Dynamics of the Content of Water-Soluble Forms of Carbon and Nitrogen in Soils in the First Years after Logging
- Authors: Startsev V.V.1, Severgina D.A.1, Dymov A.A.2,3
-
Affiliations:
- Institute of Biology of the Komi Science Centre of the Ural Branch of the Russian Academy of Sciences
- Institute of Biology of the Komi Scientific Centre of the Ural Branch of the Russian Academy of Sciences
- Lomonosov Moscow State University
- Issue: No 6 (2024)
- Pages: 797-812
- Section: SOIL CHEMISTRY
- URL: https://journals.rcsi.science/0032-180X/article/view/273573
- DOI: https://doi.org/10.31857/S0032180X24060028
- EDN: https://elibrary.ru/YCDBMV
- ID: 273573
Cite item
Full Text
Abstract
Logging is one of the main anthropogenic factors that change forest ecosystems. An experiment was launched to study the effect of logging equipment on soil properties after cutting spruce forests in the middle taiga of the Komi Republic, during which the laying of drags with different numbers of passes of wheeled vehicles (forwarder PONSSE ELEPHANT) was carried out. Carbon (WSOC) and nitrogen (WSON) of water-soluble compounds play an important role in the global cycle of elements. The article presents the results of observations on the content of WSOC and WSON soils of indigenous forests (Albic Retisols) and deforestation soils that have experienced different loads: portage (3P – three passes of logging equipment, 10P – ten passes, 10P – followed by leveling). A significant increase in total carbon in soils after logging in the first two years was revealed. The greatest changes relate to the upper mineral horizons (EL and TURcwd), in which the carbon content increases 3–6 times (0.32–2.2%) compared with the soil values of the original forest (0.45%). A significant increase in the WSOC content in organogenic (up to 33.4 mg/g) and mineral horizons (up to 0.46 mg/g) soils after continuous logging was found, which is on average three times higher than the baseline values. The content of water-soluble nitrogen increases in the organogenic horizon from 0.23 to 2.12 mg/g two years after logging. In the mineral horizons after logging, the WSON index varied from 0.003 to 0.020 mg/g (values in the soil of the original forest were 0.002–0.011 mg/g). It is shown that an increase in the carbon and nitrogen content of water-soluble compounds can be considered a conditional diagnostic sign of the influence of logging activities on soil organic matter, since concentrations differ significantly from the initial indicators.
Full Text
ВВЕДЕНИЕ
Таежные экосистемы подвержены различным типам антропогенной деятельности, и при этом могут быть чувствительными индикаторами современных климатических изменений [49]. Лесозаготовительные мероприятия являются одним из главных антропогенных факторов, изменяющих лесные экосистемы. Проведение рубок главного пользования приводит к существенному изменению лесного покрова и лесных почв [4, 7, 12]. Известно, что площадь пасечных участков составляет до 59–71%, волоков – 18–29% от общей площади лесосеки [4, 14]. Почвы пасечных участков не испытывают прямого воздействия тяжелой агрегатной техники в отличие от почв волоков, которые подвергаются наибольшим нарушениям. Важным показателем становится число проходов колесной техники [8, 9, 65, 67], которое обусловливает перемешивание подстилок и минеральных горизонтов почв, поступление порубочных остатков вглубь почвенного профиля при многократных проходах тяжелой лесозаготовительной техники [15].
В связи со значительными запасами углерода, сосредоточенного в лесных экосистемах, содержанию и изменению состава соединений углерода почв посвящено существенное количество работ [4, 16, 24, 42, 57, 59]. Почвы лесных экосистем бореального пояса содержат приблизительно 30% общепланетарных запасов углерода [64]. Но при этом работ по оценке влияния рубок на состав и свойства почвенного органического вещества в условиях европейского Севера не так много [6, 8]. Углерод водорастворимых соединений является одним из наиболее активных и подвижных источников углерода, представляет собой лабильную форму, которая быстро преобразовывается в почвах [18, 19, 47, 56] и играет важную роль в глобальном круговороте элемента [23, 32, 46, 48].
Минерализация водорастворимого органического вещества (ВОВ) оказывает значительное влияние на потерю углерода из наземных экосистем, включая лесные [29, 32]. Процессы сохранения и накопления ВОВ могут влиять на функции и питательный режим почв [43]. Таким образом, ВОВ участвует в формировании химического состава почв, осуществляет транспорт веществ в профиле почв [20, 29, 54]. ВОВ является наиболее важным субстратом для микроорганизмов [10, 21, 22, 25, 28, 37]. В настоящее время этот показатель часто применяют в качестве индикатора микробной активности [3, 30]. В работах как отечественных, так и зарубежных исследователей отмечены важные функции ВОВ, как наиболее динамической фракции органического вещества почв, которая является индикатором изменений ПОВ и процессов почвообразования в целом [10, 13]. Продемонстрировано, что его изменения могут быть рассмотрены в качестве показателя для мониторинга неблагоприятного воздействия на почвы [66, 45], а проведение экспериментальных и модельных исследований динамики ВОВ позволят оценить его концентрации и вклад в глобальный цикл углерода [40].
На основе анализа литературы предполагается, что сведения о содержании и изменении ВОВ при широко распространенных лесозаготовительных мероприятиях на европейском северо-востоке России актуальны для получения новой информации и выделения ВОВ в качестве индикатора антропогенного воздействия (лесозаготовки, пожары и сельскохозяйственное использование). Актуальным остается проведение исследований по оценке сезонной динамики водорастворимых веществ, что может способствовать более глубокому пониманию этих процессов и их влияния на функционирование почв.
Цель работы – оценить изменение содержания углерода и азота водорастворимых соединений в почвах после рубки хвойно-лиственного насаждения в средней тайге Республики Коми.
ОБЪЕКТЫ И МЕТОДЫ
Исследования выполнены в подзоне средней тайги Республики Коми в 2020–2022 гг. Климат района исследований умеренно-континентальный, умеренно холодный. Среднегодовая температура воздуха составляет +0.4°С, среднемесячная температура в июле +16.7°С, в январе –15.2°С. Годовое количество осадков 560 мм, испаряемость 442 мм, коэффициент увлажнения составляет 1.27, что свидетельствует об избыточном увлажнении [1, 2]. Согласно почвенно-географическому районированию, исследуемая территория расположена в южной части Вымь-Вычегодского округа типичных подзолистых почв, иллювиально-железистых подзолов, торфянисто-подзолисто-глееватых иллювиально-гумусовых почв. Объекты исследования были расположены на вершине мореного увала. Территория относится к Вычегодско-Мезенской равнине, почвообразующими породами которой служат водно-ледниковые суглинисто-глинистые однородные и слоистые отложения [1] (рис. 1).
Рис. 1. Расположение участка вырубки и объекта исследований. Изображение участка взято с сайта Google Maps
Исходно на исследуемом участке развивалась подзолистая почва, формирующаяся в хвойно-лиственном насаждении (2020 г.). В зимний период 2020/2021 гг. на исследуемом участке была проведена рубка древостоя, включающая использование многооперационных машин (форвардер и харвестер). Исследование проводилось на разных технологических участках вырубки (рис. 2): пасечный участок (П) и волока с разным числом проходов колесной техники. Волока различались по степени механических нарушений: три (3П) и десять проходов тяжелой лесозаготовительной техники (10П), также были исследованы волока с десятью проходами с последующим выравниванием (10Р). В качестве экспериментальной машины для моделирования волоков использовали четырехосный форвардер Ponsse Elephant Erg08w A090626 (22.8 т). Перед проездом форвардер загружали балансом осины. Общая масса форвардера с древесиной составляла 36.3 т. На каждом технологическом участке вырубки закладывали по одному опорному разрезу для полнопрофильного отбора образцов один раз в полевой сезон. Для участка исходного леса и последующего пасечного участка разрезы были заложены в 2020, 2021 и 2022 гг. На волоках полнопрофильные разрезы закладывали в 2021 и 2022 гг. Разрезы закладывали в колеях, межколейное пространство механически не было нарушено. Для исследования динамики водорастворимых форм углерода и азота в течение двух лет после рубки ежемесячно с мая по октябрь – 6 отборов ежегодно (в 2021 г. с июня по сентябрь – 5 отборов) отбирали образцы из подстилок и верхних минеральных горизонтов почв пасечного участка (EL) и волоков (TURcwd). Место отбора проб для учета сезонной динамики Свс и Nвс на технологических элементах вырубки определяли случайным образом.
Рис. 2. Профили исследованных почв. ИЛ – исходный лес, П – пасека (слева, внизу), 3П – разрез на волоке с тремя проходами, 10П – разрез на волоке с десятью проходами, 10Р – разрез на волоке с десятью проходами и последующим выравниванием
Более подробно данные об участке исследования и эксперименте по влиянию количества проходов на свойства почв были представлены в работе [8].
Химический анализ почв проводили в аккредитованной экоаналитической лаборатории и отделе почвоведения ИБ ФИЦ Коми НЦ УрО РАН. Общее содержание углерода (Собщ) и азота (Nобщ) в образцах опорных разрезов определяли на анализаторе EA-1100 (Carlo Erba). Для определения содержания общего углерода и азота была отобрана смешанная проба из каждого генетического горизонта в разрезе. Содержание водорастворимых фракций углерода (Cвс) и азота (Nвс) с учетом сезонной динамики (n = 5–6) определяли на анализаторе TOC-VCPN (Япония, Shimadzu) c модулем TNM-1. Результаты представлены при уровне значимости P = 0.95. Экстракцию водорастворимых веществ проводили деионизированной водой (ELGA Lab Water, Англия) при комнатной температуре при соотношении 1 : 50 (почва : вода) для минеральных горизонтов и 1 : 100 для органогенных горизонтов в пробирках BIOFIL. Суспензии встряхивали в течение часа на шейкере Heidolph Multi Reax (ускорении 6Х, 4600 об/мин) при комнатной температуре. Фильтрование проводили непосредственно после встряхивания на установках Millipore с использованием кварцевых фильтров (MN, Германия, с размером пор 0.4 мкм). Данные пересчитывали на воздушно-сухую навеску анализируемой пробы.
В программе Statistica 10.0 были построены графики блока для сравнения различий между участками исследования и медианных значений, разброса значений. Диаграммы распределения были построены в Microsoft Excel 2010.
РЕЗУЛЬТАТЫ И ОБСУЖДЕНИЕ
Физико-химические свойства почв. Исследования влияния рубки на физико-химические свойства почв описаны ранее в работе [8]. Некоторые физико-химические параметры представлены в табл. 1. Показано, что почва пасечного участка в первый год после рубки характеризовалась среднекислыми значениями 4.2–5.5 рНH2O. Спустя два года после рубки в 2022 г. показатель рНH2O по профилю почвы пасечного участка варьировал от 4.4 до 5.7. Химические свойства почв волоков через два года после рубки имеют ряд отличий, как от фоновых, так и от показателей спустя год после рубки. В почве волока с тремя проходами рНH2O варьировал в 2021 г. от 4.4 до 5.8, в 2022 г. – 4.7–5.4. В почве 10П наблюдается некоторое подкисление верхнего турбированного горизонта до 4.7 в 2021 г. и 4.8 спустя два года после рубки по сравнению с почвой Р-10Р, поскольку органогенный горизонт не был полностью уничтожен, а перемешан с верхним минеральным. Для почвы 10Р рНH2O варьировал от 5.0–5.2, что характерно для срединных минеральных горизонтов.
Таблица 1. Содержание углерода (Собщ) и азота (Nобщ) в почвах исходного леса и пасечного участка
Разрез | Год | Горизонт | Глубина, см | Собщ | Nобщ | C / N |
% | ||||||
ИЛ | 2020 | O(L) | 0–1 | 42.90 ± 1.50 | 1.73 ± 0.19 | 29 |
O(F) | 1–4 | 44.50 ± 1.60 | 1.72 ± 0.19 | 30 | ||
O(H) | 4–5 | 34.40 ± 1.20 | 1.10 ± 0.12 | 36 | ||
EL1 | 5–20 | 0.45 ± 0.10 | 0.04 ± 0.01 | 14 | ||
EL2 | 20–45 | 0.16 ± 0.04 | 0.02 ± 0.01 | 9 | ||
BEL | 45–65 | 0.21 ± 0.05 | 0.02 ± 0.01 | 11 | ||
Пасека | 2021 | O(L) | 0–1 | 44.80 ± 1.60 | 1.90 ± 0.21 | 28 |
O(F) | 1–4 | 44.40 ± 1.60 | 1.60 ± 0.18 | 32 | ||
O(H) | 4–5 | 40.00 ± 1.40 | 1.22 ± 0.13 | 38 | ||
EL1 | 5–20 | 0.31 ± 0.07 | 0.02 ± 0.01 | 14 | ||
EL2 | 20–45 | 0.54 ± 0.12 | 0.03 ± 0.01 | 19 | ||
BEL | 45–65 | 0.11 ± 0.03 | 0.02 ± 0.01 | 7 | ||
2022 | O(L) | 0–1 | 14.90 ± 1.50 | 0.60 ± 0.12 | 29 | |
O(F) | 1–4 | 33.40 ± 1.20 | 1.14 ± 0.13 | 34 | ||
O(H) | 4–5 | 39.40 ± 1.40 | 1.11 ± 0.12 | 41 | ||
EL1 | 5–20 | 0.93 ± 0.21 | 0.05 ± 0.01 | 23 | ||
EL2 | 20–45 | 0.46 ± 0.11 | 0.04 ± 0.01 | 14 | ||
BEL | 45–65 | 0.12 ± 0.03 | 0.02 ± 0.01 | 9 | ||
Примечание. ИЛ – исходный лес, ±Δ – границы интервала абсолютной погрешности при P = 0.95. Прочерк – данные отсутствуют.
Анализ гранулометрического состава позволил выявить некоторое увеличение содержания физической глины (<0.01) в минеральных горизонтах почв волоков по сравнению с почвой до вырубки. Распределение фракции физической глины носит равномерно-элювиальное распределение с увеличением в нижних минеральных горизонтах. Кроме этого, выявлено увеличение илистой фракции (<0.001 мм) в срединных и нижних минеральных горизонтах почв волоков в 1.2–5.0 раз. Содержание илистой фракции в почве 3П варьирует от 13 до 44%, в почве 10П – от 19 до 46%. Максимальное содержание и увеличение илистой фракции по сравнению с фоновой почвой выявлено для участка 10Р – от 27 до 60%. Вероятно, колесная техника путем продавливания и перемешивания способствует миграции илистых частиц вниз по профилю почв. Таким образом, почвы волоков характеризуются более тяжелым гранулометрическим составом (супесь–глина легкая) по сравнению с исходной почвой (супесь–средний суглинок).
Содержание общего углерода и азота. Содержание углерода и азота в исходной подзолистой почве характеризуется регрессивно-аккумулятивным распределением элементов по профилю с максимальными концентрациями в подстилках и их уменьшением в минеральных горизонтах. Это типично для данного типа почв, формирующихся в хвойно-лиственном насаждении, что согласуется с литературными данными [58, 33].
Содержание углерода исходной почвы до рубки леса (ИЛ) в подстилке варьировало от 34.4 до 45.4%, в минеральных горизонтах 0.16–0.45% (табл. 2). Содержание азота составляло 1.10–1.73 и 0.021–0.037% соответственно. По содержанию углерода в подстилке и минеральных горизонтах почвы пасечного участка через год после рубки выявлены близкие показатели по сравнению с почвой исходного леса. В первый год после рубки содержание углерода в органогенном горизонте почвы пасечного участка составляло от 40.0 до 44.8%. Содержание азота варьировало 1.22–1.90%. Несколько более высокие показатели содержания углерода в верхнем подгоризонте подстилки, вероятно, обусловлены поступлением порубочных остатков, хвои, листьев [6]. В минеральных горизонтах содержание Собщ и Nобщ характеризуется уменьшением (0.110–0.54% углерода, 0.019–0.033% азота). Спустя два года после рубки содержание углерода в подстилке варьировало от 14.9 до 39.4%. В минеральных горизонтах содержание Собщ составляло от 0.12 до 0.93%, Nобщ – 0.016–0.048%. Уменьшение Собщ в верхнем подгоризонте подстилки на второй год после рубки, вероятно, обусловлено возрастанием в составе напочвенного покрова светолюбивого травянистого вида Avenella flexuosa (луговик извилистый). В работе [17] показано, что подстилки с высоким содержанием травянистых растений отличаются от типичных лесных пониженными концентрациями углерода, это свидетельствует о различных соотношениях исходных органических веществ в опаде – более высокой доле лигнина в лесных и целлюлозы в травяных подстилках [17]. Выявлено, что содержание углерода в верхнем минеральном горизонте EL спустя два года после рубки практически в два раза возрастает (до 0.93 ± 0.21%) по сравнению с исходными значениями (до 0.45 ± 0.10%). Вероятно, это связано с большей пропиткой органическим веществом горизонтов при разложении порубочных растительных остатков на второй год после рубки. По содержанию азота значительных изменений не выявлено.
Таблица 2. Содержание углерода (Собщ) и азота (Nобщ) в почвах волоков
Разрез | Год | Горизонт | Глубина, см | Cобщ | Nобщ | C / N |
% | ||||||
3П | 2021 | O(L) | 0–2 | 47.00 ± 1.60 | 1.24 ± 0.14 | 44 |
O(F+H) | 2–5 | 42.50 ± 1.50 | 1.25 ± 0.14 | 40 | ||
EL1 | 5–15 | 0.65 ± 0.15 | 0.05 ± 0.01 | 15 | ||
EL2 | 15–25 | 0.15 ± 0.03 | 0.02 ± 0.01 | 10 | ||
BEL | 25–35 | 0.14 ± 0.03 | 0.02 ± 0.01 | 9 | ||
BT | 35–50 | 0.16 ± 0.04 | 0.02 ± 0.01 | 8 | ||
2022 | O(L) | 0–2 | 35.90 ± 1.30 | 1.23 ± 0.14 | 34 | |
O(F+H) | 2–5 | 39.30 ± 1.40 | 1.33 ± 0.15 | 34 | ||
EL1 | 5–15 | 0.83 ± 0.19 | 0.04 ± 0.01 | 25 | ||
EL2 | 15–25 | 0.38 ± 0.09 | 0.03 ± 0.01 | 15 | ||
BEL | 25–35 | 0.17 ± 0.04 | 0.02 ± 0.01 | 9 | ||
BT | 35–50 | 0.26 ± 0.06 | 0.03 ± 0.01 | 9 | ||
10П | 2021 | TURcwd | 0–15 | 2.20 ± 0.30 | 0.11 ± 0.02 | 23 |
EL | 15–20 | 0.27 ± 0.06 | 0.03 ± 0.01 | 12 | ||
BEL | 20–30 | 0.18 ± 0.04 | 0.03 ± 0.01 | 8 | ||
BT | 30–50 | 0.15 ± 0.03 | 0.03 ± 0.01 | 7 | ||
2022 | TURcwd | 0–15 | 6.30 ± 0.60 | 0.24 ± 0.05 | 31 | |
EL | 15–20 | 0.53 ± 0.12 | 0.04 ± 0.01 | 15 | ||
BEL | 20–30 | 0.27 ± 0.06 | 0.03 ± 0.01 | 11 | ||
BT | 30–50 | 0.17 ± 0.04 | 0.03 ± 0.01 | 7 | ||
10Р | 2021 | TURcwd | 0–10 | 0.32 ± 0.07 | 0.03 ± 0.01 | 12 |
BEL | 10–20 | 0.25 ± 0.06 | 0.04 ± 0.01 | 8 | ||
BT | 20–50 | 0.17 ± 0.04 | 0.04 ± 0.01 | 6 | ||
2022 | TURcwd | 0–10 | 2.00 ± 0.30 | 0.11 ± 0.02 | 21 | |
BEL | 10–20 | 0.48 ± 0.11 | 0.05 ± 0.01 | 12 | ||
BT | 20–50 | 0.36 ± 0.08 | 0.05 ± 0.01 | 9 | ||
Примечание. 3П – разрез на волоке с тремя проходами, 10П – разрез на волоке с десятью проходами, 10Р – разрез на волоке с десятью проходами и последующим выравниванием. ±Δ – границы интервала абсолютной погрешности при P = 0.95. Прочерк – данные отсутствуют.
Содержание углерода и азота в почвах волоков (табл. 3) также характеризуется изменениями, проявляющимися в их увеличении в верхних минеральных горизонтах. В почве с тремя проходами (3П) содержание углерода и азота было максимально близко к исходным значениям. Вероятно, это обусловлено меньшей техногенной нагрузкой на данном участке. Спустя год после рубки в почве 3П содержание углерода в подстилке составляло 42.5–47.0% углерода и 1.24–1.25% азота, в минеральных горизонтах содержание углерода варьировало от 0.14 до 0.65%, азота – 0.017–0.049%, что соответствует значениям почвы ИЛ. Два года спустя после рубки наблюдаются аналогичные с исходными закономерности распределения в профиле почвы с уменьшением содержания углерода в подстилке (35.9–39.3%) и увеличением в верхних минеральных горизонтах (0.17–0.83%).
Таблица 3. Некоторые физико-химические параметры исследованных почв
Разрез | Год | Горизонт | Глубина, см | рНH2O | Содержание частиц, % | |
<0.01 | <0.001 | |||||
ИЛ | 2020 | O(L) | 0–1 | 5.3 ± 0.1 | – | – |
O(F) | 1–4 | 4.5 ± 0.1 | – | – | ||
O(H) | 4–5 | 4.3 ± 0.1 | – | – | ||
EL1 | 5–20 | 5.0 ± 0.1 | 19 | 9 | ||
EL2 | 20–45 | 5.7 ± 0.1 | 28 | 9 | ||
BEL | 45–65 | 5.8 ± 0.1 | 20 | 8 | ||
Пасека | 2021 | O(L) | 0–1 | 5.4 ± 0.1 | – | – |
O(F) | 1–4 | 4.6 ± 0.1 | – | – | ||
O(H) | 4–5 | 4.2 ± 0.1 | – | – | ||
EL1 | 5–20 | 4.6 ± 0.1 | 8 | 3 | ||
EL2 | 20–45 | 5.0 ± 0.1 | 8 | 4 | ||
BEL | 45–65 | 5.5 ± 0.1 | 35 | 12 | ||
3П | O(L) | 0–2 | 5.1 ± 0.1 | – | – | |
O(F+H) | 2–5 | 4.4 ± 0.1 | – | – | ||
EL1 | 5–15 | 4.7 ± 0.1 | 13 | 5 | ||
EL2 | 15–25 | 5.4 ± 0.1 | 25 | 5 | ||
BEL | 25–35 | 5.7 ± 0.1 | 33 | 15 | ||
BT | 35–50 | 5.8 ± 0.1 | 44 | 27 | ||
10П | TURcwd | 0–15 | 4.7 ± 0.1 | 22 | 9 | |
EL | 15–20 | 5.3 ± 0.1 | 19 | 7 | ||
BEL | 20–30 | 5.7 ± 0.1 | 44 | 23 | ||
BT | 30–50 | 5.9 ± 0.1 | 46 | 28 | ||
10Р | TURcwd | 0–10 | 5.1 ± 0.1 | 27 | 5 | |
BEL | 10–20 | 5.5 ± 0.1 | 60 | 41 | ||
BT | 20–50 | 5.7 ± 0.1 | 58 | 40 | ||
Примечание. ИЛ – исходный лес, ±Δ – границы интервала абсолютной погрешности при P = 0.95. Прочерк – данные отсутствуют.
Основные отличия наблюдаются в почвах на волоках с десятью проходами колесной лесозаготовительной техники. Содержание углерода в турбированных горизонтах TUR cwd почв 10П и 10Р спустя год после рубки составляло от 0.32 до 2.2%, азота 0.031–0.112%, что обусловлено перемешиванием подстилок с верхними минеральными горизонтами. В почве 10П содержание Собщ в горизонте TURcwd возросло до 6.3 ± 0.6%. В нижних минеральных горизонтах значения практически не изменились. В почве участка с рекультивацией содержание углерода в верхнем минеральном горизонте составило 2.0 ± 0.3%. Увеличение содержания углерода выявлено и в нижних минеральных горизонтах (0.36–0.48%). Схожие закономерности установлены по содержанию азота в почвах волоков с десятью проходами колесной техники.
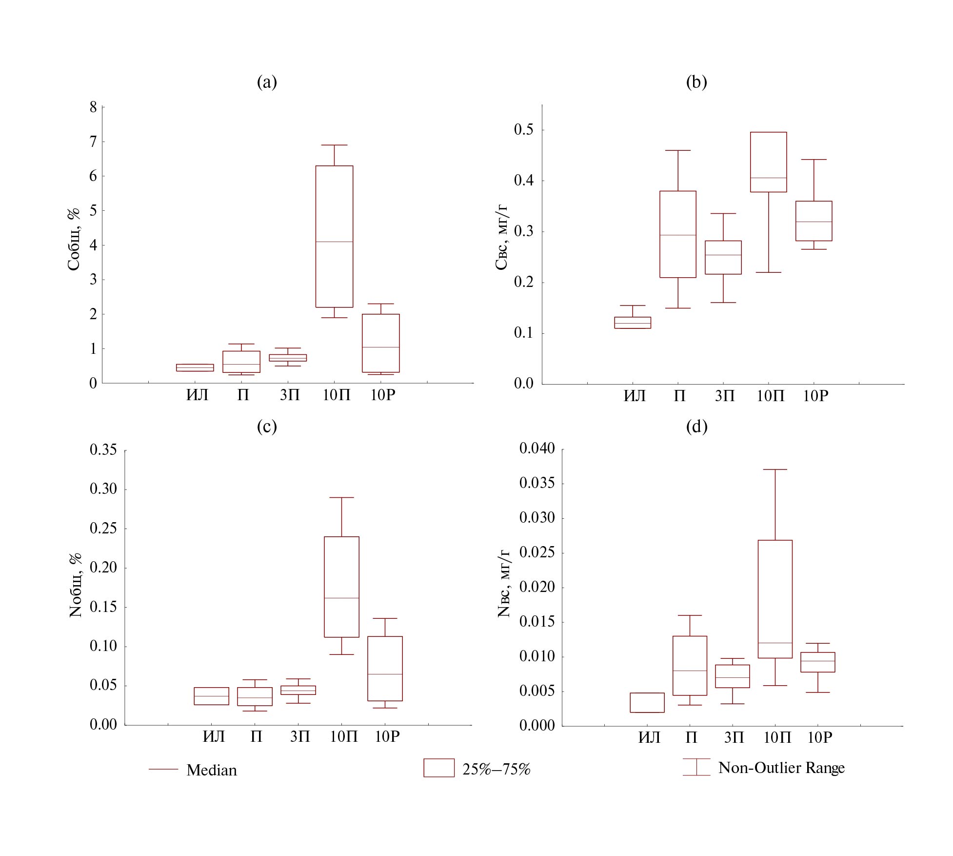
Наиболее наглядно изменение содержания углерода и азота можно представить при анализе медианных значений в верхнем минеральном горизонте EL (TURcwd) (рис. 3а, 3с), который претерпел наибольшие изменения после механического воздействия колесной техники (турбирование, перемешивание). Показатель медианы содержания углерода Собщ можно представить в ряду 0.45% (ИЛ) – 0.55% (П) – 0.72% (3П) – 1.05% (10Р) – 4.1% (10П). Медианы по содержанию азота имеют схожие закономерности: 0.037% (ИЛ) – 0.035% (П) – 0.044% (3П) – 0.065% (10Р) – 0.162% (10П).
Рис. 3. Содержание углерода Собщ (а) и Свс (b), азота Nобщ (с) и Nвс (d) в верхних минеральных горизонтах EL и TURcwd за 2021–2022 гг. ±Δ – границы интервала абсолютной погрешности при P = 0.95. Обозначения почв см. рис. 2
Выявлено значительное увеличение углерода в верхних турбированных горизонтах TURcwd на второй год после рубки в 3–6 раз по сравнению с 2021 г. и в 4–14 раз в сравнении с исходными значениями в верхнем минеральном горизонте EL до рубки. Содержание азота в верхнем минеральном горизонте почв волоков с десятью проходами в целом возрастало в 2–4 раза по сравнению с прошлым годом. Таким образом, можно предположить, что пул погребенного органического вещества может стать важным источником углерода, который, вероятно, будет долгое время сохраняться в почвах волоков. Как отмечено в работе [5], в механически нарушенных почвах участков лесосек накапливается большое количество углерода медленно разлагающегося органического вещества крупных древесных остатков, которое со временем обогащает биофильными элементами верхние и нижележащие горизонты почв.
Водорастворимые формы углерода и азота. Важной составляющей органического вещества является его водорастворимая фракция, которая формируется из фильтратов подстилки, корневых выделений и продуктов жизнедеятельности почвенных животных [32, 41, 50]. Содержание Свс в исследованных почвах в значительной степени повторяет распределение Собщ и имеет также регрессивно-аккумулятивное распределение по профилю почв, которое характеризуется значительным сокращением содержания углерода Свс в минеральных горизонтах по сравнению с подстилками. В литературе отмечают сильную взаимосвязь между содержанием водорастворимого углерода и почвенного органического углерода, не в краткосрочном моменте времени [73], а в долгосрочной перспективе [38].
Изменение водорастворимого углерода и азота в почве пасечного участка. Почва исходного участка до рубки характеризуется содержанием углерода Свс от 1.68 до 21.71 мг/г в подстилках и 0.02–0.15 мг/г минеральных горизонтах. Проведение исследований по оценке сезонной динамики ВОВ позволило выявить увеличение содержания Свс в подстилке в осенние месяцы (рис. 4). Максимальные концентрации Свс отмечены для подгоризонтов свежего опада O(L), они варьировали в течение мониторингового периода 8.84→14.46→21.71→10.73 мг/г, что, вероятно, связано с насыщением подстилки органическими соединениями, поступающими со свежей хвоей и листьями в течение вегетационного периода. Выявлена динамика увеличения содержания водорастворимого углерода со временем в средне- и хорошо разложившихся подгоризонтах подстилки. Особенно отчетливо это проявляется в гумусированном подгоризонте O(H). Содержание Свс увеличивалось от 1.68 в июле до 10.62 мг/г в октябре, что обусловлено гумификацией органического материала и пропиткой подгоризонта дождевыми водами в осенний период, насыщенными органическими веществами. Минеральные горизонты характеризуются значительно меньшим содержанием водорастворимых веществ. В верхнем элювиальном горизонте содержание водорастворимого углерода аналогично подстилочным горизонтам увеличивается в период с июля по сентябрь и уменьшается в октябре. Вероятно, это обусловлено началом сезона дождей и вымыванием из органогенных горизонтов органических соединений в верхние минеральные. В литературе отмечено, что концентрация ВОВ в почве контролируется несколькими факторами, в том числе климатическими условиями [36, 51]. Осадки могут привести к выделению в почвенный раствор более высоких концентрации ВОВ [46].
Рис. 4. Сезонная динамика Свс и Nвс в исследованных почвах исходного (2020 г.) и пасечного участка (2021–2022 гг.) в органогенных (a) и минеральных (b) горизонтах. ±Δ – границы интервала абсолютной погрешности при P = 0.95
В целом результаты сопоставимы с данными полученными ранее для схожей почвы ельника зеленомошного, развивающегося на суглинистых почвообразующих породах в условиях хорошо дренированных ландшафтов не территории Республики Коми [5, 34]. Анализ литературы показал, что полученные данные близки к среднемировым значениям концентрации Свс в почвенном профиле мощностью 0–30 см 0.077 мг/г (0.073–0.081) [26, 27, 58, 40].
Проведенный мониторинг в полевой период в 2021 г. позволил выявить изменения в содержании водорастворимых органических веществ в исследованных почвах уже в первый год после зимней рубки. Содержание углерода водорастворимых соединений Свс в подстилках почвы пасечного участка составляло от 3.3 до 9.1 мг/г, что ниже, чем до рубки. В минеральных горизонтах содержание Свс варьировало от 0.04 до 0.29 мг/г, что в целом выше, чем исходные значения до рубки. Распределение ВОВ по профилям почв осталось аналогичным фоновому – регрессивно-аккумулятивное. Установлена тенденция увеличения содержания углерода ВОВ в минеральных горизонтах к осенним месяцам. Максимальное содержание Свс выявлено в октябре – 0.29 мг/г в горизонте EL, что, вероятно, связано с началом осеннего периода, увеличением количества осадков и повышением миграционной способности органических веществ. Кроме этого, уже в первый год после рубки, наблюдается изменение содержания Свс в минеральных горизонтах. В июле и августе содержание углерода в верхнем элювиальном горизонте ниже, чем в горизонте BEL. До рубки этого не наблюдалось.
На второй год после рубки выявлено значительное возрастание содержания водорастворимого углерода, как в органогенном, так и в минеральных горизонтах почвы пасечного участка по сравнению с предыдущими периодами. Особенно это касается верхних минеральных горизонтов, в которых наблюдалась потечность органических веществ из подстилочных горизонтов, обусловленная вымыванием не связанных с минеральными веществами водорастворимых органических веществ, которые пропитывают верхние минеральные горизонты почв. Содержание углерода Свс в элювиальном горизонте варьирует в течение вегетационного сезона от 0.21 до 0.46 мг/г, что в среднем в три раза выше фоновых показателей. В нижележащем минеральном горизонте BEL содержание Свс превышало значения до рубки в четыре раза и составляло от 0.15 до 0.23 мг/г.
Содержание водорастворимого азота значительно меньше, чем углерода, но характеризуется теми же закономерностями (рис. 4). Для почвы фонового участка в 2020 г. содержание в подстилке варьировало от 0.07 до 0.37 мг/г. В 2021 г. содержание Nвс в органогенном горизонте почвы пасеки значительно возрастает от 0.32 до 0.46 мг/г. Спустя два года увеличение содержания водорастворимого азота продолжается и составляет 0.23–2.12 мг/г. Закономерности высокого содержания Nвс в почве пасечного участка после рубки выявлены и для минеральных горизонтов. В верхнем минеральном горизонте EL содержание водорастворимого азота в фоновой почве варьировало от 0.002 до 0.011 мг/г, для BEL характерно очень низкое содержание Nвс в течение сезона 0.002 ± 0.0004 мг/г.
Полученные результаты схожи с данными [60], в которых было обнаружено увеличение содержания азота в органогенных горизонтах в 1.4 раза после сплошных рубок. Такое увеличение авторы связывают с нарушением почвенного покрова, увеличением притока воды, накоплением в почве разлагающихся древесных остатков, либо с увеличением микробной активности [28]. Вероятно, показатель содержания Nвс в подстилках почв можно будет считать условным диагностическим признаком влияния рубок на почвенное органическое вещество.
Изменение водорастворимых форм углерода и азота в почвах волоков. В почве волока с тремя проходами (3П) сохранился, но был преобразован органогенный горизонт. Содержание Свс в нем в первый год после рубки составляло 2.8–8.3 мг/г, что сопоставимо с результатами исходной почвы до рубки и пасечного участка. Однако наблюдается уменьшение содержания Свс в подстилке во временном интервале с июля по сентябрь. Вероятно, даже при минимальном продавливании происходит изменение распределения органических веществ по профилю почв. Спустя два года после рубки выявлено увеличение содержания углерода Свс от 8.3 до 21.7 мг/г в подгоризонте O(L) и от 2.8 до 4.2 мг/г в подгоризонте O(F+H). Характер сезонной динамики водорастворимого углерода в органогенном горизонте показывает максимальное накопление в июле 2022 г., спустя два года после рубки (22.2 мг/г) (рис. 5). В остальные месяцы получены схожие результаты (4.7–11.8 мг/г), но наблюдается тенденция к увеличению содержания Свс в подстилках после рубки. Содержание Свс в верхнем минеральном горизонте (EL) почве 3П наоборот увеличивалось от июля к сентябрю (0.10→0.16→0.27 мг/г), хоть показатели близки к значениям фонового и пасечного участков. На второй год после рубки выявлено общее увеличение содержания углерода водорастворимых соединений в элювиальном горизонте почвы (0.22–0.34 мг/г) по сравнению с первым годом после рубки (рис. 5).
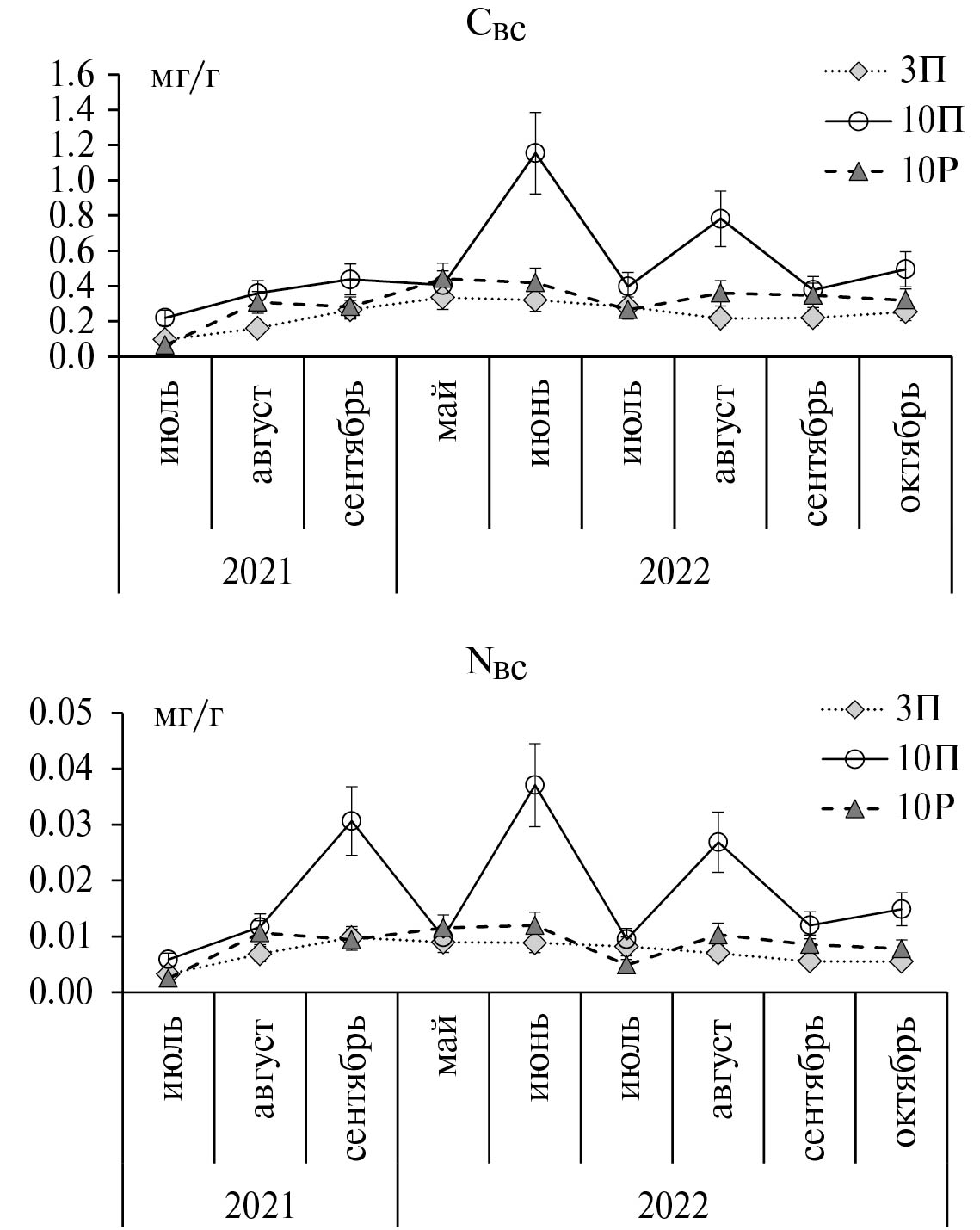
Рис. 5. Сезонная динамика Свс и Nвс в верхних минеральных горизонтах почв волоков (2021–2022 гг). ±Δ – границы интервала абсолютной погрешности при P = 0.95. Обозначения почв см. рис. 2
Содержание Nвс в почве 3П в первый год после рубки характеризуется увеличением в органогенном горизонте с течением времени с июля до сентября 0.248→0.312→0.371 мг/г, что выше показателей почвы ИЛ и близко к содержанию в почве пасечного участка. Особенно это выражено в осенние месяцы при увеличении влажности. На второй год содержание азота Nвс в органогенном горизонте 3П варьировало от 0.260 до 0.510 мг/г, что выше, чем на исходном участке и спустя год после рубки. В верхнем минеральном горизонте содержание азота водорастворимых соединений составляло в первый год после рубки от 0.003 мг/г в июле до 0.010 мг/г в сентябре 2021 г. Тенденция увеличения от летних месяцев к осенним сохраняется и для Nвс. Спустя два года после рубки содержание Nвс в элювиальном горизонте почвы 3П наоборот уменьшается от весенних к осенним месяцам с мая по октябрь от 0.009 до 0.005 мг/г. В целом содержание Nвс в минеральных горизонтах почвы ЗП спустя два года после рубки близко к показателям исходной почвы.
Показано значительное увеличение содержания углерода и азота водорастворимых веществ в верхних турбированных горизонтах почв волоков с десятью проходами (рис. 3 b, 3 d). Кроме этого, выявлено увеличение доли углерода Cвс от общего органического углерода в минеральных горизонтах почв волоков с десятью проходами 1–10% по сравнению с почвой волока с тремя проходами. Для почвы 10П в первый год после рубки Свс постепенно увеличивалось от 0.22 в июле до 0.44 мг/г в сентябре. Спустя два года содержание углерода водорастворимых соединений в турбированном горизонте TUR cwd значительно увеличилось и варьировало от 0.38 до 1.15 мг/г. Максимальные значения были установлены в июне 1.15 мг/г и августе 0.78 мг/г 2022 г. В почве 10Р содержание Свс в первый год после рубки составляло 0.13–0.31 мг/г. На второй год после рубки содержание варьировало от 0.27 до 0.44 мг/г, что в целом выше, чем в первый год после рубки, но схоже с результатами для почв других технологических элементов вырубки.
В турбированном горизонте почвы волока с десятью проходами 10П содержание азота водорастворимых соединений варьировало в первый год после рубки от 0.006 до 0.031 мг/г (рис. 5). Сохранилась тенденция к увеличению содержания Nвс от летних месяцев к осенним. В почве 10Р содержание азота составило в первый год 0.003–0.011 мг/г. На второй год после рубки выявлено неравномерное содержание азота Nвс в верхнем турбированном горизонте почвы 10П по месяцам, которое варьировало от 0.010 до 0.037 мг/г. Максимальные концентрации Nвс выявлены в июне и августе 2022 г. Для почвы с рекультивацией 10Р показатель Nвс на второй год после рубки носит более равномерный характер по месяцам исследованного года. Содержание углерода Cвс спустя два года после рубки составляет 0.005–0.012 мг/г, что близко к показателю года после рубки (0.003–0.011 мг/г), но ниже, чем в почве 10П ввиду полного отсутствия органогенного горизонта, который во многом определяет состав и свойства органических веществ [53].
В результате проведенных исследований установлено, что после сплошных рубок происходит резкое уменьшение количества растительного опада, что приводит к снижению содержания водорастворимых веществ, это было отмечено в первый год после рубки, несмотря на дополнительное поступление порубочных остатков. Некоторые авторы отмечают снижение экспорта ВОВ с участков вырубки [35]. Увеличение содержания водорастворимых органических веществ в подстилке и минеральных горизонтах вероятно обусловлено началом разложения древесных остатков и заселением вырубки травянистыми растениями, что наблюдали на второй год после рубки. Увеличение содержания водорастворимых форм углерода и азота в верхних минеральных горизонтах почв волоков с разной техногенной нагрузкой обусловлено их перемешиванием с подстилкой, поступлением дополнительного органического вещества с порубочными остатками. В литературе отмечено, что возрастание содержания ВОВ длится 2–10 лет [52, 55] с постепенным снижением содержания через несколько лет после проведения сплошных рубок, что некоторые авторы связывают со стабилизацией почвенного органического вещества [31, 52, 60].
Существует большое количество работ направленных на выявление взаимосвязей концентрации водорастворимых соединений углерода и азота зависимости от климатических зон и типа растительности [11, 29, 39]. Многочисленные исследования были проведены по изучению содержания ВОВ в зависимости от температуры и влажности [29]. Доступность растворенного органического вещества в почве также зависит от его взаимодействия с минеральными компонентами [63]. Важными являются гранулометрический состав (содержание физической глины и илистой фракции), водоудерживающая способность, пористость и скорость инфильтрации, которые влияют на сорбционную силу в почве [62]. Показатель содержания гидроксидов алюминия и железа, которые являются одними из наиболее важных адсорбентов ВОВ [44]. Интересным и важным является факт, что ВОВ является субстратом для почвенных микроорганизмов, а также влияет на характеристики углерода микробной биомассы и микробного дыхания [40, 70, 71]. Поэтому особенности водорастворимого органического вещества и его воздействие на микробиологические характеристики требуют дальнейшего изучения [72].
Лабильная водорастворимая фракция углерода чувствительна к нарушениям почв даже больше, чем общий пул ПОВ [61]. Некоторые авторы отмечают положительный опыт использования ВОВ в качестве индикатора изменений окружающей среды в водных и морских науках и предлагают использовать его изменения и тренды в почвоведении [45]. В работе [69] показано свойство ВОВ чутко реагировать на изменения в землепользовании и управлении, такими как преобразование лесов в сельскохозяйственные системы.
ЗАКЛЮЧЕНИЕ
В результате исследования влияния сплошной рубки на содержание углерода, азота и их водорастворимых форм установлено, что даже при минимальном воздействии колесной лесозаготовительнной техники происходит изменение распределения веществ в профиле почв. Выявлено значительное увеличение содержания Собщ и Nобщ в верхних турбированных горизонтах исследованных почв. Аналогично возрастает содержание водорастворимых форм углерода и азота, превышающих исходные значения на всех технологических участках вырубки, что обусловлено дополнительным поступлением и разложением порубочных остатков на поверхность.
Значительное увеличение содержания ВОВ в профиле почв после сплошной рубки леса позволяет сделать вывод о важности данного показателя в рамках изучения изменений почвенного органического вещества под влиянием различных антропогенных и естественных факторов. Содержание Свс и Nвс имеет ключевое значение, поскольку значительно отличается от исходных показателей. Продолжение научной работы в области изучения водорастворимых соединений углерода и азота и их изменений в результате естественных и антропогенных факторов является актуальным, а данная работа послужит основой для дальнейших исследований.
ФИНАНСИРОВАНИЕ РАБОТЫ
Исследование выполнено за счет гранта Российского научного фонда № 23-74-10007, https://rscf.ru/project/23-74-10007/.
КОНФЛИКТ ИНТЕРЕСОВ
Авторы заявляют, что у них нет конфликта интересов.
About the authors
V. V. Startsev
Institute of Biology of the Komi Science Centre of the Ural Branch of the Russian Academy of Sciences
Author for correspondence.
Email: vik.startsev@gmail.com
ORCID iD: 0000-0002-6425-6502
Russian Federation, Syktyvkar
D. A. Severgina
Institute of Biology of the Komi Science Centre of the Ural Branch of the Russian Academy of Sciences
Email: vik.startsev@gmail.com
ORCID iD: 0000-0002-3464-2744
Russian Federation, Syktyvkar
A. A. Dymov
Institute of Biology of the Komi Scientific Centre of the Ural Branch of the Russian Academy of Sciences; Lomonosov Moscow State University
Email: vik.startsev@gmail.com
Russian Federation, Syktyvkar; Moscow
References
- Атлас почв Республики Коми / Под ред. Добровольского Г.В. и др. Сыктывкар, 2010. 356 с.
- Атлас Республики Коми по климату и гидрологии / Под ред. Таскаева А.И. М.: Наука, 1997. 116 с.
- Горбов С.Н., Безуглова О.С., Скрипников П.Н., Тищенко С.А. Растворимое органическое вещество в почвах Ростовской агломерации // Почвоведение. 2022. № 7. С. 894–908. https:/ /doi.org/10.31857/ S 0032180 X 2207005 X
- Дымов А.А. Влияние сплошных рубок в бореальных лесах России на почвы (Обзор) // Почвоведение. 2017. № 7. С. 787–798. https://doi.org/10.7868/ S 0032180 X 17070024
- Дымов А.А. Почвы механически нарушенных участков лесосек средней тайги Республики Коми // Лесоведение. 2018. № 2. С. 130–142. https:/ /doi.org/10.7868/S0024114818020055.
- Дымов А.А. Сукцессии почв в бореальных лесах Республики Коми. М.: ГЕОС, 2020. 336 с. https://doi.org/10.34756/GEOS.2020.10.37828.
- Дымов А.А., Старцев В.В. Изменение температурного режима подзолистых почв в процессе естественного лесовозобновления после сплошнолесосечных рубок // Почвоведение. 2016. № 5. С. 599–608. https://doi.org/10.7868/ S 0032180 X 16050038
- Дымов А.А., Старцев В.В., Горбач Н.М., Севергин a Д.А., Кутявин И.Н., Осипов А.Ф., Дубровский Ю.А. Изменения почв и растительности при разном числе проездов колесной лесозаготовительной техники (средняя тайга, Республика Коми) // Почвоведение. 2022. № 11. С. 1426–1441. https://doi.org/10.31857/ S 0032180 X 22110028
- Ильинцев А.С., Наквасина Е.Н. Образование колейности при проходе лесозаготовительной техники в ельниках на двучленных породах // Известия Санкт-Петербургской лесотехнической академии. 2021. № 237. С. 168–182. https://doi.org/10.21266/2079-4304.2021.237.168-182
- Караванова Е.И. Водорастворимые органические вещества: фракционный состав и возможности их сорбции твердой фазой лесных почв (обзор литературы) // Почвоведение. 2013. № 8. С. 924–936. https://doi.org/10.7868/ S 0032180 X 13080042
- Караванова Е.И., Золовкина Д.Ф. Влияние состава подстилок на характеристики их водорастворимых органических веществ // Вестник Моск. ун-та. Сер. 17, Почвоведение. 2020. Т. 2. С. 67–73. https://doi.org/10.3103/S0147687420020052.
- Лукина Н.В., Полянская Л.М., Орлова М.А. Питательный режим почв северотаежных лесов. М.: Наука, 2008. 342 с.
- Луценко Т.Н., Аржанова В.С., Ким Н.Ю. Трансформация растворенного органического вещества почвы на вырубках пихтово-елового леса // Почвоведение. 2006. № 6. С. 674–680.
- Паутов Ю.А., Ильчуков С.В. Пространственная структура производных насаждений на сплошных концентрированных вырубках в Республике Коми // Лесоведение. 2001. № 2. С. 27–32.
- Росновский И.Н. Повреждение почвы при летних лесозаготовках в западной Сибири // Лесоведение. 2001. № 2. С. 22–26.
- Тебенькова Д.Н., Гичан, Д.В., Гагарин Ю.Н. Влияние лесоводственных мероприятии на почвенный углерод:обзор // Вопросы лесной науки. 2022. Т. 5. № 4. С. 21–58. https://doi.org/10.31509/2658-607x-202252-116.
- Титлянова А.А., Шибарева С.В., Самбуу А.Д. Травяные и лесные подстилки в горной лесостепи Тувы // Сиб. экол. журнап. 2004. № 3. С .425-432.
- Токарева И.В., Прокушкин А.С. Содержание органического вещества и его водорастворимой фракции в мохово-лишайниковых ассоциациях криолитозоны // Вестник Моск. гос. ун-та леса. Лесной вестник. 2012. № 1. С. 156–159.
- Толпешта И.И., Соколова Т.А. Общая концентрация и фракционный состав соединений алюминия в почвенных растворах из торфянисто-подзолисто-глееватых почв на двучленных отложениях // Почвоведение. 2011. № 2. С. 153–164.
- Умарова А.Б. Преимущественные потоки влаги в почвах: закономерности формирования и значение в функционировании почв. М.: ГЕОС, 2011. 266 с.
- Холодов В.А., Фарходов Ю.Р., Ярославцева Н.В., Данченко Н.H., Ильин Б.С., Лазарев В.И. Водоэкстрагируемый и микробный углерод черноземов разного вида использования // Бюл. Почв. ин-та им. В.В. Докучаева. 2022. Вып. 112. С. 122–133. https://doi.org/10.19047/0136-1694-2022-112-122-133.
- Холодов В.А., Ярославцева Н.В., Яшин М.А., Фарходов Ю.Р., Ильин Б.С., Лазарев В.И. Содержание органического углерода и азота в размерных фракциях агрегатов типичных черноземов // Почвоведение. 2021. № 3. С. 320–326. https://doi.org/10.31857/ S 0032180 X 21030072
- Шамрикова Е.В., Груздев И.В., Пунегов В.В., Хабибуллина Ф.М., Кубик О.С. Водорастворимые низкомолекулярные органические кислоты в автоморфных суглинистых почвах тундры и тайги // Почвоведение. 2013. № 6. С . 691–697. https://doi.org/10.7868/S0032180X13060099
- Achat D.L., Fortin M., Landmann G., Ringeval B., Augusto L. Forest soil carbon is threatened by intensive biomass harvesting // Scientific Reports. 2015. V. 5(1). P. 1–10.
- Bengtsson M.M., Attermeyer K., Catalán N. Interactive effects on organic matter processing from soils to the ocean: are priming effects relevant in aquatic ecosystems? // Hydrobiologia. 2018. V. 822. P. 1–17.
- Camino-Serrano M., Gielen B., Luyssaert S., Ciais P., Vicca S., Guenet B. et al. Linking variability in soil solution dissolved organic carbon to climate, soil type, and vegetationtype // Global Biogeochemical Cycles. 2014. V. 28(5). P. 497–509. https://doi.org/10.1002/2013g b004726.
- Camino-Serrano, M., Guenet B., Luyssaert S., Ciais P., Bastrikov V., De Vos B. et al. Orchidee-som: Modeling soil organic carbon (SOC) and dissolved organic carbon (DOC) dynamics along vertical soil profiles in Europe // Geoscientific Model Development. 2018. V. 11. 937–957.
- Chantigny M.H. Dissolved and water-extractable organic matter in soils: A review on the influence of land use and management practices // Geoderma. 2003. V. 113(3–4). P. 357–380.
- Christ M.J., David М. В. Temperature and moisture effects on the production of dissolved organic carbon in a spodosol // Soil Biol. Biochem. 1996. V. 28(9). P. 1191–1199.
- De Feudis M., Cardelli V., Massaccesi L., Hofmann D., Berns A.E., Bol R., Cocco S., Corti G., Agnelli A. Altitude affects the quality of the water-extractable organic matter (WEOM) from rhizosphere and bulk soil in European beech forests // Geoderma. 2017. V. 302. P. 6–13. https://doi.org/10.1016/j.geoderma.2017.04.015.
- Delprat L., Chassin P., Linères M., Jambert C. Characterization of dissolved organic carbon in cleared forest soils converted to maize cultivation // Eur. J. Agron. 1997. V. 7. P. 201–210.
- Don A., Kalbitz K. Amounts and degradability of dissolved organic carbon from foliar litter at different decomposition stages // Soil Biol. Biochem. 2005. V. 37(12). P. 2171–2179.
- Dymov A.A. Soils of Native Forest Ecosystems // Eurasian Soil Science. 2023. V. 56. Suppl. 1. P. S36–S45. https://doi.org/10.1134/S1064229323700199.
- Dymov A.A. Soils of Cuttings and Secondary Forests // Eurasian Soil Science. 2023. V. 56. Suppl. 1. P. S46–S83. https://doi.org/10.1134/S1064229323700205.
- Ellert B.H., Gregorich E.G. Management-induced changes in the actively cycling fractions of soil organic matter // Carbon Forms and Functions in Forest Soils / Eds. McFee W.W et al. Madison, 1995. P. 119–138.
- Filep T., Rékási M. Factors controlling dissolved organic carbon (DOC), dissolved organic nitrogen (DON) and DOC/DON ratio in arable soils based on a dataset from Hungary // Geoderma. 2011. V. 162. P. 312–318.
- Gmach M.R., Cherubin M.R., Kaiser K., Cerri C.E.P. Processes that influence dissolved organic matter in the soil: A review // Sci. Agric. 2020. V. 77(3). P. 1–10. https://doi.org/10.1590/1678-992X-2018-0164.
- Gregorich E.G., Liang B.C., Drury C.F., Mackenzie A.F., McGill W.B. Elucidation of the source and turnover of water soluble and microbial biomass carbon in agricultural soils // Soil Biol. Biochem. 2000. V. 32. P. 581–587.
- Guggenberger G., Zech W. Dissolved organic-carbon control in acid forest soils of the Fichtelgebirge (Germany) as revealed by distribution patterns and structural composition analyses // Geoderma. 1993. V. 59(1–4). P. 109–129. https://doi.org/10.1016/0016-7061(93)90065 -S
- Guo Z., Wang Y., Wan Z., et al. Soil dissolved organic carbon in terrestrial ecosystems: Global budget, spatial distribution and controls // Global Ecol Biogeogr. 2020. V. 29(12). P. 2159–2175. https://doi.org/10.1111/geb.13186.
- Hongve D. Production of dissolved organic carbon in forested catchments // J. Hydrology. 1999. V. 224(3–4). P. 91–99.
- Johnson D.W., Curtis P.S. Effects of forest management on soil C and N storage: metaanalysis // Forest Ecology and Management. 2001. V. 140(2–3). P. 227–238.
- Kaiser K., Kaupenjohann M., Zech W. Sorption of dissolvedorganic carbon in soils: effects of soil sample storage, soil-to-solution ratio, and temperature // Geoderma. 2001. V. 99. P. 317–28. https://doi.org/10.1016/S0016-7061(00)00077-X
- Kaiser K., Guggenberger G., Zech W. Sorption of DOM and DOM fractions to forest soils // Geoderma. 1996. V. 74. P. 281–303.
- Kaiser K., Kalbitz K. Cycling downwards: dissolved organic matter in soils // Soil Biol. Biochem. 2012. V. 52. P. 29–32. https://doi.org/10.1016/j.soilbio.2012.04.002
- Kalbitz K., Soliger S., Park J.-H., Michalzik B., Matzner E. Controls on the dynamics of dissolved organic matter in soils: a review // Soil Science. 2000. V. 165. P. 277–304. https://doi.org/10.1097/00010694-200004000-00001.
- Kling G.W. Land-water interactions: The influence of terrestrial diversity on aquatic ecosystems // Arctic and alpine biodiversity. Ecological Studies. 1995. V. 113. https://doi.org/10.1007/978-3-642-78966-3_21.
- Kuzyakov Y., Domanski G. Carbon input by plants into the soil // J. Plant Nutrition Soil Sci. 2000. V. 163. P. 421–431.
- Lal R. Forest soils and carbon sequestration // Forest Ecology and Management. 2005. V. 220. Р. 242–258.
- Marschner B., Bredow A. Temperature effects on release and ecologically relevant properties of dissolved organic carbon in sterilized and biologically active soil samples // Soil Biol. Biochem. 2002. V. 34(4). P. 459–466. https://doi.org/10.1016/s0038-0717(01)00203-6.
- McDowell W.H. Dissolved organic matter in soils: future directions and unanswered questions // Geoderma. 2003. V. 113. P. 179–186.
- Meyer J.L., Tate C.M. The effects of watershed disturbance on dissolved organic carbon dynamics of a stream // Ecology. 1983. V. 64. P. 33–44.
- Michalzik B., Tipping E., Mulder J., Gallardo-Lancho J.F., Matzner E., Bryant C.L., Clarke N., Lofts S., Vicente-Esteban M. Modelling the production and transport of dissolved organic carbon in forest soils // Biogeochemistry. 2003. V .66. P. 241–264.
- Moers M.E., Baas M., de Leeuw J. W., Boon J.J., Schenck P.A. Occurrence and origin of carbohydrates in peat samples from a red mangrove environment as reflected by abundances of neutral monosaccharides // Geochim. Cosmochim. Acta. 1990. V. 54. P. 2463–2472.
- Moore T.R. Dynamics of dissolved organic carbon in forested and disturbed catchments, Westland, New Zealand: 1. Maimai // Water Resour. Res. 1989. V. 25. P. 1321–1330.
- Neff J.C., Asner G.P. Dissolved organic carbon in terrestrial ecosystems: synthesis and a model // Ecosystems. 2001. V. 4. P. 29–48. https://doi.org/10.1007/s100210000058.
- Perminova I.V., Dubinenkov I.V., Kononikhin A.S., Konstantinov A.I., Zherebker A.Ya., Andzhushev M.M., Lebedev V.A. at al. Molecular Mapping of Sorbent Selectivities with Respect to Isolation of Arctic Dissolved Organic Matter as Measured by Fourier Transform Mass Spectrometry // Environ. Sci. Technol. 2014. V. 48(13). P. 7461-7468. https://doi.org/10.1021/es5015423
- Pesantez J., Mosquera G.M., CrespoP., Breuer L., Windhorst D. Effect of land cover and hydro-meteorological controls on soil water DOC concentrations in a high-elevation tropical environment // Hydrological Processes. 2018. V. 32. P. 2624–2635. https://doi.org/10.1002/hyp.13224.
- Puhlick J.J., Fernandez I.J., Weiskittel A.R. Evaluation of forest management effects on the mineral soil carbon pool of a lowland, mixed-species forest in Maine, USA // Can. J. Soil Sci. 2016. V. 96(2). P. 207–218.
- Qualls R.G., Haines B.L., Swank W.T., Tyler S.W. Soluble organic and inorganic nutrient fluxes in clearcut and mature deciduous forests // Soil Sci. Soc. Am. J. 2000. 64. 1068–1077. https://doi.org/10.2136/sssaj2000.6431068x.
- Roper M.M., Gupta V., Murphy D. Tillage practices altered labile soil organic carbon and microbial function without affecting crop yields // Austral. J. Soil Res. 2010. V. 48. P. 274–285.
- Saidy A.R., Smernik R.J., Baldock J.A., Kaiser K., Sanderman J. Microbial degradation of organic carbon sorbed to phyllosilicate clays with and without hydrous iron oxide coating // Eur. J. Soil Sci. 2015. V. 66. P. 83–94.
- Saidy A.R., Smernik R.J., Baldock J.A., Kaiser K., Sanderman, J. The sorption of organic carbon onto differing clay minerals in the presence and absence of hydrous iron oxide // Geoderma. 2013. V. 209–210. P. 15–21. https://doi.org/10.1016/j.geoderma.2013.05.026.
- Scharlemann J.P., Tanner E.V., Hiederer R., Kapos V. Global soil carbon: understanding and managing the largest terrestrial carbon pool // Carbon Managment. 2014. V. 5. P. 81–91. https://doi.org/10.4155/cmt.13.77.
- Shabani S. Modelling and mapping of soil damage caused by harvesting in Caspian forests (Iran) using CART and RF data mining techniques // J. Forest Sci. 2017. V. 63. P. 425–432.
- Silveira M.L.A. Dissolved organic carbon and bioavailability of N and P as indicators of soil quality // Scientia Agricola. 2005. V. 62. P. 502–508. https://doi.org/10.1590/S0103-90162005000500017.
- Solgi A., Naghdi R., Tsioras P.A., Nikooy M. Soil Compaction and Porosity Changes Caused During the Operation of Timberjack 450C Skidder in Northern Iran // Croatian J. Forest Engineering. 2015. V. 36(2). P. 217–225.
- Startsev V.V., Yakovleva E.V., Kutyavin I.N., Dymov A.A. Fire impact on the carbon pools and basic properties of Retisols in native spruce forests of European North and Central Siberia of Russia // Forests. 2022 V. 13. P. 1135. https://doi.org/10.3390/f13071135.
- Van Gaelen N., Verschoren V., Clymans W., Poesen J., Govers G., Vanderborght J., Diels J. Controls on dissolved organic carbon export through surface runoff from loamy agricultural soils. Geoderma. 2014. V. 226–227(1). P. 387–396. https://doi.org/10.1016/j.geoderma.2014.03.018.
- Xu X., Schimel J.P., Janssens I.A., Song X., Song C., Yu G. et al. Global pattern and controls of soil microbial metabolic quotient // Ecological Monographs. 2017. V. 87(3). P. 429–441. https://doi.org/10.1002/ecm.1258.
- Xu X., Thornton P. E., Post W.M. A global analysis of soil microbial biomass carbon, nitrogen and phosphorus in terrestrial ecosystems // Global Ecology and Biogeography. 2013. V. 22(6). P. 737–749. https://doi.org/10.1111/geb.12029.
- Xu X., Wang N., Lipson D.L., Sinsabaugh R.L., Schimel J.P., He L. et al. Microbial macroecology: in search of mechanisms governing microbial biogeographical patterns // Global Ecology and Biogeography. 2020. https://doi.org/10.1111/geb.13162.
- Zhou W.J., Sha L.Q., Schaefer D.A., Zhang Y.P., Song Q.H., Tan Z.H., Deng Y. et al. Direct effects of litter decomposition on soil dissolved organic carbon and nitrogen in a tropical rainforest // Soil Biol. Biochem. 2015. V. 81. P. 255–258.
Supplementary files







