальной установки, которое составило 18.
Об авторах
А. А. Булавская
Национальный исследовательский Томский политехнический университет
Email: bulavskaya@tpu.ru
Россия, 634050, Томск, просп. Ленина, 30
Е. А. Бушмина
Национальный исследовательский Томский политехнический университет
Email: eab60@tpu.ru
Россия, 634050, Томск, просп. Ленина, 30
А. А. Григорьева
Национальный исследовательский Томский политехнический университет
Email: eab60@tpu.ru
Россия, 634050, Томск, просп. Ленина, 30
А. С. Ермакова
Национальный исследовательский Томский политехнический университет
Email: eab60@tpu.ru
Россия, 634050, Томск, просп. Ленина, 30
И. А. Милойчикова
Национальный исследовательский Томский политехнический университет; НИИ онкологии Томского национального исследовательского медицинского центра РАН
Email: eab60@tpu.ru
Россия, 634050, Томск, просп. Ленина, 30; Россия, 634009, Томск, пер. Кооперативный, 5
С. Г. Стучебров
Национальный исследовательский Томский политехнический университет
Автор, ответственный за переписку.
Email: eab60@tpu.ru
Россия, 634050, Томск, просп. Ленина, 30
Список литературы
- Wolski A. Beam dynamics in high energy particle accelerators. Singapore: World Scientific Publishing, 2014.
- Patterson H.W. Accelerator health physics. Amsterdam: Elsevier, 2012.
- Hamm R.W., Hamm M.E. Industrial accelerators and their applications. Singapore: World Scientific Publishing, 2012.
- Okabe S., Tabata T., Tsumori K. // Japanese Journal of Applied Physics. 1966. T. 5. № 1. C. 68. https://doi.org/10.1143/JJAP.5.68
- Michail C., Valais I., Seferis I., Kalyvas N., David S., Fountos G., Kandarakis I. // Radiation Measurements. 2014. T. 70. C. 59. https://doi.org/10.1016/j.radmeas.2014.09.008
- Ronda C.R. Luminescence: from theory to applications. New Jersey: John Wiley & Sons, 2007.
- Ozawa L. // Journal of The Electrochemical Society. 1979. T. 126. № 1. C. 106. https://doi.org/10.1149/1.2128962
- Johnson C.D. // Preprint № CERN-PS-90-42-AR. 1990.
- Borca V.C., Pasquino M., Russo G., Grosso P., Cante D., Sciacero P., Girelli G., La Porta M.R., Tofani S. // Journal of applied clinical medical physics. 2013. T. 14. № 2. C. 158. https://doi.org/10.1120/jacmp.v14i2.4111
- Zhu X.R., Yoo S., Jursinic P.A., Grimm D.F., Lopez F., Rownd J.J., Gillin M.T. // Medical physics. 2003. T. 30. № 5. C. 912. https://doi.org/10.1118/1.1568979
- Amerio S., Boriano A., Bourhaleb F., Cirio R., Donetti M., Fidanzio A., Garelli E., Giordanengo S., Madon E., Marchetto F., Nastasi U., Peroni C., Piermattei A., Sanz Freire C.J., Sardo A., Trevisiol E. // Medical physics. 2004. T. 31. № 2. C. 414. https://doi.org/10.1118/1.1639992
- Spezi E., Angelini A.L., Romani F., Ferri A. // Physics in Medicine & Biology. 2005. T. 50. №. 14. C. 3361. https://doi.org/10.1088/0031-9155/50/14/012
- https://www.elsesolutions.com/wp-content/uploads/2015/07/StarTrack.pdf
- https://www.iba-dosimetry.com/product/matrixx-universal-detector-array/
- Létourneau D., Gulam M., Yan D., Oldham M., Wong J.W. // Radiotherapy and Oncology. 2004. T. 70. № 2. C. 199. https://doi.org/10.1016/j.radonc.2003.10.014
- Bal C., Bravin E., Lefevre T., Scrivens R., Taborelli M. // Proc. of DIPAC 2005. Lyon, France. CERN, 2005. № CERN-AB-2005-067.
- Duggal A.R., Srivastava A.M. US Paten 6566808. 2003.
- Cheymol B. Th. Docteur d’Universit´e dans la specialit’e de Physique des Particules. Université Blaise Pascal-Clermont-Ferrand II, 2011.
- Boogert S.T., Blair G.A., Boorman G., Bosco A., Deacon L.C., Karataev P., Aryshev A., Fukuda M., Terunuma N., Urakawa J., Corner L., Delerue N., Foster B., Howell D., Newman M., et al. // Physical Review Special Topics-Accelerators and Beams. 2010. T. 13. № 12. C. 122801. https://doi.org/10.1103/PhysRevSTAB.13.122801
- Pozimski J., Gibson S.M. // Proc. of the 2nd International Beam Instrumentation Conference IBIC2013. UK, Oxford, 2013. C. 503.
- Nazhmudinov R.M., Kubankin A.S., Kishin I.A., Zhukova P.N., Nasonova V.A., Karataev P.V., Vukolov A.V., Potylitsyn A.P. // Journal of Instrumentation. 2018. T. 13. № 12. C. P12012. https://doi.org/10.1088/1748-0221/13/12/P12012
- Trad G. Thesis … Doctor from the University of Grenoble. Speciality: Subatomic Physics and Astroparticles. U. Grenoble Alpes, 2013.
- Stuchebrov S.G., Cherepennikov Y.M., Krasnykh A.A., Miloichikova I.A., Vukolov A.V. // Journal of Instrumentation. 2018. T. 13. № 05. C. C05020. https://doi.org/10.1088/1748-0221/13/05/C05020
- Bulavskaya A.A., Cherepennikov Y.M., Chakhlov S.V., Grigorieva A.A., Miloichikova I.A., Vukolov A.V., Stuchebrov S.G. // IOP Conference Series: Materials Science and Engineering: IOP Publishing. 2021. T. 1019. № 1. C. 012043. https://doi.org/10.1088/1757-899X/1019/1/012043
- Казначеева А.О. Современные виды томографии: учебное пособие. СПб.: СПбГУ ИТМО. 2006.
- Wang Z., Bovik A.C., Sheikh H.R., Simoncelli E.P. // IEEE transactions on image processing. 2004. T. 13. № 4. C. 600.
- Shi H., Luo S., Yang Z., Wu G. // PLoS one. 2015. T. 10. № 9. C. e0138498. https://doi.org/10.1371/journal.pone.0138498
- Chen C.C., Chu H.T. // 29th Annual International Computer Software and Applications Conference (COMPSAC'05). IEEE, 2005. T. 2. C. 41. https://doi.org/10.1109/COMPSAC.2005.140
- Wang L., Zhang Y., Feng J. // IEEE transactions on pattern analysis and machine intelligence. 2005. T. 27. № 8. C. 1334. https://doi.org/10.1109/TPAMI.2005.165
- Maurer C.R., Qi R., Raghavan V. // IEEE Transactions on Pattern Analysis and Machine Intelligence. 2003. T. 25. № 2. C. 265. https://doi.org/10.1109/TPAMI.2003.1177156
- Двилис Э.С. Дис. … докт. физ.-мат. наук. Томск: Томский политехнический университет, 2013.
- https://www.crystals.saint-gobain.com/products/bc-408-bc-412-bc-416
- https://www.onsemi.com/products/sensors/photodetectors-sipm-spad/silicon-photomultipliers-sipm/j-series%20sipm
- ГОСТ 33366.1-2015 (ISO 1043-1:2011) Пластмассы. Условные обозначения и сокращения. Часть 1. Основные полимеры и их специальные характеристики. М.: Стандартинформ, 2016.
- https://www.eworldtrade.com/c/amerlighting/
- https://old.aspect-dubna.ru/new/page.php%3Fpage=431.html
- https://old.aspect-dubna.ru/new/page.php%3Fpage=309.html
- https://old.aspect-dubna.ru/new/page.php%3Fpage=492.html
- Красных А.А., Черепенников Ю.М., Милойчикова И.А., Стучебров С.Г. Свидетельство о государственной регистрации программ для ЭВМ № 2019610265 РФ // Опубл. 09.01.19.
- http://www.gafchromic.com/documents/EBT3_Specifications.pdf
- https://www.epson.ru/catalog/scanners/epson-perfection-v750-pro/
- https://uk.mathworks.com/products/matlab.html
- https://ncontrol.ru/catalog/rentgenovskiy_kontrol/rentgenovskie_apparaty/rentgenovskiy_apparat_rap_160_5
Дополнительные файлы








