Model Estimates of Changes in Soil Organic Matter Stocks in Forested Areas of European Russia under Different Forest Management Regimes
- Autores: Priputina I.V.1, Shanin V.N.1,2, Frolov P.V.1, Chumachenko S.I.2,3, Tebenkova D.N.2
- 
							Afiliações: 
							- Institute of Physicochemical and Biological Problems of Soil Science of the Russian Academy of Sciences
- Center for Forest Ecology and Productivity of the Russian Academy of Sciences
- Mytischi Branch of the Bauman Moscow State Technical University
 
- Edição: Nº 11 (2024)
- Páginas: 1639-1654
- Seção: APPLICATION OF MODELING TO ASSESS AND FORECAST CHANGES IN SOIL CARBON STOCKS
- URL: https://journals.rcsi.science/0032-180X/article/view/280563
- DOI: https://doi.org/10.31857/S0032180X24110156
- EDN: https://elibrary.ru/JMYGSQ
- ID: 280563
Citar
Resumo
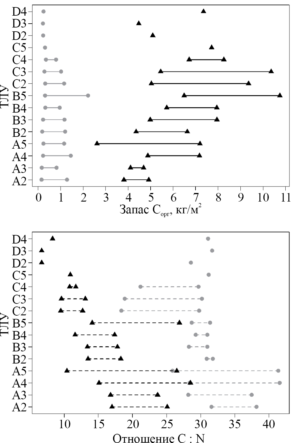
The results of the dynamic simulation of forest soil organic matter stocks are discussed from the point of a predictive assessment of carbon sink depending on forest site types and forest management regimes. The nutrient cycling in the “soil-stand” system was simulated with simulation models FORRUS-S, Romul_Hum, SCLISS. Simulation experiments were carried out for three forest enterprises and a nature reserve located in the Republic of Karelia, in Nizhny Novgorod, Moscow and Bryansk regions, which corresponds to a gradient of zonal conditions from the middle taiga to the broad-leaved forest subzone. To simulate the long-term (100 years) forest dynamics, we used the forest survey data available for all study objects. Calculations of soil Corg pools were carried out separately for each forest management unit, using the corresponding characteristics of the forest stand (average height, diameter, basal area, growing stock) and soil (content of Corg and Ntot in the forest floor and mineral soil) as initial data, which made it possible to take into account the spatial variability of forest conditions and successional change of species in the resulting area-based estimates of soil carbon sink. Under the conditions of the strict nature reserve regime, an average increase in soil stock of organic matter by 35–80 t C/ha, compared to the initial values, is predicted for all territories over 100 years. Carrying out cuttings of varying intensity reduces the possible Corg sink into forest soils by an average of 30–50 t/ha compared to the reserve regime. Regional features of the dynamics of organic matter are manifested in different ratios of accumulation of carbon pools in organic and organomineral soil horizons.
Palavras-chave
Texto integral
 
												
	                        Sobre autores
I. Priputina
Institute of Physicochemical and Biological Problems of Soil Science of the Russian Academy of Sciences
							Autor responsável pela correspondência
							Email: priputina@pbcras.ru
				                					                																			                												                	Rússia, 							Pushchino, Moscow Oblast, 142290						
V. Shanin
Institute of Physicochemical and Biological Problems of Soil Science of the Russian Academy of Sciences; Center for Forest Ecology and Productivity of the Russian Academy of Sciences
														Email: priputina@pbcras.ru
				                					                																			                												                	Rússia, 							Pushchino, Moscow Oblast, 142290; Moscow, 117997						
P. Frolov
Institute of Physicochemical and Biological Problems of Soil Science of the Russian Academy of Sciences
														Email: priputina@pbcras.ru
				                					                																			                												                	Rússia, 							Pushchino, Moscow Oblast, 142290						
S. Chumachenko
Center for Forest Ecology and Productivity of the Russian Academy of Sciences; Mytischi Branch of the Bauman Moscow State Technical University
														Email: priputina@pbcras.ru
				                					                																			                												                	Rússia, 							Moscow, 117997; Mytishchi, 141005						
D. Tebenkova
Center for Forest Ecology and Productivity of the Russian Academy of Sciences
														Email: priputina@pbcras.ru
				                					                																			                												                	Rússia, 							Moscow, 117997						
Bibliografia
- Быховец С.С., Комаров А.С. Простой статистический имитатор климата почвы с месячным шагом // Почвоведение. 2002. № 4. С. 443–452.
- Воробьев Д.В. Типы лесов Европейской части СССР. Киев: Изд-во АН УССР, 1953. 452 с.
- Грабарник П.Я., Чертов О.Г., Чумаченко С.И., Шанин В.Н., Ханина Л.Г., Бобровский М.В., Быховец С.С., Фролов П.В. Интеграция имитационных моделей для комплексной оценки экосистемных услуг лесов: методические подходы // Математическая биология и биоинформатика. 2019. Т. 14. № 2. С. 488–499. https://doi.org/10.17537/2019.14.488
- Дымов А.А. Влияние сплошных рубок в бореальных лесах России на почвы (обзор) // Почвоведение. 2017. № 7. С. 787–798. https://doi.org/10.7868/S0032180X17070024
- Дымов А.А., Старцев В.В. Изменение температурного режима подзолистых почв в процессе естественного лесовозобновления после сплошнолесосечных рубок // Почвоведение. 2016. № 5. С. 599–608. https://doi.org/10.7868/S0032180X16050038
- Единый государственный реестр почвенных ресурсов России (http://egrpr.soil.msu.ru/index.php)
- Заварзина А.Г., Данченко Н.Н., Демин В.В., Артемьева З.И., Когут Б.М. Гуминовые вещества – гипотезы и реальность (обзор) // Почвоведение. 2021. № 12. С. 1449–1480. https://doi.org/10.31857/S0032180X21120169
- Каганов В.В., Замолодчиков Д.Г., Мостовая А.С. Влияние климата на запасы углерода фитомассы и подстилки в лесных насаждениях юга Европейской России // Лесоведение. 2023. № 5. С. 486–501. https://doi.org/10.31857/S0024114823050030
- Классификация и диагностика почв России. Смоленск: Ойкумена, 2004. 342 с.
- Кузнецова А.И., Лукина Н.В., Горнов А.В., Горнова М.В., Тихонова Е.В., Смирнов В.Э., Данилова М.А., Тебенькова Д.Н., Браславская Т.Ю., Кузнецов В.А., Ткаченко Ю.Н., Геникова Н.В. Запасы углерода в песчаных почвах на Западе России // Почвоведение. 2020. № 8. С. 959–969. https://doi.org/10.31857/S0032180X20080109
- Ларионова А.А., Квиткина А.К., Быховец С.С., Лопес де Гереню В.О., Калягин Ю.Г., Каганов В.В. Влияние азота на минерализацию и гумификацию лесных опадов в модельном эксперименте // Лесоведение. 2017. № 2. С. 128–139.
- Лукина Н.В., Орлова М.А., Бахмет О.Н., Тихонова Е.В., Тебенькова Д.Н., Казакова А.И., Крышень А.М., Горнов А.В., Смирнов В.Э., Шашков М.П., Ершов В.В., Князева С.В. Влияние растительности на характеристики лесных почв Республики Карелия // Почвоведение. 2019. № 7. С. 827–842. https://doi.org/10.1134/S0032180X19050071
- Моделирование динамики органического вещества в лесных экосистемах / Под ред. Кудеярова В.Н. М.: Наука, 2007. 380 с.
- Надпорожская М.А., Зубкова Е.В., Фролов П.В., Быховец С.С., Чертов О.Г. Соподчиненность почвенных условий и растительных сообществ в сосняках как следствие действия комплекса факторов // Вестн. ТвГУ. Сер. Биология и экология. 2018. № 2. С. 122–138.
- Обзор состояния и загрязнения окружающей среды в Российской Федерации за 2016 год. М.: Росгидромет, 2017. 216 с.
- Осипов А.Ф., Старцев В.В., Прокушкин А.С., Дымов А.А. Запасы углерода в почвах лесов Красноярского края: анализ роли типа почвы и древесной породы // Теоретическая и прикладная экология. 2023. № 1. С. 67–74. https://doi.org/10.25750/1995-4301-2023-1-067-074
- Почвы Карелии и пути повышения их плодородия. Петрозаводск: Карелия, 1971. 280 с.
- Припутина И.В., Быховец С.С., Фролов П.В., Чертов О.Г., Кургановa И.Н., Лопес де Гереню В.О., Сапронов Д.В., Мякшина Т.Н. Применение математических моделей ROMUL и Romul_Hum для оценки эмиссии CO2 и динамики органического вещества в серой лесной почве под лиственным лесом в южном Подмосковье // Почвоведение. 2020. № 10. С. 1262–1275. https://doi.org/10.31857/S0032180X20100159
- Припутина И.В., Фролов П.В., Шанин В.Н., Быховец С.С., Кургановa И.Н., Лопес де Гереню В.О., Сапронов Д.В., Мякшина Т.Н., Хорошаев Д.А. Имитационное моделирование почвенной эмиссии СО2 на примере дерново-подбура хвойно-широколиственного леса в Южном Подмосковье // Почвоведение. 2023. № 9. С. 1128–1142. https://doi.org/10.31857/S0032180X23600439
- Романенков В.А., Мешалкина Ю.Л., Горбачева А.Ю., Добровольская В.А., Кренке А.Н. Прогноз динамики запасов углерода в почвах возделываемых земель Европейской России в контексте стратегии низкоуглеродного развития // Известия Р АН. Сер. Географическая. 2023. Т. 87. № 4. С. 1–13. https://doi.org/10.31857/S2587556623040106
- Самсонова В.П., Мешалкина Ю.Л., Добровольская В.А., Кондрашкина М.И., Дядькина С.Е., Филиппова О.И., Кротов Д.Г., Морозова Т.М., Красильников П.В. Исследование неопределенности оценок запасов органического углерода в масштабах угодий // Почвоведение. 2023. № 11. С. 1437–1449. https://doi.org/10.31857/S0032180X23600725
- Тебенькова Д.Н., Лукина Н.В., Катаев А.Д., Чумаченко С.И., Киселева В.В., Колычева А.А., Шанин В.Н., Гагарин Ю.Н., Кузнецова А.И. Разработка сценариев для имитационного моделирования экосистемных услуг лесов // Вопросы лесной науки. 2022. Т. 5. № 2. C. 104. https://doi.org/10.31509/2658-607x-202252-104
- Титлянова А.А. Универсальность процессов биотического круговорота // Почвоведение. 2014. № 7. С. 771–780. https://doi.org/10.7868/S0032180X14050220
- Титлянова А.А., Шибарева С.В. Изменение чистой первичной продукции и восстановление запасов углерода в почвах залежей // Почвоведение. 2022. № 4. С. 500–510. https://doi.org/10.31857/S0032180X2204013X
- Ханина Л.Г. Классификация типов лесорастительных условий по индикаторным видам Воробьева-Погребняка база данных и опыт анализа лесотаксационных данных // Вопросы лесной науки. 2019. Т. 2(4). С. 1–30.
- Хитров Н.Б., Никитин Д.А., Иванова Е.А., Семенов М.В. Пространственно-временная изменчивость содержания и запаса органического вещества почвы: аналитический обзор // Почвоведение. 2023. № 12. С. 1493–1521. https://doi.org/10.31857/S0032180X23600841
- Шанин В.Н., Фролов П.В., Припутина И.В., Чертов О.Г., Быховец С.С., Зубкова Е.В., Портнов А.М., Фролова Г.Г., Стаменов М.Н., Грабарник П.Я. Моделирование динамики лесных экосистем с учетом их структурной неоднородности на разных функциональных и пространственных уровнях // Вопросы лесной науки. 2022. Т. 5. № 3. https://doi.org/10.31509/2658-607x-202252-112
- Шевченко Н.Е., Кузнецова Н.А., Тебенькова Д.Н., Смирнов В.Э., Гераськина А.П., Горнов А.В., Грабенко Е.А., Тихонова Е.В., Лукина Н.В. Сукцессионная динамика растительности и запасы почвенного углерода в хвойно-широколиственных лесах Северо-Западного Кавказа // Лесоведение. 2019. № 3. С. 163–176. https://doi.org/10.1134/S0024114819030082
- Щепащенко Д.Г., Мухортова Л.В., Швиденко А.З., Ведрова Э.Ф. Запасы органического углерода в почвах России // Почвоведение. 2013. № 2. С. 123–132. https://doi.org/10.7868/S0032180X13020123
- Чернова О.В., Рыжова И.М., Подвезенная М.А. Оценка запасов органического углерода лесных почв в региональном масштабе // Почвоведение. 2020. № 3. С. 340–350. https://doi.org/ 10.31857/S0032180X20030028
- Честных О.В., Грабовский В.И., Замолодчиков Д.Г. Оценка запасов почвенного углерода лесных районов России с использованием баз данных почвенных характеристик // Лесоведение. 2022. № 3. С. 227–238. https://doi.org/10.31857/S0024114822030056
- Bélanger N., Collin A., Khlifa R., Lebel-Desrosiers S. Balsam Fir and American Beech Influence Soil Respiration Rates in Opposite Directions in a Sugar Maple Forest Near Its Northern Range Limit // Front. For. Glob. Change. 2021. V. 4. https://doi.org/10.3389/ffgc.2021.664584
- Binkley D., Giardina C. Why do tree species affect soils? The warp and woof of tree-soil interactions // Biogeochemistry. 1998. V. 42. P. 89–106. https://doi.org/10.1023/A:1005948126251
- Chertov O., Komarov A., Shaw C., Bykhovets S., Frolov P., Shanin V., Grabarnik P., Priputina I., Zubkova E., Shashkov M. Romul_Hum—A model of soil organic matter formation coupling with soil biota activity. II. Parameterisation of the soil food web biota activity // Ecol Modell. 2017. V. 345. P. 125–139. https://doi.org/10.1016/j.ecolmodel.2016.10.024
- Chumachenko S.I., Korotkov V.N., Palenova M.M., Politov D.V. Simulation modeling of long-term stand dynamics at different scenarios of forest management for coniferous-broad-leaved forests // Ecol Modell. 2003. V. 170(2–3). P. 345–362. https://doi.org/10.1016/S0304-3800(03)00238-2
- Cools N., Vesterdal L., De Vos B., Vanguelova E., Hansen K. Tree species is the major factor explaining C:N ratios in European forest soils // For. Ecol. Manag. 2014. V. 311. P. 3–16. http://dx.doi.org/10.1016/j.foreco.2013.06.047
- Erkan N., Güner Ş.T., Aydın A.C. Thinning effects on stand growth, carbon stocks, and soil properties in Brutia pine plantations // Carbon Balance and Management. 2023. V. 18. P. 6. https://doi.org/10.1186/s13021-023-00226-0
- Falloon P., Smith P. Modelling soil carbon dynamics. In: Kutsch WL, Bahn M, Heinemeyer A, eds. Soil Carbon Dynamics: An Integrated Methodology. Cambridge University Press; 2010/ V. 221–244. https://doi.org/10.1017/CBO9780511711794.013
- Hulvey K., Hobbs R., Standish R., Lach L., Perring M.P. Benefits of tree mixes in carbon plantings // Nat. Clim. Change. 2013. V. 3. P. 869–874. https://doi.org/10.1038/nclimate1862
- Guo X., Meng M., Zhang J., Chen H.Y.H. Vegetation change impacts on soil organic carbon chemical composition in subtropical forests // Sci Rep. 2016. V. 6. P. 29607. https://doi.org/10.1038/srep29607
- Jandl R., Rodeghiero M., Martinez C., Cotrufo M.F., Bampa F., van Wesemael B., Harrison R.B., Guerrini I.A., Richter D., Rustad L., Lorenz K., Chabbi A., Miglietta F. Current status, uncertainty and future needs in soil organic carbon monitoring // Sci. Total Environ. 2014. V. 468–469. P. 376–383. https://doi.org/10.1016/j.scitotenv.2013.08.026
- Janisch J.E., Harmon M.E. Successional changes in live and dead wood carbon stores: Implications for net ecosystem productivity // Tree Physiol. 2002. V. 22(2–3). P. 77–89. https://doi.org/10.1093/treephys/22.2-3.77
- Komarov A.S. Use of Mathematical models for assessing the pool and dynamics of carbon in forest soils // Eurasian Soil Sci. 2008. V. 41(13). P. 1387–1397. https://doi.org/10.1134/S1064229308130061
- Кomarov A., Chertov O., Bykhovets S., Shaw C., Nadporozhskaya M., Frolov P., Shashkov M., Shanin V., Grabarnik P., Priputina I., Zubkova E. Romul_Hum model of soil organic matter formation coupled with soil biota activity. I. Problem formulation, model description, and testing // Ecol Modell. 2017. V. 345. P. 113–124. https://doi.org/10.1016/j.ecolmodel.2016.08.007
- Laganière J., Augusto L., Hatten J.A., Spielvogel S. Editorial: vegetation effects on soil organic matter in forested ecosystems // Front. For. Glob. Change. 2022. V. 4. https://doi.org/10.3389/ffgc.2021.828701
- Laganière J., Boča A., Van Miegroet H., Paré D. A tree species effect on soil that is consistent across the species’ range: The case of aspen and soil carbon in North America // Forests. 2017. V. 8. P. 113. https://doi.org/10.3390/f8040113
- Lal R. Forest soils and carbon sequestration // For. Ecol. Manag. 2005. V. 220(1–3). P. 242–258. https://doi.org/10.1016/j.foreco.2005.08.015
- Lindeskog M., Smith B., Lagergren F., Sycheva E., Ficko A., Pretzsch H., Rammig A. Accounting for forest management in the estimation of forest carbon balance using the dynamic vegetation model LPJ-GUESS (v4.0, r9710): implementation and evaluation of simulations for Europe // GMD. 2021. V. 14(10). P. 6071–6112. https://doi.org/10.5194/gmd-14-6071-2021
- Martin M.P., Orton T.G., Lacarce E., Meersmans J., Saby N.P.A., Paroissien J.B., Jolivet C., Boulonne L., Arrouays D. Evaluation of modelling approaches for predicting the spatial distribution of soil organic carbon stocks at the national scale // Geoderma. 2014. V. 223–225. P. 97–107. https://doi.org/10.1016/j.geoderma.2014.01.005
- Mueller K.E., Hobbie S.E., Chorover J., Reich P.B., Eisenhauer N., Castellano M.J. Effects of litter traits, soil biota, and soil chemistry on soil carbon stocks at a common garden with 14 tree species // Biogeochemistry. 2015. V. 123. P. 313-327. https://doi.org/10.1007/s10533-015-0083-6
- Nadporozhskaya M.A., Mohren G.M.J., Chertov O.G., Komarov A.S., Mikhailov A.V. Soil organic matter dynamics at primary and secondary forest succession on sandy soils in The Netherlands: an application of soil organic matter model ROMUL // Ecol Modell. 2006. V. 190(3). P. 399–418. http://dx.doi.org/10.1016/j.ecolmodel.2005.03.025
- Nickels M.C.L., Prescott C. Soil Carbon Stabilization Under Coniferous, Deciduous and Grass Vegetation in Post-mining Reclaimed Ecosystems // Front. For. Glob. Change. 2021. https://doi.org/10.3389/ffgc.2021.689594
- Panov A.V., Onuchin A.A., Zrazhevskaya G.K., Shibistova O.B. Structure and Dynamics of Organic Matter Pools in Clearings in the Lichen Pine Forests of Middle Taiga Subzone of Yenisei Siberia // Biol. Bull. 2013. V. 40(1). P. 95–10. https://doi.org/10.1134/S1062359012060088
- Rehschuh S., Jonard M., Wiesmeier M., Rennenberg H., Dannenmann M. Impact of European beech forest diversification on soil organic carbon and total nitrogen stocks–a meta-analysis // Front. For. Glob. Change. 2021. V. 4. https://doi.org/10.3389/ffgc.2021.606669
- Saby N.P.A., Bellamy P.H., Morvan X., Arrouays D., Jones R.J.A., Verheijen F.G.A., Kibblewhite M.G., Verdoodt A., Üveges J.B., Freudenschuß A., Simota C. Will European soil-monitoring networks be able to detect changes in topsoil organic carbon content? // Glob Chang Biol. 2008(14). P. 2432–2442. https://doi.org/10.1111/j.1365-2486.2008.01658.x
- Scheffer M., Carpenter S., Foley J.A., Folke C., Walkerk B. Catastrophic shifts in ecosystems // Nature. 2001. V. 413. P. 591-596.
- Schelfhout S., Mertens J., Verheyen K., Vesterdal L., Baeten L., Muys B., De Schrijver A. Tree Species Identity Shapes Earthworm Communities // Forests. 2017. V. 8. P. 85. https://doi.org/10.3390/f8030085
- Stockmann U., Adams M.A., Crawford J.W., Field D.J., Henakaarchchi N., Jenkins M., Minasny B., McBratney A.B. et al. The knowns, known unknowns and unknowns of sequestration of soil organic carbon // Agric. Ecosyst. Environ. 2013. V. 164. P. 80–99. https://doi.org/10.1016/j.agee.2012.10.001
- Vesterdal L., Schmidt I.K., Callesen I., Nilsson L.O., Gundersen P. Carbon and nitrogen in forest floor and mineral soil under six common European tree species // For. Ecol. Manag. 2008. V. 255. P. 35–48. https://doi.org/10.1016/j.foreco.2007.08.015
Arquivos suplementares
 
				
			 
						 
						 
					 
						 
						 
				
 
  
  
  Enviar artigo por via de e-mail
			Enviar artigo por via de e-mail 
 Acesso aberto
		                                Acesso aberto Acesso está concedido
						Acesso está concedido





