Time and Energy Resolutions of Electromagnetic Calorimeter Prototypes Based on Lead Tungstate Crystals
- Authors: Akindinov A.V.1, Rufanov I.A.2, Budnikov D.V.3, Grachev D.V.3, Vikhlyantsev O.V.3, Demanov V.A.3, Zavyalov N.V.3, Kuryakin A.V.3, Tumkin A.D.3, Filchagin S.V.3, Petukhov Y.P.2, Nomokonov P.V.2, Kuzmin N.A.2, Balygin K.A.1, Grishuk Y.V.1, Ippolitov M.S.1, Lebedev V.A.1, Manko V.I.1, Sibiriak Y.G.1, Arefiev V.A.2, Vodopyanov A.S.2, Gorbunov N.V.2, Shmonin G.A.3
-
Affiliations:
- National Research Centre Kurchatov Institute
- Joint Institute for Nuclear Research (JINR)
- Russian Federal Nuclear Center, All-Russia Research Institute of Experimental Physics
- Issue: No 2 (2023)
- Pages: 24-34
- Section: ТЕХНИКА ЯДЕРНОГО ЭКСПЕРИМЕНТА
- URL: https://journals.rcsi.science/0032-8162/article/view/138319
- DOI: https://doi.org/10.31857/S0032816223010032
- EDN: https://elibrary.ru/PUQOZI
- ID: 138319
Cite item
Full Text
Abstract
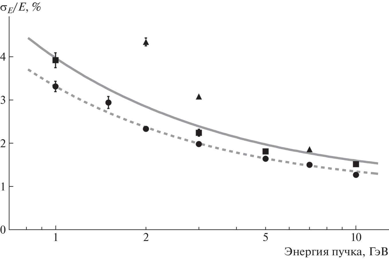
The time and energy resolutions were measured for four prototypes of the PHOS electromagnetic calorimeter for the ALICE experiment at the Large Hadron Collider at CERN. Each prototype was made up of nine identical detection elements assembled as a 3 × 3 array. The detection element was based on a lead tungstate (PbWO4) scintillating crystal with a length of 180 mm and a cross section of 22 × 22 mm2, which was viewed from its end face by a photodetector. Avalanche photodiodes and silicon photomultipliers with different active areas (Hamamatsu, Japan) were used as photodetectors. The measurements were made with the electron component of secondary particle beams of the PS proton synchrotron at CERN in the momentum range of 1−10 GeV/c at a temperature of 17.5°C.
About the authors
A. V. Akindinov
National Research Centre Kurchatov Institute
Email: Mikhail.Ippolitov@cern.ch
123182, Moscow, Russia
I. A. Rufanov
Joint Institute for Nuclear Research (JINR)
Email: Mikhail.Ippolitov@cern.ch
141980, Dubna, Moscow oblast, Russia
D. V. Budnikov
Russian Federal Nuclear Center, All-Russia Research Institute of Experimental Physics
Email: Mikhail.Ippolitov@cern.ch
607188, Sarov, Nizhny Novgorod oblast, Russia
D. V. Grachev
Russian Federal Nuclear Center, All-Russia Research Institute of Experimental Physics
Email: Mikhail.Ippolitov@cern.ch
607188, Sarov, Nizhny Novgorod oblast, Russia
O. V. Vikhlyantsev
Russian Federal Nuclear Center, All-Russia Research Institute of Experimental Physics
Email: Mikhail.Ippolitov@cern.ch
607188, Sarov, Nizhny Novgorod oblast, Russia
V. A. Demanov
Russian Federal Nuclear Center, All-Russia Research Institute of Experimental Physics
Email: Mikhail.Ippolitov@cern.ch
607188, Sarov, Nizhny Novgorod oblast, Russia
N. V. Zavyalov
Russian Federal Nuclear Center, All-Russia Research Institute of Experimental Physics
Email: Mikhail.Ippolitov@cern.ch
607188, Sarov, Nizhny Novgorod oblast, Russia
A. V. Kuryakin
Russian Federal Nuclear Center, All-Russia Research Institute of Experimental Physics
Email: Mikhail.Ippolitov@cern.ch
607188, Sarov, Nizhny Novgorod oblast, Russia
A. D. Tumkin
Russian Federal Nuclear Center, All-Russia Research Institute of Experimental Physics
Email: Mikhail.Ippolitov@cern.ch
607188, Sarov, Nizhny Novgorod oblast, Russia
S. V. Filchagin
Russian Federal Nuclear Center, All-Russia Research Institute of Experimental Physics
Email: Mikhail.Ippolitov@cern.ch
607188, Sarov, Nizhny Novgorod oblast, Russia
Yu. P. Petukhov
Joint Institute for Nuclear Research (JINR)
Email: Mikhail.Ippolitov@cern.ch
141980, Dubna, Moscow oblast, Russia
P. V. Nomokonov
Joint Institute for Nuclear Research (JINR)
Email: Mikhail.Ippolitov@cern.ch
141980, Dubna, Moscow oblast, Russia
N. A. Kuzmin
Joint Institute for Nuclear Research (JINR)
Email: Mikhail.Ippolitov@cern.ch
141980, Dubna, Moscow oblast, Russia
K. A. Balygin
National Research Centre Kurchatov Institute
Email: Mikhail.Ippolitov@cern.ch
123182, Moscow, Russia
Yu. V. Grishuk
National Research Centre Kurchatov Institute
Email: Mikhail.Ippolitov@cern.ch
123182, Moscow, Russia
M. S. Ippolitov
National Research Centre Kurchatov Institute
Email: Mikhail.Ippolitov@cern.ch
123182, Moscow, Russia
V. A. Lebedev
National Research Centre Kurchatov Institute
Email: Mikhail.Ippolitov@cern.ch
123182, Moscow, Russia
V. I. Manko
National Research Centre Kurchatov Institute
Email: Mikhail.Ippolitov@cern.ch
123182, Moscow, Russia
Yu. G. Sibiriak
National Research Centre Kurchatov Institute
Email: Mikhail.Ippolitov@cern.ch
123182, Moscow, Russia
V. A. Arefiev
Joint Institute for Nuclear Research (JINR)
Email: Mikhail.Ippolitov@cern.ch
141980, Dubna, Moscow oblast, Russia
A. S. Vodopyanov
Joint Institute for Nuclear Research (JINR)
Email: Mikhail.Ippolitov@cern.ch
141980, Dubna, Moscow oblast, Russia
N. V. Gorbunov
Joint Institute for Nuclear Research (JINR)
Email: Mikhail.Ippolitov@cern.ch
141980, Dubna, Moscow oblast, Russia
G. A. Shmonin
Russian Federal Nuclear Center, All-Russia Research Institute of Experimental Physics
Author for correspondence.
Email: Mikhail.Ippolitov@cern.ch
607188, Sarov, Nizhny Novgorod oblast, Russia
References
- ALICE Collaboration. Dellacasa G. et al. Alice Technical Design Report CERN/LHCC 99-4. ALICE TDR 2. 5 March 1999. ISBN 92-9083-138-3.
- The ALICE Collaboration. Aamodt K. et al. // J. Instrum. 2008. V. 3. P. S08002. https://doi.org/10.1088/1748-0221/3/08/S08002
- Wigmans R. Calorimetry. Energy Measurements in Particle Physics. Oxford: Claredon Press, 2008.
- The CMS Collaboration. Chatrchyan S. et al. // J. Instrum. 2008. V. 3. P. S08004. https://doi.org/10.1088/1748-0221/3/08/S08004
- The ATLAS Collaboration. Aad G. et al. // J. Instrum. 2008. V. 3. P. S08003. https://doi.org/10.1088/1748-0221/3/08/S08003
- URL: https://www.hamamatsu.com/eu/en/product/ optical-sensors/apd/si-apd/S8664-55.html (дата обращения: 24.04.2022)
- Aleksandrov D.V., Burachas S.F., Ippolitov M.S., Lebedev V.A., Manko V.I., Nikulin S.A., Nyanin A.S., Sibiriak I.G., Tsvetkov A.A., Vasiliev A.A., Vinogradov A.A., Bogolyubsky M.Yu., Kharlov Yu.V., Konstantinov S.A., Petrov V.S. и дp. // Nucl. Instrum. and Methods A. 2005. V. 550. P. 169. https://doi.org/10.1016/j.nima.2005.03.174
- Yin Z.B., Liu L.J., Muller H., Rohrich D., Sibiryak I., Skaali B., Vinogradov A., Wang D., Wang Y.P., Zhang F., Zhou D.C. // Journal of Physics: Conference Series. 2011. V. 293. P. 012019. https://doi.org/10.1088/1742-6596/293/1/012019
- ALICE Collaboration. Adam J. et al. // Phys. Lett. B. 2016. V. 754. p. 235. https://doi.org/10.1016/j.physletb.2016.01.020
- Балыгин К.А., Ипполитов М.С., Климов А.И., Лебедев В.А., Манько В.И., Мелешко Е.А., Сибиряк Ю.Г., Акиндинов А.В., Изучеев В.И., Арефьев В.А., Водопьянов А.С., Горбунов Н.В., Кузьмин Н.А., Номоконов П.В., Петухов Ю.П., Руфанов И.А. и др. // ПТЭ. 2018. № 5. С. 13. https://doi.org/10.1134/S003281621804016X
- URL: https://www.hamamatsu.com/content/dam/hamamatsu-photonics/sites/documents/99_SALES_LIBRARY/ssd/s12572-010_etc_kapd1045e.pdf (дата обращения: 24.04.2022)
- URL: https://cargille.com/mounting-media (дата обращения: 24.04.2022)
- URL: https://indico.jinr.ru/event/681/contributions/ 5565/attachments/4397/(дата обращения: 24.04.2022)
- URL: https://indico.jinr.ru/event/681/contributions/ 5565/attachments/4397/(дата обращения: 24.04.2022)
- URL: https://root.cern.ch/ (дата обращения: 24.02.2022)
- Ипполитов М.С., Балыгин К.А., Манько В.И., Сибиряк Ю.Г., Акиндинов А.В., Водопьянов А.С., Горбунов Н.В., Запорожец С.А., Номоконов П.В., Руфанов И.А. // ПТЭ. 2017. № 1. С. 33. https://doi.org/10.7868/S0032816217010025
- Bogolyubsky M., Ippolitov M., Kuryakin A., Manko V., Muller H., Nomokonov P., Punin V., Rohrich D., Sadovsky S., Sibiriak I., Skaali B., Sugitate T., Vasil’ev A., Vinogradov A., Vodopianov A., Zhou D. // Nucl. Instrum. and Methods A. 2009. V. 598. P. 702. doi.org/https://doi.org/10.1016/j.nima.2008.10.003
- Балыгин К.А., Ипполитов М.С., Климов А.И., Манько В.И., Мелешко Е.А., Сибиряк Ю.Г. // ПТЭ. 2017. № 1. С. 25. https://doi.org/10.7868/S0032816217010165
Supplementary files









