Estimating the Contribution of the Forest Floor to the Soil Carbon Stock of East Fennoscandian Mid-Boreal Ecosystems
- Authors: Akhmetova G.V.1, Novikov S.G.1, Moshkina E.V.1, Medvedeva M.V.1, Solodovnikov A.N.1, Saraeva A.K.1, Nikerova K.M.1
-
Affiliations:
- Forest Research Institute of the Karelian Research Centre of the Russian Academy of Sciences
- Issue: No 11 (2024)
- Pages: 1503-1518
- Section: ORGANIC MATTER AND BIOLOGICAL PROPERTIES OF SOILS OF PRIMARY FOREST ECOSYSTEMS
- URL: https://journals.rcsi.science/0032-180X/article/view/280480
- DOI: https://doi.org/10.31857/S0032180X24110055
- EDN: https://elibrary.ru/JOSIZW
- ID: 280480
Cite item
Full Text
Abstract
Integrated surveys were carried out in a carbon testing ground in the Kivach State Strict Nature Reserve, which represents relatively undisturbed East Fennoscandian mid-boreal ecosystems. The forest floor is a heterogeneous body with considerably variable composition and condition. In the study area there predominate (80% of all sampling points) coarse-humus fermentation-type forest floors with an average thickness of 5.2 ± 0.2 cm and stock of 48.0 ± 2.0 Mg/ha. As the residues decompose, they gradually lose organic matter. The highest Сorg levels (52.8 ± 0.6%) in the testing ground’s most common subshrub-true moss habitats are found in the top layer of the forest floor. In the lower sub-horizons, carbon content declines – 40.8 ± 2.0%. In habitats with a higher contribution of forbs, Сorg content decreases considerably – to 19%. Average Сorg stock in the forest floor of the surveyed ecosystems is estimated at 20.9 ± 0.9 Mg Сorg /ha. The data exhibit high spatial variation – from 1.5 to 45 Mg Сorg /ha. The variation of Сorg stock in the forest floor across the study area is predicated on the following: ground cover characteristics, prevalence of a tree species and position within the tree’s impact zone.
Full Text
ВВЕДЕНИЕ
Оценка и выявление закономерностей пространственной неоднородности запасов органического углерода в компонентах лесных биогеоценозов является важной научной задачей. Подобные исследования вызывают интерес национальных [26] и межнациональных проектов [71] в области учета эмиссии парниковых газов. В высоких широтах наблюдается ускоренное увеличение среднегодовых температур [8, 57], это приводит к изменениям температурного и гидрологического режима почв, скорости разложения мертвого органического вещества и накоплению азота в минеральных горизонтах почв [66]. Описанные тенденции влияют на процессы накопления и эмиссии углерода в бореальных экосистемах.
Согласно общепринятым указаниям Межправительственной группы экспертов по изменению климата [58], запасы Сорг в лесной зоне сосредоточены в нескольких пулах: живая фитомасса, мертвая древесина, почва; в настоящее время отдельно от почвы рассматривают лесную подстилку, которая входит в пул мортмассы. Исследователи используют различные подходы к оценке пула почвенного углерода [47], это вносит сложности в понимании вклада подстилки в общие запасы углерода экосистемы. В некоторых работах этот пул рассчитывается без лесной подстилки, в то же время преобладает точка зрения что подстилка – это часть почвы, и ее включают в общие запасы почвенного углерода, при этом расчеты даются для разных слоев почвы [5, 28, 39, 42, 47].
В лесных экосистемах подстилка является неотъемлемым компонентом и продуктом функционирования лесного биогеоценоза [6, 7, 15]. В хвойных древостоях европейской части России специфика опада в сочетании с климатическими факторами способствуют формированию мощных лесных подстилок, которые характеризуются значительными запасами органического вещества [4, 5, 22]. Состав опада и интенсивность его разложения оказывают непосредственное воздействие на эмиссию СО2 с поверхности почвы, влияя на баланс углерода в атмосфере [11, 25, 48, 63]. Повышение температуры и увеличение вегетационного периода способствуют ускорению минерализации органического вещества подстилки, что увеличивает потоки СО2 в атмосферу [51]. Содержание углерода в подстилке снижается в результате перемешивания органического вещества с минеральными горизонтами почвы почвенной фауной и выщелачивания растворенного органического вещества [14, 54].
Содержание и запасы Сорг в подстилке отличаются неоднородностью, обусловленной различными факторами [7, 20, 37, 50, 52, 60, 70]. По разным оценкам на долю лесной подстилки приходится от 3 [44], 5 [65] до 14% [19] от общего запаса Сорг лесных экосистем. В связи с этим, точная оценка данного пула углерода является важной научной проблемой, которая в настоящее время привлекает исследователей [25, 43, 56, 68]. Для расчетов в России разработаны справочные значения запасов Сорг в подстилке [26], имеются различные конверсионные коэффициенты [44, 46, 67]. Использование справочных материалов и расчетных данных, полученных при помощи моделирования [52, 70], приводит к существенным различиям в оценках запасов углерода [46]. Дискуссионным вопросом является определение углерода различными методами. Широко распространенный бихроматный метод Тюрина и более дорогостоящий метод прямого сжигания дают отличающиеся результаты [2, 41, 69], что оказывает влияние на расчеты.
Изучение лесных подстилок в условиях таежных лесах Европейского Севера имеет длительную историю [4, 5, 7, 13, 21, 22]. Хорошо исследованы морфологические параметры подстилки еловых лесов Карелии, ее состав и биохимические свойства [13, 34, 35]. Выявлено, что хвойные леса европейской части России характеризуются большими запасами подстилки. Например, в еловых лесах республики Коми этот показатель варьирует от 15 до 78 т/га [5], в сосновых – от 40 до 75 т/га [23], близкие значения имеются для Карелии [13]. Рассчитано, что в подстилке лесной территории республики Карелии содержится 137.7 млн т Сорг, что составляет 13.8% его общего запаса [19]. В автоморфных условиях региона исследования запасы Сорг подстилки составляют 14.8 т/га, т.е. в 2 раза превышают средний показатель по России [43] и в 1.5 раза – для среднетаежной подзоны [45, 47]. Известно, что запас Сорг в подстилке зависит от лесорастительных условий. Например, в сосняках брусничных Карелии этот показатель составляет от 8.5 до 17.8 т/га, а в более продуктивных черничных типах – от 13.8 до 19.2 т/га [34]. В работах [39, 47] показано, что запасы Сорг в лесной подстилке среднетаежных экосистем увеличиваются с повышением увлажнения почв от 7.6 до 24.3 т/га в сосновых лесах и от 11.1 до 61.3 т/га в еловых. Однако отдельных работ, посвященных исследованиям запасов углерода в лесной подстилке среднетаежной подзоны недостаточно для точной оценки данного пула углерода.
Варьирование свойств подстилки на всех уровнях структурно-функциональной организации экосистемы чрезвычайно высоко [6, 7, 37], это создает определенные сложности при проведении исследований [35]. Динамика мощности, запасов и химического состава лесной подстилки является наиболее заметными проявлениями биологического круговорота веществ в лесных сообществах [6, 7]. Понимание и анализ влияния факторов окружающей среды на изменчивость пула Сорг в подстилке на различных уровнях функционирования бореальных лесов имеет решающее значение для точной оценки запасов и выявления закономерностей ее варьирования [1, 18, 41, 42, 49, 72, 73]. Результаты исследования характеристик подстилок малонарушенных лесных экосистем, расположенных в пределах особо охраняемых природных территорий, являются ценной информацией для развития системы мониторинга запасов и потоков углерода [62] и имеют важное значение для повышения точности моделирования.
Цель работы – оценка пула углерода лесной подстилки и выявление закономерностей варьирования ее свойств в связи с неоднородностью почвенно-растительного покрова в условиях среднетаежных естественных биогеоценозов Восточной Фенноскандии.
ОБЪЕКТЫ И МЕТОДЫ
Природные условия. Исследования проводили на тестовом полигоне площадью 2 ×2 км, расположенном в государственном заповеднике “Кивач”, представляющим слабонарушенные среднетаежные экосистемы Восточной Фенноскандии [12]. Заповедник “Кивач” находится в Кондопожском районе Республики Карелия, в 80 км от г. Петрозаводск (рис. 1) и является лесным массивом (10.5 тыс. га) протяженностью с севера на юг 12 км, с запада на восток – 14 км.
Рис. 1. Месторасположение тестового полигона “Кивач” (а) и пробных площадей (b).
Климат заповедника характеризуется мягкой, но продолжительной зимой и коротким летом (табл. 1), большим количеством дней со значительной облачностью, высокой влажностью и достаточным количеством осадков в течение всего года. Период со снежным покровом нередко длится с октября по апрель [34]. Зимой часты оттепели, которые сопровождаются резким понижением температуры, выпадением осадков и усилением ветров. В летний период, особенно в июне, наблюдаются периоды похолодания.
Таблица 1. Климатические показатели изучаемой территории
Период | Температура воздуха, t, °С | Количество дней со среднесуточной t > 5°С | Осадки среднегодовые, мм | ||||
среднегодовая | июль | январь | общее количество | дождь | снег | ||
1967–2005 гг. [34] | 2.4 | +16.5 | −11.1 | 154 | 624.0 | Нет данных | |
1992–2022 гг. [meteo.ru] | 3.7 | +17.2 | −8.4 | 173 | 634.3 | 475.9 | 158.4 |
Территория заповедника находится в юго-восточной части Балтийского кристаллического щита и имеет сложную геологическую историю, которая отразилась в строении ландшафтов. В настоящее время территория заповедника представляет собой мозаику участков разного геологического возраста. Ландшафты сельгового комплекса сочетаются с участками озерно-ледниковой, размытой моренной и водно-ледниковой равнины [9]. Территория тестового полигона расположена на волнистой озерно-ледниковой равнине, в восточной части занятой песчано-галечными узкими грядами (озами). Озерно-ледниковые отложения представлены суглинками и глинами, частично перекрытыми песками. Почвенный покров, в связи со сложным геоморфологическим строением и пересеченным рельефом, неоднороден и представлен почвами различного генезиса [40]. Половину площади полигона занимают альфегумусовые почвы: подзолы (Albic Podzol) и подбуры (Entic Podzol), сформированные на песчаных отложениях. Около 20% территории отличаются близким залеганием озерно-ледниковых суглинков и глин, часто выходящими на поверхность. В таких местах распространены слаборазвитые глинистые почвы: пелоземы (Regosol) в сочетаниях с подзолами литобарьерными (Leptic Podzol), элювоземами (Luvisol) и серогумусовыми почвами (Cambisol). В пониженных элементах рельефа формируются торфяно-глееземы (Leptic Histosol), торфяно-глеевые и торфяные почвы (Histosol), занимающие около 18% площади полигона. Названия почв даны в соответствии с российской [16] и международной [60] почвенными классификациями.
Растительность изучаемой территории представлена бореальными видами. Преобладают хвойные, преимущественно сосновые леса естественного происхождения, еловые и мелколиственные леса встречаются реже. В напочвенном покрове распространены кустарнички: черника и брусника, встречаются разнотравные виды. В мохово-лишайниковом ярусе автоморфных и транзитных позиций доминируют бриевые мхи, реже встречаются лишайники, в пониженных элементах рельефа распространены сфагновые мхи, багульник.
Полевые методы. На основании предварительно проведенной комплексной наземной экспресс-оценки 310 сегментов тестового полигона “Кивач” и данных дистанционного зондирования на территории тестового полигона заложены постоянные пробные площади (ПП) (рис. 1b), объединенные в группы биогеоценозов (БГЦ) (табл. 2). Отбор образцов лесной подстилки проводили в августе 2023 г. Точки опробования размещали в соответствии с пространственной неоднородностью, обусловленной влиянием полога древесной растительности. В межкроновом пространстве закладывали основной разрез, под кронами деревьев – 2–3 прикопки. Всего заложено 100 точек опробования, в работе представлены только результаты, полученные для почв автоморфных позиций ландшафта.
Таблица 2. Характеристика изучаемых биогеоценозов (БГЦ) полигона “Кивач”
БГЦ | Древостой | Напочвенный покров | Почвы | Почвообразующая порода | ПП |
1 | Сосняк | Бруснично-зеленомошный | Подзолы иллювиально-железистые | Флювиогляциальные пески | 44, 190, 260, 282 |
2 | Чернично-зеленомошный | 38, 108, 113, 154, 155, 219, 300, 216, 279 | |||
3 | Подзолы иллювиально-гумусовые | Двучленные отложения | 198, 204 | ||
4 | Еловый и сосново-еловый | Пелоземы, элювоземы и серогумусовые | Озерно-ледниковые суглинки и глины | 40, 273, 292 | |
5 | Сосново-березово-еловый | Разнотравно-чернично-зеленомошный | 1, 34, 104, 103, 133 | ||
6 | Сосново-еловый с примесью березы | Разнотравно-зеленомошный | 33, 144 | ||
7 | Сосняк с большой долей мелколиственных пород и елью | Разнотравный | 8, 35 |
Для определения запасов подстилки рамкой 25 × 25 см отбирали монолит, который разбирали на подгоризонты в соответствии со степенью разложения растительных остатков. В большинстве случаев выделяли два подгоризонта: OL и OFH. Отдельно подгоризонт ОН фиксировали в случае, если его мощность превышала 0.5–1 см, и было возможно его отобрать, избежав смешивания с нижележащим минеральным горизонтом. В БГЦ с преобладанием разнотравной растительности подстилка состояла только из горизонта OL, представляющего собой слаборазложившийся опад прошлых лет.
Лабораторные методы. Для определения запасов подстилки образцы доводили до воздушно-сухого состояния и взвешивали. Для пересчета на абсолютно сухой вес определяли содержание гигроскопической влаги по стандартной методике (при 105°С). Содержание углерода измеряли на элементном анализаторе Unicube Elementar (Elementar GmbH, Германия), калиброванным сертифицированным стандартом ацетанилида (200007435 Acetanilide Elementar Analysensysteme). Исследования выполняли на научном оборудовании Центра коллективного пользования Федерального исследовательского центра “Карельский научный центр Российской Академии наук”.
Обработка результатов. Запасы каждого выделенного подгоризонта подстилки (OLFHstock, т/га) рассчитывали по формуле:
,
где m – масса образца в пересчете на абсолютно сухую навеску (г), s – площадь отбора образца (см2), 100 – коэффициент перевода единиц в т/га.
Запасы углерода лесной подстилки SOCOLFH (т/ га) рассчитывали по формуле:
.
Результаты статистически обрабатывали с помощью пакетов программ Microsoft Office Excel 2013 и Past 4.13 [55], использовали стандартные статистические методы [10]. Проводили проверку на нормальность распределения. Для большей информативности полученных данных рассчитывали значения нижних и верхних квартилей, определяющих наиболее характерный диапазон выборки [30]. Для определения достоверности различий измеряемых показателей разных выборок использовали непараметрический критерий U-критерий Манна–Уитни для выборки из двух групп и однофакторный анализ (ANOVA) в случае трех групп и более, статистически значимыми считали различия при р < 0.05.
РЕЗУЛЬТАТЫ И ОБСУЖДЕНИЕ
Полученные результаты показывают, что лесная подстилка слабонарушенных среднетаежных лесных экосистем Карелии характеризуется значительной изменчивостью своих свойств: строением, мощностью, содержанием и запасами углерода. Варьирование изучаемых показателей обусловлено различными факторами: гидротермическими условиями, типологической и таксационными показателями насаждений, характером напочвенного покрова [7, 17, 23, 25, 35].
Типы лесной подстилки. Формирование различных типов подстилок [6] тесно связано с условиями произрастания и особенностями напочвенной растительности. Деструктивные типы подстилок на исследуемой территории от общего числа объектов исследования занимают менее 8%. Их развитие связано с преобладанием в напочвенном растительном покрове травянистых растений и отсутствием или малой долей зеленых мхов. Деструктивный тип подстилок характеризуется следующими признаками: мощностью не более 3 см, включением минеральных частиц, быстрой минерализацией опада, накоплением только слаборазложившихся фракций опада и отпада.
В кустарничково-зеленомошных сосновых и сосново-еловых БГЦ распространены ферментативные грубогумусовые подстилки со строением ОL–OFН, встречающиеся на большинстве исследуемых пробных площадях (80% всех точек опробования). Подстилки рассматриваемого типа могут иметь значительную мощность (до 10 см), этому способствует преобладание в составе опада зеленых мхов, хвои, шишек, коры и веток хвойных деревьев, скорость минерализации которых значительно отстает от скорости их поступления [48, 51]. Наличие гумифицированных типов подстилки отмечалось на 12% точек опробования, в большинстве случаев подгоризонт ОН представлял собой слой сильноразложившегося материала мощностью менее 1 см. Полученные результаты дополняют данные [35, 36], в которых показано преобладание ферментативных грубогумусовых типов подстилок в еловых местообитаниях заповедника “Кивач”.
Мощность и запасы подстилки. Мощность подстилки, значительно варьирует в пределах одной ПП [7, 34, 36], настоящие исследования показали, что в условиях исследуемых БГЦ она изменяется от 1 до 10.5 см, коэффициент вариации (Cv) находится на уровне 38% (табл. 3). Средние данные составляют 5.2 ± 0.2 см, а наиболее часто встречаемые значения мощности подстилки находятся в диапазоне от 4 до 6 см. Запасы подстилки для исследуемой территории в среднем составляют 48 ± 2 т/га, этот показатель также, как и мощность, значительно изменяется в зависимости от типа БГЦ. Выявлена небольшая положительная асимметрия выборок параметров мощности и запасов подстилок большинства БГЦ, т.е. наблюдается смещение массива данных в сторону больших значений по сравнению с арифметическими средними данными. Характерен положительный эксцесс распределения величин мощности и запасов подстилки – образование островершинной кривой.
Таблица 3. Описательная статистика мощности (см) и запасов (т/га) лесной подстилки исследуемых среднетаежных БГЦ
Показатель | n | SЕ | min–max | Cv, % | Асимметрия | Эксцесс | Достоверность различий | |
Сосняк брусничный, подзол иллювиально-железистый на флювиогляциальных песчаных отложениях | ||||||||
Мощность | 18 | 4.9 | 0.3 | 3.0–8.0 | 25.5 | 1.1 | 2.1 | а* |
Запасы | 44.4 | 3.6 | 19.9–86.1 | 34.8 | 1.0 | 2.0 | A** | |
Сосняк черничный, подзол иллювиально-железистый на флювиогляциальных песчаных отложениях | ||||||||
Мощность | 26 | 6.0 | 0.3 | 3.0–10.5 | 25.6 | 0.7 | 1.4 | б |
Запасы | 52.1 | 2.9 | 28.9–90.4 | 28.6 | 0.5 | 0.2 | AB | |
Сосняк черничный, подзол иллювиально-гумусовый на двучленных отложениях | ||||||||
Мощность | 7 | 7.4 | 0.5 | 6.0–9.0 | 18.8 | -0.1 | –2.4 | с |
Запасы | 64.4 | 6.1 | 51.2–96.9 | 25.1 | 1.6 | 2.7 | B | |
Еловые и сосновое-еловые насаждения черничные, пелозем на суглинистых и глинистых озерных отложениях | ||||||||
Мощность | 10 | 6.0 | 0.5 | 5.0–9.0 | 24.8 | 1.3 | 0.3 | аб |
Запасы | 59.9 | 6.0 | 37.2–98.4 | 31.8 | 0.6 | 0.2 | B | |
Сосново-еловые и сосново-березовые насаждения разнотравно-чернично-зеленомошные, пелозем на суглинистых и глинистых озерных отложениях | ||||||||
Мощность | 15 | 5.0 | 0.3 | 3.0–8.0 | 26.5 | 1.0 | 0.8 | а |
Запасы | 51.9 | 3.8 | 29.9–74.4 | 28.0 | 0.1 | –1.3 | AB | |
Сосново-еловое с примесью березы насаждение разнотравно-зеленомошное, серогумусовые и пелоземы на суглинистых и глинистых озерно-ледниковых отложениях | ||||||||
Мощность | 7 | 4.4 | 0.2 | 4.0–5.0 | 12.1 | 0.4 | –2.8 | а |
Запасы | 36.1 | 3.6 | 26.7–50.5 | 26.7 | 0.9 | –1.1 | A | |
Сосняк с большой долей мелколиственных пород и елью разнотравный, серогумусовая на суглинистых и глинистых озерно-ледниковых отложениях | ||||||||
Мощность | 7 | 1.1 | 0.1 | 1.0–2.0 | 31.4 | 2.8 | 8.0 | д |
Запасы | 13.7 | 1.6 | 7.4–18.6 | 30.4 | –0.2 | –1.0 | С | |
Все БГЦ | ||||||||
Мощность | 90 | 5.2 | 0.2 | 1.0–10.5 | 37.7 | –0.1 | 0.5 | – |
Запасы | 48.0 | 2.0 | 7.4–98.4 | 39.2 | 0.2 | 0.1 | – | |
Примечание. n – размер выборки, – среднее арифметическое, SЕ – ошибка среднего, min–max – минимальные и максимальные значения, Cv – коэффициент вариации. Буквенные обозначения соответствуют статистически значимым различиям между выделенными БГЦ: * мощности подстилки, ** запасов подстилки.
Наблюдается закономерное повышение мощности и запасов подстилки. В ряду сосновых БГЦ минимальные значения характерны для сосняка брусничного, а максимальные – для сосняка черничного на двучленных отложениях. Несмотря на полученную тенденцию и имеющуюся информацию о более низких по сравнению с черничными типами леса запасах подстилки в сосняках брусничных [13, 39, 46], в этом БГЦ отмечены высокие значения отдельных данных. Подобные выбросы связаны с неоднородностью микрорельефа и напочвенной растительностью.
В смешанных сосново-еловых БГЦ мощность и запасы подстилки уменьшаются с увеличением доли разнотравья, что связано с бóльшими темпами разложения травянистого опада [48]. Например, в еловых и сосново-еловых чернично-зеленомошных БГЦ с минимальной долей травяной растительности запасы подстилки высоки и сравнимы с сосняком черничным на двучленных отложениях. В смешанных лесах с большой долей лиственных пород и разнотравной растительностью мощность и запасы подстилки минимальны и находятся на уровне показателей, характерных для южнотаежной подзоны [17, 24, 37, 61].
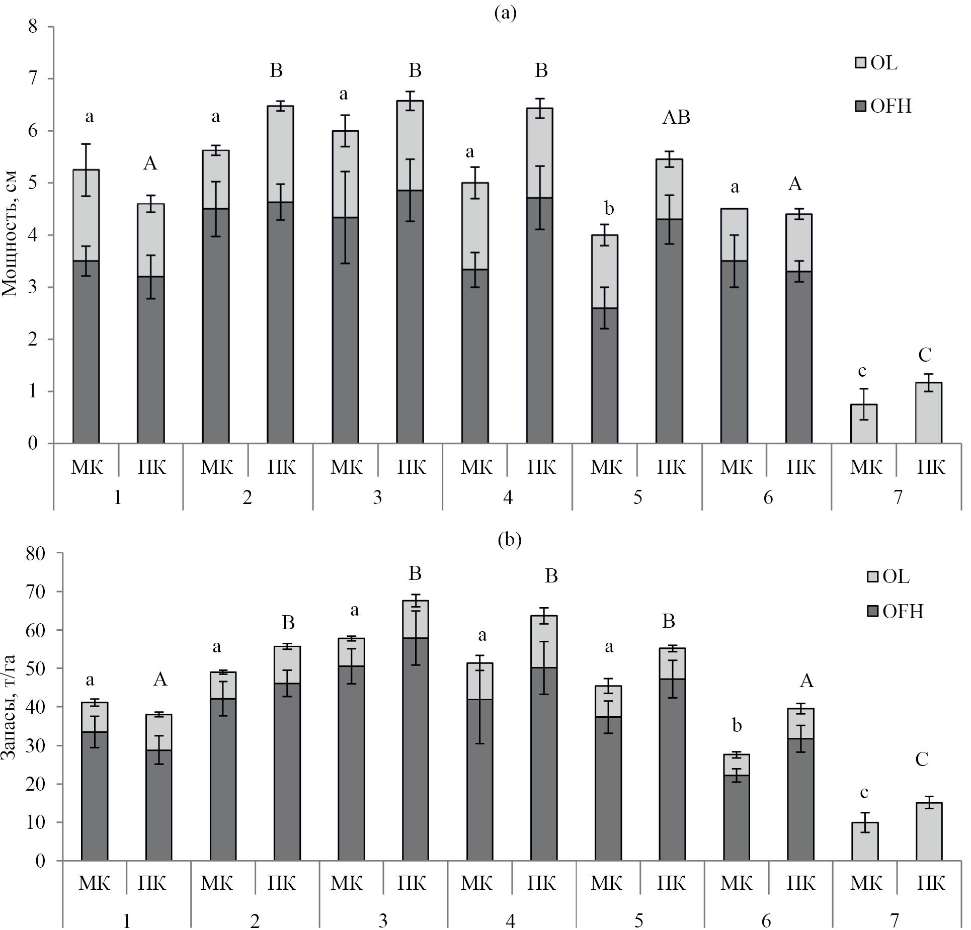
При анализе влияния зоны проекции древесного полога выявлено, что меньшие значения мощности и запасов подстилки характерны для межкроновых пространств, по сравнению с таковыми в подкроновых позициях, однако описываемые различия статистически незначимы (рис. 2). Выявлено, что расположения относительно полога дерева имеет значение для подгоризонта OL (р < 0.004), чем для OFH (р > 0.05). Отмечено, что в сосновых кустарничково-зеленомошных БГЦ наблюдается тенденция к повышению доли запасов OL в подкроновых пространствах, в межкроновых местообитаниях его значимо меньше, что может быть связано с большим количеством древесного опада [37]. В сосново-еловых и сосново-мелколиственных БГЦ данная закономерность не прослеживается в связи с большей сомкнутостью древостоя. В связи с сезонностью верхний слой подстилки отличается значительной временной изменчивостью свойств [11, 45] и не всегда учитывается при расчетах запасов подстилки [18, 53]. Исследования показали, что в условиях среднетаежной подзоны Карелии доля OL в общих запасах лесной подстилки варьирует от 10 до 30%, составляя в среднем 19%. Таким образом, упущение этой информации может привести к недоучету запасов углерода.
Рис. 2. Мощность (a) и запасы (b) лесной подстилки межкроновых (МК) и подкроновых (ПК) пространств выделенных биогеоценозов. Цифрами обозначены БГЦ, расшифровка в табл. 2. Буквенные обозначения соответствуют статистически значимым различиям между выделенными БГЦ: строчные – для подстилок межкронового пространства, заглавные – для подкронового.
Построенные регрессионные модели (рис. 3) демонстрируют тесную связь между запасами подстилки и ее мощностью, выявленная зависимость выше для подкронового пространства по сравнению с межкроновыми позициями. Полученные результаты дополняет идею [60], что менее трудоемкие измерения мощности подстилки могут дополнить более сложный процесс отбора образцов для определения ее запасов, это позволит сократить количество отбираемых почвенных образцов или увеличить выборку для выявления пространственной неоднородности данного показателя.
Рис. 3. Диаграммы рассеивания запасов и мощности лесных подстилок (МК – межкроновое пространство, ПК – подкроновое пространство).
Содержание органического углерода в лесной подстилке. Концентрация Сорг в подстилке зависит от степени разложения ее компонентов, а также от материала, слагающего ее [48]. В связи с этим, содержание Сорг в различных подгоризонтах лесной подстилки значимо различается (р < 0.05). Наибольшее содержание Сорг характерно для верхнего подгоризонта подстилки OL, слабо затронутого процессами трансформации. Вместе с тем выявлено крайне широкое варьирование данного показателя – от 19 до 65%. Анализ полученных результатов на нормальном вероятностном графике (рис. 4а) показал, что данные о содержании Сорг в OL для статистической обработки необходимо разделить на две совокупности. Присутствие в выборке БГЦ с разнотравной растительностью с очень тонкой, деструктивной подстилкой, в которой велика доля минеральных примесей, снижает средний уровень содержания Сорг. После разделения совокупности распределение выборок оказалось более равномерным (рис. 4b), а Cv снизился до 6%.
Рис. 4. Нормальный вероятностный график распределения данных содержания Сорг в ОL ((а) – все данные, (b) – разделенные на две совокупности в соответствии с типом подстилки, с красной пунктирной линией – деструктивные типы, черная – ферментативные и гумусовые).
Таким образом, во всех БГЦ с кустарничково-зеленомошным покровом слаборазложившиеся растительные остатки, составляющие верхний подгоризонт подстилки, характеризуются наибольшими значениями содержания Сорг 50–60 % (рис. 5). По мере увеличения степени разложения растительных остатков происходит постепенная потеря органического вещества в OF и OH до 30–40% и менее. Полученные данные о содержании Сорг в подстилке отличаются от результатов ранних исследований в регионе [13, 39]. Большие значения Сорг связаны с использованием для его определения методов прямого сжигания [41].
Рис. 5. Содержание Сорг в подстилках изучаемых биогеоценозов полигона “Кивач”. Цифрами обозначены биогеоценозы (БГЦ), расшифровка в табл. 2. Буквенные обозначения соответствуют статистически значимым различиям: между содержанием Сорг в разных подгоризонтах подстилки (а); между содержанием Сорг в подгоризонтах OL (b), OF (c), ОН (d) выделенных БГЦ.
На основе данных по содержанию Сорг в подгоризонтах подстилки, учитывая долю запасов этих подгоризонтов, рассчитано усредненное значение содержания Сорг в подстилках среднетаежных хвойных кустарничково-зеленомошных лесов, которое составило 46%. Этот результат можно рекомендовать к использованию для оценки запасов углерода в среднетаежных экосистемах Европейского Севера. Рассчитанный показатель значительно различается с рекомендуемым конверсионным коэффициентом – 0.37 [38] и предложенным ранее [21] – 0.58. В то же время полученные данные оказались близки к упомянутом в работе [3] – 0.45. При этом необходимо отметить, что для разнотравных БГЦ этот коэффициент должен быть намного ниже 0.20–0.30. Уточнение этого показателя требует дополнительных исследований.
Запасы углерода в лесной подстилке. Рассчитан и приведен широкий спектр статистических показателей запасов углерода отдельно по подгоризонтам и в подстилке в целом на уровнях исследуемых БГЦ и полигона (табл. 4). Анализ полученных данных показал, что увеличение выборки, как например для БГЦ 2 (n = 26), не дает меньших показателей варьирования и лучших показателей распределения данных по сравнению с небольшими выборками (БГЦ 3, где n = 7). Коэффициенты асимметрии и эксцесса в обоих случаях показывают одинаковую тенденцию к смещению распределения данных вправо с образованием острой вершины, что особенно характерно для OL. Приведенная информация о результатах данного исследования может быть применена для построения различных моделей и использования в обзорных статьях [30].
Таблица 4. Описательная статистика запасов углерода лесной подстилки (т/га) в исследуемых среднетаежных БГЦ
Слой подстилки | n | SЕ | min–max | Cv, % | Дисперсия | Q25 | Q75 | Асимметрия | Эксцесс | |
Сосняк брусничный, подзол иллювиально-железистый на флювиогляциальных песчаных отложениях | ||||||||||
OL | 18 | 3.9 а* | 0.3 | 2.2–6.0 | 27 | 1.1 | 3.0 | 4.8 | 0.3 | –0.4 |
ОFH | 14.0 А** | 1.6 | 4.2–25.6 | 41 | 33.5 | 10.4 | 18.5 | 0.3 | 0.1 | |
ОLFH | 18 А’*** | 1.7 | 7.3–30.6 | 34 | 36.8 | 14.4 | 22.3 | 0.5 | 0.6 | |
Сосняк черничный, подзол иллювиально-железистый на флювиогляциальных песчаных отложениях | ||||||||||
OL | 26 | 5.3 а | 0.6 | 2.3–18.6 | 61 | 10.5 | 3.4 | 5.7 | 2.8 | 9.6 |
ОFH | 19.2 В | 1.3 | 8.4–40.3 | 37 | 51.2 | 13.4 | 23.8 | 0.8 | 1.2 | |
ОLFH | 23.1 В’ | 1.3 | 12.6–36.2 | 30 | 48.4 | 16.4 | 29.5 | 0.2 | –1.0 | |
Сосняк черничный, подзол иллювиально-гумусовый на двучленных отложениях | ||||||||||
OL | 7 | 5.1 аb | 0.6 | 3.7–8.7 | 32 | 2.6 | 4.4 | 5.0 | 2.3 | 5.6 |
ОFH | 24.5 C | 1.9 | 19.3–32.5 | 20 | 24.9 | 20.3 | 28.4 | 0.6 | –1.2 | |
ОLFH | 29.7 C’ | 1.7 | 24.3–36.9 | 16 | 21.3 | 24.8 | 33.2 | 0.3 | –0.9 | |
Еловые и сосновое-еловые насаждения черничные, пелозем на суглинистых и глинистых озерно-ледниковых отложениях | ||||||||||
OL | 10 | 6.7 b | 0.9 | 3.0–13.8 | 44 | 8.8 | 5.2 | 7.6 | 1.4 | 3.6 |
ОFH | 18.8 AB | 1.8 | 10.5–28.8 | 29 | 30.5 | 15.5 | 23.7 | 0.6 | –0.1 | |
ОLFH | 25.6 BC’ | 2.3 | 16.5–37.1 | 27 | 49.4 | 19.8 | 31.7 | 0.3 | –1.3 | |
Сосново-еловые и сосново-березовые насаждения разнотравно-чернично-зеленомошные, пелозем на суглинистых и глинистых озерно-ледниковых отложениях | ||||||||||
OL | 15 | 4.0 a | 0.4 | 2.1–7.5 | 41 | 2.8 | 2.5 | 5.0 | 0.9 | –0.1 |
ОFH | 17.5 AB | 1.6 | 10.1–30.5 | 35 | 38.6 | 12.4 | 22.7 | 0.8 | –0.3 | |
ОLFH | 20.6 AB’ | 1.6 | 12.8–33.7 | 30 | 38.5 | 15.2 | 24.2 | 0.6 | –0.4 | |
Сосново-еловое с примесью березы насаждение разнотравно-зеленомошное, серогумусовые и пелоземы на суглинистых и глинистых озерно-ледниковых отложениях | ||||||||||
OL | 7 | 3.7 a | 0.7 | 1.9–6.7 | 47 | 3.1 | 2.3 | 4.9 | 0.8 | –0.4 |
ОFH | 11.2 A | 1.2 | 8.2–17.5 | 27 | 9.5 | 9.3 | 12.5 | 1.7 | 3.4 | |
ОLFH | 17.4 A’ | 2.7 | 10.5–30.3 | 40 | 49.6 | 12.4 | 22.3 | 1.1 | 0.6 | |
Сосняк с большой долей мелколиственных пород и елью разнотравный, серогумусовая на суглинистых и глинистых озерно-ледниковых отложениях | ||||||||||
OL | 7 | 4.4 a | 0.6 | 1.5–6.5 | 39 | 3.0 | 2.9 | 5.9 | -0.6 | –0.5 |
ОFH | 9.1 AB | – | ||||||||
ОLFH | 5.5 D’ | 1.5 | 1.5–15.6 | 78 | 18.8 | 2.9 | 5.9 | 2.2 | 5.4 | |
Все БГЦ | ||||||||||
OL | 90 | 4.7 | 0.2 | 1.5–13.8 | 44 | 4.2 | 3.3 | 5.7 | 1.6 | 4.2 |
ОFH | 17.7 | 0.8 | 4.2–40.3 | 39 | 47.6 | 12.1 | 22.3 | 0.6 | 0.3 | |
ОLFH | 20.9 | 0.9 | 1.5–44.9 | 42 | 77.2 | 15.3 | 27.6 | 0.04 | –0.2 | |
Примечание. n – размер выборки, – среднее арифметическое, SЕ – ошибка среднего, min–max – минимальные и максимальные значения, Cv – коэффициент вариации, Q25 и Q75 – верхний и нижний квартиль. Буквенные обозначения соответствуют статистически значимым различиям между выделенными БГЦ: * запасов Сорг OL, ** Сорг ОFH, *** Сорг всей подстилки.
На основе полученных результатов проведена оценка запасов Сорг в подстилках изучаемых БГЦ, которые в среднем составили 20.9 ± 0.9 т Сорг/га. Полученные данные превышают значения, рассчитанные для среднетаежной европейской подзоны [44], а также полученные ранее для региона [19, 33]. Возможно, различающаяся информация связана с разными методами определения углерода и коэффициентами пересчета, что в настоящее время является объектом научных дискуссий [2, 29, 32, 69]. Полученные данные о запасах Сорг в подстилке характеризуется высоким пространственным варьированием, что характерно для таежной зоны [46]. Пространственная неоднородность рассматриваемого пула углерода определяется сочетанием разных факторов среды, чаще всего, выделяют влияние типа леса или характер увлажнения [13, 22, 23]. В настоящем случае на уровне типа древостоя Cv составляет около 40%. Внутрибиогеоценотическое варьирование обусловлено характером напочвенного покрова и парцеллярным строением дерева [37, 39] и в отдельных случаях, например, в разнотравном БГЦ 7 достигает 60–70%.
Закономерности пространственной неоднородности пула углерода подстилки совпадают с рассмотренными выше для показателей ее мощности и запасов. Среди сосняков кустарничково-зеленомошных наименьшие запасы Сорг получены для брусничных БГЦ – 18 т/га, а наибольшие – для черничных на двучленных отложениях 29 т/га. Наиболее типичные как для территории полигона, так и для Восточной Фенноскандии в целом, сосняки черничные на песчаных подзолах [22, 39, 47] характеризуются запасом Сорг подстилки в 23.1 ± 1.3 т/га. Представленные данные близки к информации, полученной для среднетаежной подзоны Республики Коми в БГЦ, близких по лесорастительным и почвенным условиям [23]. Можно отметить, что для сосняков черничных характерен широкий разброс данных, отмечено особенно значительное варьирование запасов углерода в верхнем слое подстилки OL от 2 до 19 т/га. Однако при рассмотрении показателей нижнего и верхнего квартилей, становится очевидным, что имеют место единичные высокие значения.
Запасы Сорг в подстилках еловых и смешанных сосново-еловых черничных древостоев (25.6 ± 2.3 т/га) близки к вышерассмотренным соснякам черничным. Полученные данные не подтверждают информацию о том, что более производительные еловые леса характеризуются меньшими пулом углерода подстилки [49]. Вероятно, данная закономерность должна быть связана с более разнообразным напочвенным покровом, включающим травянистые виды. Наблюдается постепенное снижение запасов Сорг в подстилках БГЦ с включением разнотравной растительности от 20 до 15 т/га. Минимальные запасы Сорг 5.5±1.5 т/га характерны для подстилок БГЦ с высокой примесью мелколиственных деревьев и преобладанием разнотравья. Подобные показатели более свойственны для южнотаежных лесов [18, 37, 62], это может быть интересной информацией для моделирования изменения растительности и оценки запасов углерода в таежных экосистемах. Необходимо отметить, что для разнотравного БГЦ выявлен широкий разброс данных, Cv составляет 78 %, на что повлияли единичные максимальные выбросы.
Полученные результаты позволили выявить ряд закономерностей пространственной неоднородности запасов Сорг в подстилках естественных среднетаежных лесов. Известно, что факторы, влияющие на свойства подстилки, разнообразны [6, 31, 61, 64, 74] и зачастую выступают комплексно [15]. В условиях полигона можно выделить несколько предикторов (табл. 5), с которыми связано варьирование запасов Сорг в подстилке:
Таблица 5. Результаты дисперсионного анализа (ANOVA) влияния выделенных факторов на запасы углерода в подстилах полигона “Кивач”
Фактор | Число степеней свободы | F-value | p-value |
Растительность напочвенного покрова | 6 | 11.26 | 3.64(10–9) |
Степень увлажнения | 5 | 7.25 | 1.09(10–5) |
Лесообразующая порода | 2 | 6.52 | 0.003 |
Расположение относительно зоны проекции древесного полога | |||
Вся выборка | 1 | 1.95 | 0.17 |
1 группа БГЦ | 0.01 | 0.94 | |
2 группа БГЦ | 1.28 | 0.27 | |
3 группа БГЦ | 0.06 | 0.81 | |
4 группа БГЦ | 3.95 | 0.08 | |
5 группа БГЦ | 0.99 | 0.34 | |
6 группа БГЦ | 1.89 | 0.23 | |
7 группа БГЦ | 0.95 | 0.37 | |
– наибольшая зависимость свойств подстилки от характера напочвенной растительности. Выявлено, что с увеличением доли участия разнотравных видов растений, не зависимо от расположения относительно кроны дерева, резко уменьшаются мощность, запасы подстилки и запасы углерода в ней. Более типичные для среднетаежной подзоны кустарничково-зеленомошные растительные ассоциации характеризуются наибольшими значениями рассматриваемых характеристик;
– условия увлажнения оказывают статистически значимое влияние. При рассматривании влияния данного фактора в ряду БГЦ сосняков от брусничного типа до черничного на двучленных отложениях выявлено постепенно повышение запасов Cорг;
– преобладающие древесные породы оказывают статистически значимое влияние. Наибольшие запасы углерода в подстилах отмечены в БГЦ без примеси лиственных пород, а меньшие значения связаны с большей долей участия березы и осины;
– расположение относительно зон проекции древесного полога оказывает наименьшее влияние. В межкроновых пространствах мощность и запасы подстилки, а также запасы Сорг меньше по сравнению с подкроновыми, но различия статистически не значимы. Эта тенденция сохраняется на уровне каждого выделенного БГЦ.
Таким образом, результаты дисперсионного анализа показали наиболее значимое влияние особенностей древесной и напочвенной растительности, а также характер увлажнения территории на запасы Сорг в подстилках среднетаежных БГЦ.
ЗАКЛЮЧЕНИЕ
Результаты исследования позволили оценить показатели подстилки, от которых зависит расчет запасов углерода: мощность, запасы подстилки и содержание Сорг в разных подгоризонтах. Отмечено преимущественное формирования на изучаемой территории грубогумусовых подстилок ферментативного типа, мощность которых в среднем составляет 5.2 ± 0.2 см, а запасы – 48 ± 2 т/га. Показано широкое варьирование данных показателей. Выявлена тесная связь запасов от мощности подстилки, которая больше для подстилок, формирующихся в подкроновых пространствах по сравнению с межкроновыми.
Содержание Сорг значимо различается в зависимости от степени разложения подстилки. Наибольшими значениями содержания Сорг характеризуются верхний подгоризонт подстилки OL кустарничково-зеленомошных БГЦ 52.8 ± 0.6%. В нижних подгоризонтах подстилки происходит уменьшение содержания Сорг до 45 ± 0.8% в OF и 37 ± 1.6% в OH. С ростом доли травянистой растительности содержание Сорг снижается 30.5 ± 1.8%. Усредненный уровень Сорг лесных подстилок среднетаежных экосистем (кустарничково-зеленомошных типов леса), рассчитанный с учетом доли вклада каждого слоя подстилки и содержания в ней углерода, находится на уровне 46%. Для разнотравных типов БГЦ данный показатель должен быть ниже 20–30%.
Запасы Сорг в подстилках изучаемых экосистем составляют в среднем 20.9 ± 0.9 т Сорг/га, полученные данные характеризуются высоким варьированием от 1.5 до 45 т Сорг/га. Наибольшие показатели характерны для кустарничково-зеленомошных БГЦ 20–30 т Сорг/га, а минимальные для разнотравных – 5.5 т Сорг/га. В пределах изучаемой территории можно выделить следующие предикторы варьирования запасов Сорг подстилки: состав напочвенного покрова, характер увлажнения, преобладающая древесная порода и расположения относительно кроны дерева. Можно сделать вывод, что увеличение повторности отбора образцов не дает более точных, с меньшими показателями варьирования, данных.
БЛАГОДАРНОСТЬ
Авторы благодарны сотрудникам Института леса КарНЦ РАН Ю.С. Кудиновой и Н.Н. Ивашовой за подготовку образцов к анализам и А.А. Голодюк и А.В. Климовой за неоценимый вклад в аналитические исследования.
ФИНАНСИРОВАНИЕ РАБОТЫ
Работа выполнена в рамках реализации важнейшего инновационного проекта государственного значения “Разработка системы наземного и дистанционного мониторинга пулов углерода и потоков парниковых газов на территории Российской Федерации, обеспечении создания системы учета данных о потоках климатически активных веществ и бюджете углерода в лесах и других наземных экологических систем” (рег. № 123030300031-6).
СОБЛЮДЕНИЕ ЭТИЧЕСКИХ СТАНДАРТОВ
В данной работе отсутствуют исследования человека или животных.
КОНФЛИКТ ИНТЕРЕСОВ
Авторы заявляют, что у них нет конфликта интересов.
About the authors
G. V. Akhmetova
Forest Research Institute of the Karelian Research Centre of the Russian Academy of Sciences
Author for correspondence.
Email: akhmetovagv@gmail.com
ORCID iD: 0000-0003-0708-369X
Russian Federation, Petrozavodsk, 185910
S. G. Novikov
Forest Research Institute of the Karelian Research Centre of the Russian Academy of Sciences
Email: akhmetovagv@gmail.com
Russian Federation, Petrozavodsk, 185910
E. V. Moshkina
Forest Research Institute of the Karelian Research Centre of the Russian Academy of Sciences
Email: akhmetovagv@gmail.com
Russian Federation, Petrozavodsk, 185910
M. V. Medvedeva
Forest Research Institute of the Karelian Research Centre of the Russian Academy of Sciences
Email: akhmetovagv@gmail.com
Russian Federation, Petrozavodsk, 185910
A. N. Solodovnikov
Forest Research Institute of the Karelian Research Centre of the Russian Academy of Sciences
Email: akhmetovagv@gmail.com
Russian Federation, Petrozavodsk, 185910
A. K. Saraeva
Forest Research Institute of the Karelian Research Centre of the Russian Academy of Sciences
Email: akhmetovagv@gmail.com
Russian Federation, Petrozavodsk, 185910
K. M. Nikerova
Forest Research Institute of the Karelian Research Centre of the Russian Academy of Sciences
Email: akhmetovagv@gmail.com
Russian Federation, Petrozavodsk, 185910
References
- Аккумуляция углерода в лесных почвах и сукцессионный статус лесов / Под ред. Лукиной Н.В. М.: Товарищество научных изданий КМК, 2018. 232 с.
- Безуглова О.С., Горбов С.Н., Карпушова А.В., Тагивердиев С.С. Сравнительная характеристика методов определения органического углерода в почвах // Биологические науки. 2014. № 8. С. 1576–1580.
- Биеньковски П., Титлянова A.A., Шибарева C.B. Трансформационные процессы в подстилках бореальных лесов // Cибирский экологический журнал. 2003. Т. 10. № 6. С. 707–712.
- Благовещенский Ю.Н., Богатырёв Л.Г., Соломатова Е.А., Самсонова В.П. Пространственная изменчивость мощности подстилок в лесах Карелии // Почвоведение. 2006. № 9. С. 1029–1035.
- Бобкова К.С., Машика А.В., Смагин А.В. Динамика содержания углерода органического вещества в среднетаежных ельниках на автоморфных почвах. СПб.: Наука, 2014. 270 с.
- Богатырёв Л.Г., Демин В.В., Матышак Г.В., Сапожникова В.А. О некоторых теоретических аспектах исследования лесных подстилок // Лесоведение. 2004. № 4. С. 17–29.
- Богатырёв Л.Г., Свентицкий И.А., Шарафутдинов Р.Н., Степанов А.А. Лесные подстилки и диагностика современной направленности гумусообразования в различных географических зонах // Почвоведение. 1998. № 7. С. 864–875.
- Второй оценочный доклад об изменениях климата и их последствиях на территории Российской Федерации. М: Росгидромет, 2014. 1009 с.
- Демидов И.Н., Лукашов А.Д., Ильин В.А. Рельеф заповедника “Кивач” и история геологического развития северо-западного Прионежья в четвертичном периоде // Тр. Карельского НЦ РАН. 2006. Вып. 10. С. 22–33.
- Дмитриев Е.А. Математическая статистика в почвоведении. М.: URSS, 2009. 328 с.
- Иванов А.В., Браун М., Замолодчиков Д.Г., Лынов Д.В., Панфилова Е.В. Лесные подстилки как звено цикла углерода хвойно-широколиственных насаждений южного Приморья // Почвоведение. 2018. № 10. С. 1226–1233. https://doi.org/10.1134/S0032180X18100052
- Ивантер Э.В., Тихомиров А.А. Заповедник “Кивач” // Заповедники СССР. Т. 1. Заповедники европейской части РСФСР. М.: Мысль, 1988. С. 100–128.
- Казимиров Н.И., Волков А.Д., Зябченко С.С. и др. Обмен веществ и энергии в сосновых лесах Европейского Севера. Л., 1977. 304 с.
- Караванова Е.И., Золовкина Д.Ф., Степанов А.А. Взаимодействие водорастворимых органических веществ хвойной подстилки с минералами и горизонтами подзолистой почвы и подзолов // Почвоведение. 2020. № 9. С. 1071–1084. https://doi.org/10.31857/S0032180X20090075
- Карпачевский Л.О., Зубкова Т.А., Ташнинова Л.Н., Руденко Р.Н. Почвенный покров и парцеллярная структура лесного биогеоценоза // Лесоведение. 2007. № 6. С. 107–113.
- Классификация и диагностика почв России. Смоленск: Ойкумена, 2004. 342 с.
- Копцик Г.Н., Копцик С.В., Куприянова Ю.В., Кадулин М.С., Смирнова И.Е. Оценка запасов углерода в почвах лесных экосистем как основа мониторинга климатически активных веществ // Почвоведение. 2023. № 12. С. 1686–1702. https://doi.org/10.31857/S0032180X23601329
- Кузнецова А.И., Лукина Н.В., Горнов А.В., Горнова М.В., Тихоновa Е.В., Смирнов В.Э. и др. Запасы углерода в песчаных почвах сосновых лесов на западе России // Почвоведение. 2020. № 8. C. 959–969. https://doi.org/10.31857/S0032180X20080109
- Леса и их многоцелевое использование на северо-западе европейской части таежной зоны России. Петрозаводск: Карельский научный центр РАН, 2015. 190 с.
- Лукина Н.В., Кузнецова А.И., Гераськина А.П., Смирнов В.Э., Иванова В.Н., Тебенькова Д.Н., Горнов А.В., Шевченко Н.Е., Тихонова Е.В. Неучтенные факторы, определяющие запасы углерода в лесных почвах // Метеорология и гидрология. 2022. № 10. С. 92–110. https://doi.org/10.52002/0130-2906-2022-10-92-110
- Макаревский М.Ф. Запасы и баланс органического углерода в лесных и болотных биогеоценозах Карелии // Экология. 1991. № 3. С. 3–12.
- Морозова Р.М. Запасы органического вещества в почвах лесов Карелии // Почвы Карелии (справочное пособие). Петрозаводск, 1981. C. 67–168.
- Осипов А.Ф., Дымов А.А. Запасы углерода в почвах основных групп типов сосновых лесов в республике Коми // Почвы Урала и Поволжья: экология и плодородие: Матер. междунар. науч.-пр. конф. почвоведов, агрохимиков и земледелов, посвященной 90-летию почвоведения на Урале. 3–6 июня 2021 г. Уфа: Башкирский ГАУ, 2021. С. 42–46.
- Орлова М.А., Лукина М.В., Смирнов В.Э. Методические подходы к отбору образцов лесной подстилки с учетом мозаичности лесных биогеоценозов // Лесоведение. 2015. № 3. С. 214–221.
- Подвезенная М.А., Рыжова И.М. Изменчивость содержания и запасов углерода в почвах лесных биогеоценозов южной тайги // Лесоведение. 2011. № 1. С. 52–60.
- Распоряжение Минприроды России от 30 июня 2017 г. № 20-р
- Рыжова И.М., Подвезенная М.А. Пространственная вариабельность запасов органического углерода в почвах лесных и степных биогеоценозов // Почвоведение. 2008. № 12. С. 1429–1437.
- Рыжова И.М., Подвезенная М.А., Телеснина В.М., Богатырев Л.Г., Семенюк О.В. Оценка запасов углерода и потенциала продуцирования CO2 почвами хвойно-широколиственных лесов // Почвоведение. 2023. № 9. С. 1143–1154. https://doi.org/10.31857/S0032180X23600713
- Самсонова В.П., Кондрашкина М.И. Анализ данных определения содержания органического углерода разными методами // Проблемы агрохимии и экологии. 2023. № 1. С. 43–46. https://doi.org/10.26178/AE.2023.30.55.006
- Самсонова В.П., Мешалкина Ю.Л. Часто встречающиеся неточности и ошибки применения статистических методов в почвоведении // Бюл. Почв. ин-та им. В.В. Докучаева. 2020. Вып. 102. С. 164–182. https://doi.org/10.19047/0136-1694-2020-102-164-182
- Семенов В.М., Когут Б.М. Почвенное органическое вещество. М.: ГЕОС, 2015. 233 с.
- Семенов В.М., Лебедева Т.Н., Лопес де Гереню В.О., Овсепян Л.А., Семенов М.В., Курганова И.Н. Пулы и фракции органического углерода в почве: структура, функции и методы определения // Почвы и окружающая среда. 2023. Т. 6. № 1. e199. https://doi.org/10.31251/pos.v6i1.199
- Синькевич С.М., Бахмет О.Н., Иванчиков А.А. Роль почв в региональном балансе углерода в сосновых лесах Карелии // Почвоведение. 2009. № 3. С. 290–300.
- Скороходова С.Б. О климате заповедника “Кивач” // Тр. гос. природного заповедника “Кивач”. Петрозаводск, 2008. Вып. 4. С. 3–34.
- Соломатова Е.А., Красильников П.В., Сидорова В.А. Строение и пространственная вариабельность лесной подстилки в ельнике черничном зеленомошном Средней Карелии // Почвоведение. 1999. № 6. С. 764–773.
- Соломатова Е.А., Сидорова В.А. Пространственная вариабельность лесных подстилок ельников черничных Восточной Фенноскандии // Геостатистика и география почв. М.: Наука, 2007. С. 87–91.
- Телеснина В.М., Семенюк О.В., Богатырев Л.Г. Свойства лесных подстилок во взаимосвязи с напочвенным покровом в лесных экосистемах Подмосковья (на примере УОПЭЦ “Чашниково”) // Вестник Моск. ун-та. Сер. 17, почвоведение. 2017. № 4. С. 11–20.
- Титлянова А.А., Шибарева С.В., Самбуу А.Д. Травяные и лесные подстилки в горной лесостепи Тувы // Cибирский экологический журнал. 2004. Т. 11. № 3. С. 425–432.
- Федорец Н.Г., Бахмет О.Н. Экологические особенности трансформации соединений углерода и азота в лесных почвах. Петрозаводск: Карельский научный центр РАН, 2003. 240 с.
- Федорец Н.Г., Морозова Р.М., Бахмет О.Н., Солодовников А.Н. Почвы и почвенный покров заповедника “Кивач” // Тр. Карельского научного центра РАН. 2006. Вып. 10. С. 131–152.
- Хитров Н.Б., Никитин Д.А., Иванова Е.А., Семенов М.В. Пространственно-временная изменчивость содержания и запаса органического вещества почвы: аналитический обзор // Почвоведение. 2023. № 12. С. 1493–1521. https://doi.org/10.31857/S0032180X23600841
- Чернова О.В., Рыжова И.М., Подвезенная М.А. Оценка запасов органического углерода лесных почв в региональном масштабе // Почвоведение. 2020. № 3. С. 340–350. https://doi.org/10.31857/S0032180X20030028
- Честных О.В., Грабовский В.И., Замолодчиков Д.Г. Углерод почв лесных районов Европейско-Уральской части России // Вопросы лесной науки. 2020. Т 3. № 2. С. 1–5. https://doi.org/10.31509/2658-607x-2020-3-2-1-15
- Честных О.В., Лыжин В.А., Кокшарова А.В. Запасы углерода в подстилках лесов России // Лесоведение. 2007. № 6. С. 114–121.
- Шихова Л.Н., Лисицын Е.М. Динамика запасов органического вещества лесной подстилки южно-таежного биогеоценоза // Вестник Удмуртского ун-та. Сер. Биология. Науки о земле. 2015. Т. 25. Вып. 2. С. 24–30.
- Щепащенко Д.Г., Мухортова Л.В., Швиденко А.З., Ведрова Э.Ф. Запасы органического углерода в почвах России // Почвоведение. 2013. № 2. С. 123–132. https://doi.org/10.7868/S0032180X13020123
- Bakhmet O. N. Carbon deposits in soils of pine and spruce forests of Karelia // Contemporary Problems of Ecology. 2018. V. 11. P. 697–703. https://doi.org/10.1134/S199542551807003X
- Berg B., McClaugherty C. Plant litter. Decomposition, humus formation, carbon sequestration. Berlin: Springer-Verlag, 2008. 340 p.
- Blume H.P. Soils // Terrestrial Coastal Ecosystems in Germany and Climate Change. Ecological Studies. Cham: Springer, 2023. V. 245. P. 75–90. https://doi.org/10.1007/978-3-031-12539-3_8
- Cao B., Domke G.M., Russell M.B., Walters B.F. Spatial modeling of litter and soil carbon stocks on forest land in the conterminous United States // Sci. Total Environ. 2019. V. 654. P. 94–106. https://doi.org/10.1016/j.scitotenv.2018.10.359
- Couteaux M.-M., Bottner P., Berg B. Litter decomposition, climate and litter quality // Trends in Ecology Evolution. 1995. V. 10. P. 63–66. https://doi.org/10.1016/s0169-5347(00)88978-8
- Domke G.M., Perry C.H., Walters B.F., Woodall C.W., Russell M.B., Smith J.E. Estimating litter carbon stocks on forest land in the United States // Sci. Total Environ. 2016. V. 557–558. P. 469–478. https://doi.org/10.1016/j.scitotenv.2016.03.090
- Ershov V., Sukhareva T., Ryabov N., Ivanova E., Shtabrovskaya I. Estimation of Carbon and Nitrogen Contents in Forest Ecosystems in the Background Areas of the Russian Arctic (Murmansk Region) // Forests. 2024. V. 15. P. 29. https://doi.org/10.3390/f15010029
- Fröberg M., Hansson K., Kleja D.B., Alavi Gh. Dissolved organic carbon and nitrogen leaching from Scots pine, Norway spruce and silver birch stands in southern Sweden // Forest Ecology Management. 2011. V. 262. №. 9. Р. 1742–1747. https://doi.org/10.1016/j.foreco.2011.07.033
- Hammer Ø., Harper D.A.T., Ryan P.D. PAST: Paleontological statistics software package for education and data analysis // Palaeontologia Electronica. 2001. V. 4. P. 1–9.
- Hoffmann U., Hoffmann T., Johnson E.A., Kuhn N.J. Assessment of variability and uncertainty of soil organic carbon in a mountainous boreal forest (Canadian Rocky Mountains, Alberta) // Catena. 2014. V. 113. P. 107–121. https://doi.org/10.1016/j.catena.2013.09.009
- IPCC: Climate Change 2013: The Physical Science Basis. Contribution of Working Group I to the Fifth Assessment Report of the Intergovernmental Panel on Climate Change / Eds. Stocker T.F. et al. Cambridge: Cambridge University Press, 2013. 1535 p.
- IPCC: Guidelines for National Greenhouse Gas Inventories; Prepared by National Greenhouse Gas Inventories Programme / Eds. Eggleston H.S. et al. IGES: Kanagawa, 2006.
- IUSS Working Group WRB World Reference Base for Soil Resources 2014, update 2015, International soil classification system for naming soils and creating legends for soil maps. World Soil Resources Reports 106. Rome: FAO, 2015. 203 p.
- Kristensen T., Ohlson M., Bolstad P., Nagy Z. Spatial variability of organic layer thickness and carbon stocks in mature boreal forest stands – implications and suggestions for sampling designs // Environ. Monitoring Assessment. 2015. V. 187. 521. https://doi.org/10.1007/s10661-015-4741-x
- Kuznetsova A.I., Lukina N.V., Tikhonova E.V., Gornov A.V., Gornova M.V., Smirnov V.E., Geraskina A.P., Shevchenko N.E., Tebenkova D.N., Chumachenko S.I. Carbon stock in sandy and loamy soils of coniferous–broadleaved forests at different succession stages // Eurasian Soil Science. 2019. V. 52. № 7. P. 756–768. https://doi.org/10.1134/S1064229319070081
- Lee S.J., Yim J.S., Son Y.M., Son Y., Kim R. Estimation of Forest Carbon Stocks for National Greenhouse Gas Inventory Reporting in South Korea // Forests. 2018. V. 9. P. 625. https://doi.org/10.3390/f9100625
- Liu Y., Wang K., Dong L., Li J., Wang X., Shangguan Z., Qu B., Deng L. Dynamics of litter decomposition rate and soil organic carbon sequestration following vegetation succession on the Loess Plateau, China // Сatena. 2023 V. 229: 107225. https://doi.org/10.1016/j.catena.2023.107225
- Lukina N.V., Tikhonova E.V., Danilova M.A., Bakhmet O.N., Kryshen A.M., Tebenkova D.N., Kuznetsova A.I. et al. Associations between forest vegetation and the fertility of soil organic horizons in northwestern Russia // Forest Ecosystems. 2019. V. 6. P. 34. https://doi.org/10.1186/s40663-019-0190-2
- Pan Y., Birdsey R.A., Fang J., Houghton R., Kauppi P., Kurz W., Phillips O. et al. A Large and Persistent Carbon Sink in the World’s Forests // Science. 2011. V. 333(6045). P. 988–993. https://doi.org/10.1126/science.1201609
- Price D.T., Alfaro R.I., Brown K.J., Flannigan M.D., Fleming R.A., Hogg E.H., Girardin M.P. et al. Anticipating the consequences of climate change for Canada’s boreal forest ecosystems // Environ. Rev. 2013. V. 21. P. 322–365. https://doi.org/10.1139/er-2013-0042
- Rozhkov V.A., Wagner V.B., Kogut B.M., Konyushkov D.E., Nilsson S., Sheremet B.V., Shvidenko A.Z. Soil carbon estimates and soil carbon map for Russia. IIASA Working Paper. IIASA. Laxenburg, 1996. 44 p.
- Schrumpf M., Schulze E.D., Kaiser K., Schumacher J. How accurately can soil organic carbon stocks and stock changes be quantified by soil inventories? // Biogeosciences. 2011. V. 8. P. 1193–1212. https://doi.org/10.5194/bg-8-1193-2011
- Shamrikova E.V., Kondratenok B.M., Tumanova E.A., Vanchikova E.V., Lapteva E.M., Zonova T.V., Lu-Lyan-Min E.I. et al. Transferability between soil organic matter measurement methods for database harmonization // Geoderma. 2022. V. 412. P. 115547. https://doi.org/10.1016/j.geoderma.2021.115547
- Sun W., Liu X. Review on carbon storage estimation of forest ecosystem and applications in China // Forest Ecosystems. 2020. V. 7. P. 4. https://doi.org/10.1186/s40663-019-0210-2
- UNFCCC: Caring for Climate: A guide to the Climate Change Convention and the Kyoto Protocol (revised 2005 edition). Germany, 2005. 33 р.
- Vitharana U.W.A., Casson N.J., Kumaragamage D., Mishra U., Friesen-Hughes K. Factors controlling the spatial heterogeneity of soil organic carbon concentrations and stocks in a boreal forest // Geoderma Regional. 2024. V. 36. P. e00749. https://doi.org/10.1016/j.geodrs.2023.e00749
- Wiesmeier M., Urbanski L., Hobley E., Lang B., von Luetzow M., Marin-Spiotta E., Wesemael van B. et al. Soil organic carbon storage as a key function of soils – a review of drivers and indicators at various scales // Geoderma. 2019. V. 333. № 5. P. 149–162. https://doi.org/10.1016/j.geoderma.2018.07.026
- Yang Y., Luo Y., Finzi A.C. Carbon and nitrogen dynamics during forest stand development: a global synthesis // New Phytologist. 2011. V. 190. P. 977–989. https://doi.org/10.1111/j.1469-8137.2011.03645.x
Supplementary files







