Changes in the Microbiological and Physico-Chemical Properties of Soils after Fires in Pine and Birch Forests of Central Regions of the Zabaikal Krai
- Autores: Bogorodskaya A.V.1, Kukavskaya E.A.1, Kalenskaya O.P.2, Buryak L.V.1,2,3
-
Afiliações:
- Sukachev Institute of Forest FRC KSС SB RAS
- Reshetnev Siberian State University of Science and Technology
- The Branch of FBU VNIILM “Centre of Forest Pyrology”
- Edição: Nº 11 (2023)
- Páginas: 1418-1436
- Seção: SOIL BIOLOGY
- URL: https://journals.rcsi.science/0032-180X/article/view/232247
- DOI: https://doi.org/10.31857/S0032180X23600245
- EDN: https://elibrary.ru/YIJSXP
- ID: 232247
Citar
Texto integral
Resumo
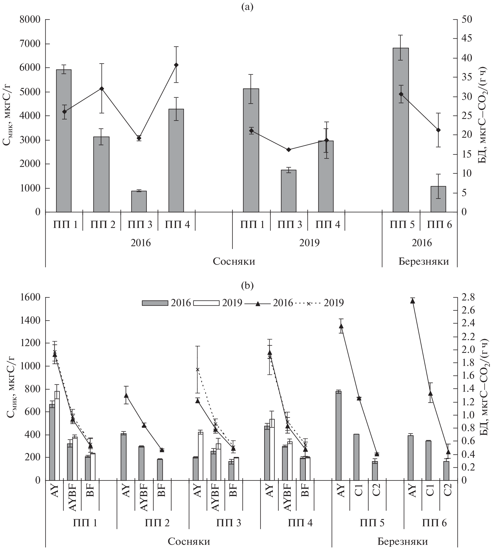
The microbiological and some physico-chemical properties of illuvial-ferruginous soddy-podburs (Entic Rustic Podzols) soils in Scots pine forests and gray-humic typical light loamy soils (Umbrisols) in secondary birch forests of the central regions of the Zabaikal krai have been studied. Fires in soddy-podburs pine forests resulted in decrease in the total exchangeable basis, total nitrogen, mobile forms of potassium and phosphorus, and in increase in the proportion of C : N; while in birch forests, on the contrary, an increase of the mentioned indicators and a narrowing of the C : N proportion in the gray-humic typical soils were observed. The content of humus in the upper soil horizon decreases only in recently burned Scots pine forests after a high-severity fire, while in other sites it increases. A decrease in the soil acidity was observed at all burned sites. High-severity fires lead to a significant decrease in the content of microbial biomass and the intensity of basal respiration, as well as to a change in the structure of ecological and trophic groups of microorganisms in the soils up to a depth of 10 cm of the mineral horizon, while low-severity fires mainly affect the duff. The qCO2 coefficient increased 2–5 times after fires in the duff and 1.5–2 times in the humus horizon only after high-severity fires. In recently burned Scots pine forests, the storage of microbial biomass and microbial production of carbon dioxide significantly decreased up to a depth of 10 cm of the mineral soil layer. In the steppe site formed after the impact of fires in the pine forest, and in the birch forest after a high-severity fire, in the humus horizon the carbon storage of microbial biomass decreased by 15–20%, and the microbial production of CO2 increased by 10–20%, predetermining the predominance of mineralization processes. The considered post-fire transformation of the structural and functional parameters of soil microbiocenosis, as well as a 20–40% decrease in the total carbon storage of microbial biomass in the soils of all sites demonstrate a long recovery period of soils after fires in light coniferous and deciduous forests of the central regions of the Zabaikal krai.
Palavras-chave
Sobre autores
A. Bogorodskaya
Sukachev Institute of Forest FRC KSС SB RAS
Autor responsável pela correspondência
Email: anbog@ksc.krasn.ru
Russia, 660036, Krasnoyarsk
E. Kukavskaya
Sukachev Institute of Forest FRC KSС SB RAS
Email: anbog@ksc.krasn.ru
Russia, 660036, Krasnoyarsk
O. Kalenskaya
Reshetnev Siberian State University of Science and Technology
Email: anbog@ksc.krasn.ru
Russia, 660049, Krasnoyarsk
L. Buryak
Sukachev Institute of Forest FRC KSС SB RAS; Reshetnev Siberian State University of Science and Technology; The Branch of FBU VNIILM “Centre of Forest Pyrology”
Email: anbog@ksc.krasn.ru
Russia, 660036, Krasnoyarsk; Russia, 660049, Krasnoyarsk; Russia, 660062, Krasnoyarsk
Bibliografia
- Ананьева Н.Д., Сусьян Е.А., Гавриленко Е.Г. Особенности определения углерода микробной биомассы почвы методом субстрат-индуцированного дыхания // Почвоведение. 2011. № 11. С. 1327–1333.
- Ананьева Н.Д., Сусьян Е.А., Рыжова И.М., Бочарникова Е.О., Стольникова Е.В. Углерод микробной биомассы и микробное продуцирование двуокиси углерода дерново-подзолистыми почвами постагрогенных биогеоценозов и коренных ельников южной тайги (Костромская область) // Почвоведение. 2009. № 9. С. 1108–1116.
- Анучин Н.П. Лесная таксация. М.: Лесная промышленность, 1982. 552 с.
- Аринушкина Е.В. Руководство по химическому анализу почв. М.: Изд-во МГУ, 1970. 489 с.
- Безкоровайная И.Н., Иванова Г.А., Тарасов П.А., Сорокин Н.Д., Богородская А.В., Иванов В.А., Конард С.Г., Макрае Д.Дж. Пирогенная трансформация почв сосняков средней тайги Красноярского края // Cибирский экологический журн. 2005. № 1. С. 143–152.
- Богородская А.В., Кукавская Е.А. Состояние микробных сообществ в почвах лиственных и светлохвойных лесов Средней Сибири после рубок и пожаров // Лесоведение. 2016. № 5. С. 383–396.
- Богородская А.В., Пономарева Т.В., Ефимов Д.Ю., Шишикин А.С. Трансформация эколого-функциональных параметров микробоценозов почв на просеках линий электропередач в условиях Средней Сибири // Почвоведение. 2017. № 6. С. 731–743.
- Богородская А.В. Структурно-функциональные параметры микробоценозов почв после пожаров в светлохвойных насаждениях // Воздействие пожаров на светлохвойные леса Нижнего Приангарья. Новосибирск: Наука, 2022. С. 147–167.
- Буряк Л.В., Кукавская Е.А, Каленская О.П., Малых О.Ф., Бакшеева Е.О. Последствия лесных пожаров в южных и центральных районах Забайкальского края // Сибирский лесной журн. 2016. № 6. С. 94–102. https://doi.org/10.15372/SJFS20160609
- Буянтуева Л.Б., Никитина Е.П. Микробиологические исследования каштановых почв юго-западного Забайкалья // Самарский научный вестник 2015. № 2. С 38–40.
- Воробьева Л.А. Химический анализ почв. М.: Изд-во Моск. ун-та, 1998. 272 с.
- Габбасова И.М., Гарипов Т.Т., Сулейманов Р.Р., Комиссаров М.А., Хабиров И.К., Сидорова Л.В., Назырова Ф.И., Простякова З.Г., Котлугалямова Э.Ю. Влияние низовых пожаров на свойства и эрозию лесных почв Южного Урала (Башкирский государственный природный заповедник) // Почвоведение. 2019. № 4. С. 412–421.
- Гениатулин Р.Ф. Энциклопедия Забайкалья. Т. 1. Читинская область. Новосибирск: Наука, 2000. 102 с.
- Герасимов И.П. Предбайкалье и Забайкалье. М.: Наука, 1965. 492 с.
- Горбунова Ю.С., Девятова Т.А., Григорьевская А.Я. Влияние пожаров на почвенный и растительный покров лесов центра русской равнины // Вестник Воронежского гос. ун-та. Сер. Химия, биология, фармация. 2014. № 4. С.52–56.
- Гродницкая И.Д., Карпенко Л.В., Пашкеева О.Э., Гончарова Н.Н., Старцев В.В., Батурина О.А., Дымов А.А. Влияние лесных пожаров на микробиологические свойства торфяных олиготрофных почв и торфяно-подзолов глеевых в болотах северной части Сым-Дубчесского междуречья (Красноярский край) // Почвоведение. 2022. № 4. С. 454–468.
- Гынинова А.Б., Дыржинов Ж.Д., Гончиков Б.-М.Н. Особенности трансформации почв под влиянием пожаров в сосновых лесах Прибайкалья // Вестник Бурятского гос. ун-та. 2018. № 1. С. 44–53. https://doi.org/10.18101/2587-7143-2018-1-44-53
- Дымов А.А., Дубровский Ю.А., Габов Д.Н. Пирогенные изменения подзолов иллювиально-железистых (средняя тайга, Республика Коми) // Почвоведение. 2014. № 2. С. 144–154.
- Евдокименко М.Д. Пирогенные нарушения лесорастительной среды в сосняках Забайкалья и их лесоводственные последствия // Лесоведение. 2014. № 1. С. 3–12.
- Казеев К.Ш., Одабашян М.Ю., Трушков А.В., Колесников С.И. Оценка влияния разных факторов пирогенного воздействия на биологические свойства чернозема // Почвоведение. 2020. № 11. С. 1372–1382.
- Классификация и диагностика почв России. Смоленск: Ойкумена, 2004. 342 с.
- Краснощеков Ю.Н., Чередникова Ю.С. Постпирогенная изменчивость лесных почв в горном Прибайкалье. Новосибирск: СО РАН, 2022. 164 с.
- Курбатский Н.П. Исследование количества и свойств лесных горючих материалов. Вопросы лесной пирологии. Красноярск, 1970. С. 5–58.
- Макарова А.П., Напрасникова Е.В. Микробиологическая и биохимическая характеристика мерзлотных глеевых почв Северного Забайкалья // Известия Иркутского гос. ун-та. Сер.Биология. Экология. 2011. № 1. С. 25–32.
- Максимова Е.Ю., Кудинова А.Г., Абакумов Е.В. Функциональная активность почвенных микробных сообществ постпирогенных островных сосновых лесов г. Тольятти Самарской области // Почвоведение. 2017. № 2. С. 249–255.
- Маслов М.Н., Маслова О.А., Поздняков Л.А., Копеина Е.И. Биологическая активность почв горнотундровых экосистем при постпирогенном восстановлении // Почвоведение. 2018. № 6. С. 728–737.
- Масягина О.В., Евграфова С.Ю., Титов С.В., Прокушкин А.С. Динамика дыхания почвы на разных стадиях послепожарной восстановительной сукцессии на примере разновозрастных гарей Эвенкии // Экология. 2015. № 1. С. 23–32.
- Мишустин Е.Н., Емцев В.Т. Микробиология. М.: Агропромиздат, 1987. 368 с.
- Практикум по микробиологии / Под ред. Нетрусова А.И. М.: Academia, 2005. 603 с.
- Ставрова Н.И., Калимова И.Б., Горшков В.В., Дроздова И.В., Алексеева-Попова Н.В., Баккал И.Ю. Долговременные послепожарные изменения характеристик почв в темнохвойных лесах Европейского Севера // Почвоведение. 2019. № 2. С. 246–256.
- Старцев В.В., Дымов А.А., Прокушкин А.С. Почвы постпирогенных лиственничников Средней Сибири: морфология, физико-химические свойства и особенности почвенного органического вещества // Почвоведение. 2017. № 8. С. 912–925.
- Стольникова Е.В., Ананьева Н.Д., Чернова О.В. Микробная биомасса, ее активность и структура в почвах старовозрастных лесов Европейской территории России // Почвоведение. 2011. № 4. С. 479–494.
- Сукачев В.Н., Зонн С.В. Методические указания по изучению типов леса. М.: Изд-во АН СССР, 1961. 144 с.
- Сусьян Е.А., Ананьева Н.Д., Гавриленко Е.Г., Чернова О.В., Бобровский М.В. Углерод микробной биомассы в профиле лесных почв южной тайги // Почвоведение. 2009. № 10. С. 1233–1240.
- Цибарт А. С., Геннадиев А. Н. Влияние пожаров на свойства лесных почв Приамурья (Норский заповедник) // Почвоведение. 2008. № 7. С. 783–792.
- Чернов Т.И., Семенов М.В. Управление почвенными микробными сообществами: возможности и перспективы (обзор) // Почвоведение. 2021. № 12. С. 1506–1522.
- Шахматова Е.Ю. Изменение свойств подстилки и почв на гарях в сосновых лесах Западного Забайкалья // Наука и образование. 2017. № 3. С. 101–106.
- Anderson J.P.E., Domsch K.H. A physiological method for the quantitative measurement of microbial biomass in soils // Soil Biol. Biochem. 1978. V. 10. P. 314–322. https://doi.org/10.1016/0038-0717(78)90099-8
- Anderson T.-H., Domsch K.H. Application of eco-physiological quotients (qCO2 and qD) on microbial biomasses from soils of different cropping histories // Soil Biol. Biochem. 1990. V. 22. P. 251–255.https://doi.org/10.1016/0038-0717(90)90094-G
- Barrett K., Baxter R., Kukavskaya E., Balzter H., Shvetsov E., Buryak L. Postfire recruitment failure in Scots pine forests of southern Siberia // Remote Sensing of Environment. 2020. V. 237. https://doi.org/10.1016/j.rse.2019.111539
- Certini G. Fire as a soil-forming factor. 2014. Ambio 43. P. 191–195. https://doi.org/10.1007/s13280-013-0418-2
- Certini G., Moya D., Lucas-Borja M.E., Mastrolonardo G. The impact of fire on soil-dwelling biota: A review // Forest Ecology and Management. 2021. V. 488. P. 118989. https://doi.org/10.1016/j.foreco.2021.118989
- Cutler N.A., Arróniz-Crespo M., Street L.E., Jones D.L., L. Chaput D.L., DeLuca T.H. Long-term recovery of microbial communities in the boreal bryosphere following fire disturbance // Microb. Ecol. 2017. V. 73. P. 75–90. https://doi.org/10.1007/s00248-016-0832-7
- Dicen G.P., Rallos R.V., Labides J.L.R., Navarrete I.A. Vulnerability of soil organic matter to microbial decomposition as a consequence of burning // Biogeochemistry. 2020. V. 150. P. 123–137. https://doi.org/10.1007/s10533-020-00688-1
- Dooley S.R., Treseder K.K. The effect of fire on microbial biomass: a meta-analysis of field studies // Biogeochemistry. 2012. V. 109. P. 49–61. https://doi.org/10.1007/s10533-011-9633-8
- Fritze H., Pennanen T., Pietikainen J. Recovery of soil microbial biomass and activity from prescribed burning // Can. J. Forest Research. 1993. V. 23. P. 1286–1290. https://doi.org/10.1139/x93-164
- Insam H., Haselwandter K. Metabolic quotient of the soil microflora in relation to plant succession // Oecologia. 1989. V. 79. P. 174–178. https://doi.org/10.1007/bf00388474
- IUSS Working Group WRB, 2015. World Reference Base for Soil Resources 2014, update 2015. Int. soil Classif. Syst. naming soils creating legends soil maps.
- Kukavskaya E.A., Buryak L.V., Shvetsov E.G., Conard S.G., Kalenskaya O.P. The impact of increasing fire frequency on forest transformations in southern Siberia // Forest Ecology Management. 2016. V. 382. P. 225–235. https://doi.org/10.1016/j.foreco.2016.10.015
- Ludwig S.M., Alexander H.D., Kielland K., Mann P. J., Natali S.M., Ruess R.W. Fire severity effects on soil carbon and nutrients and microbial processes in a Siberian larch forest // Global Change Biology. 2018. V. 24. P. 5841–5852. https://doi.org/10.1111/gcb.14455
- Mataix-Solera J., Guerrero C., García-Orenes F., Bárcenas G.M., Torres M. P. Forest fire effects on soil microbiology // Fire Effects on Soils and Restoration Strategies. Enfield: Cerdà Science Publishers, 2009. P. 133–175.https://doi.org/10.1201/9781439843338n
- Pingree M.R.A., Kobziar L.N., 2019. The myth of the biological threshold: A review of biological responses to soil heating associated with wildland fire // Forest Ecology and Management. V. 432. P. 1022–1029. https://doi.org/10.1016/j.foreco.2018.10.032
- Prendergast-Miller M.T., DeMenezes A.B., Macdonald L.M., Toscas P., Bissett A., Baker G., Farrell M., Richardson A.E., Wark T., Thrall P.H. Wildfire impact: Natural experiment reveals differential short-term changes in soil microbial communities // Soil Biol. Biochem. 2017. V. 109. P. 1–13. https://doi.org/10.1016/j.soilbio.2017.01.027
- Pressler Y., Moore J.C., Cotrufo M.F. Belowground community responses to fire: meta-analysis reveals contrasting responses of soil microorganisms and mesofauna // Oikos. 2019. V. 128. P. 309–327. https://doi.org/10.1111/oik.05738
- Sharma U., Garima, Sharma J.C., Devi M. Effect of forest fire on soil nitrogen mineralization and microbial biomass: A review // J. Pharmacognosy Phytochemistry. 2017. V. 6. P. 682–685.
- Yeager C.M., Northup D.E., Grow C.C., Barns S.M., Kuske C.R. Changes in nitrogen-fixing and ammonia-oxidizing bacterial communities in soil of a mixed conifer forest after wildfire // Appl. Environ. Microbiol. 2005. V. 71. P. 2713–2722. https://doi.org/10.1128/AEM.71.5.2713-2722.2005
Arquivos suplementares








