Changeability of Content and Storage of Soil Organic Matter: an Analytical Review
- Authors: Khitrov N.B.1, Nikitin D.A.1, Ivanova E.A.1, Semenov M.V.1
-
Affiliations:
- Dokuchaev Soil Science Institute
- Issue: No 12 (2023)
- Pages: 1493-1521
- Section: ГЕНЕЗИС И ГЕОГРАФИЯ ПОЧВ
- URL: https://journals.rcsi.science/0032-180X/article/view/232237
- DOI: https://doi.org/10.31857/S0032180X23600841
- EDN: https://elibrary.ru/DQYRHW
- ID: 232237
Cite item
Full Text
Abstract
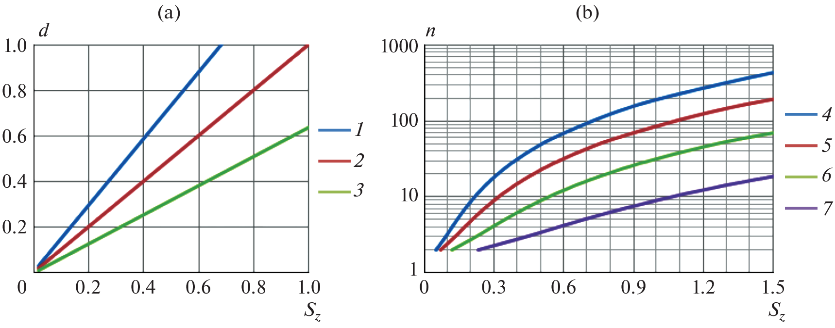
An aim of analytical review is to systematize information about quantitative characteristics of changeability in the content and storage of organic carbon (Corg) in soils. The review considers evaluations of validity and reproducibility of Corg determination, spatial variability and heterogeneity of Corg at different hierarchic levels of soil cover pattern and change them in time. The most powerful factor of Corg changeability in soils is spatial variability. Ascending trend of absolute standard deviation and coefficient of variation for Corg content and storage in soil with the increase in the logarithm of site area has been revealed. However, the values of the indicators of spatial variation of Corg have a wide spread in each narrow range of variation of the plot area, which leads to high uncertainty of the estimates as the area coverage increases. Direct dry combustion method is considered preferable among used methods for determination of Corg content. It allows obtaining valid (i.e. with the least systematic deviations) and well reproducible data. Indirect Turin’s and Walkley-Black’s methods systematically underestimate the Corg content and have reproducibility comparable with amplitude of seasonal dynamics and with minimal values of spatial variability indices within elementary soil area. Obtaining estimates of long-term trend of Corg content strict adherence to stringent monitoring conditions over time intervals of more than 15 years. Spatial variation of Corg storage is stronger than Corg content, which further increases the monitoring requirements.
About the authors
N. B. Khitrov
Dokuchaev Soil Science Institute
Author for correspondence.
Email: khitrovnb@gmail.com
Russia, 119017, Moscow
D. A. Nikitin
Dokuchaev Soil Science Institute
Email: khitrovnb@gmail.com
Russia, 119017, Moscow
E. A. Ivanova
Dokuchaev Soil Science Institute
Email: khitrovnb@gmail.com
Russia, 119017, Moscow
M. V. Semenov
Dokuchaev Soil Science Institute
Email: khitrovnb@gmail.com
Russia, 119017, Moscow
References
- Аналитическое обеспечение мониторинга гумусового состояния почв: Методические рекомендации М.: Россельхозакадемия, Почв. ин-т им. В.В. Докучаева, 1993. 73 с.
- Афанасьев Р.А. Агрохимическое обеспечение точного земледелия // Проблемы агрохимии и экологии. 2008. № 3. С. 46–53.
- Афанасьев Р.А. Методика полевых опытов по дифференцированному применению удобрений в условиях точного земледелия // Проблемы агрохимии и экологии. 2010. № 1. С. 38–44.
- Вэй Ж.Б., Дзяо Д.Н., Чжанг Д.Й., Ли Д.Ю. Влияние рельефа и типа земель на пространственное распределение углерода органических веществ в почвах (на примере типичного локального водосборного бассейна в зоне черных почв северо-востока Китая) // Почвоведение. 2008. № 1. С. 44–53.
- Витковская С.Е. Пространственная изменчивость параметров плодородия дерново-подзолистой почвы в полевых опытах // Агрофизика. 2011. № 2. С. 19–25.
- Владыченский А.С., Рыжова И.М., Телеснина В.М., Галиахметов Р.Т. Пространственно-временная динамика содержания органического углерода в дерново-подзолистых почвах постагрогенных БГЦ // Вестник Моск. ун-та. Сер. 17, Почвоведение. 2009. № 2. С. 3–9.
- Внутрилабораторный контроль воспроизводимости результатов анализа почвенно-агрохимических объектов. Методические рекомендации. М.: Почв. ин-т им. В.В. Докучаева, 1984. 23 с.
- Волобуев В.Р. Почвы и климат. Баку: Изд-во АН Азербайджанской ССР, 1953. 320 с.
- Герцык В.В. Сезонная динамика гумуса в мощных черноземах // Тр. Центрально-черноземного заповедника им. В.В. Алехина. Курск, 1959. Вып. 5. С. 32–38.
- Гиниятуллин К.Г., Шинкарев А.А., Фазылова А.Г., Кузьмина К.И., Шинкарев А.А. (мл.) Пространственная неоднородность вторичной аккумуляции гумуса в старопахотных горизонтах залежных светло-серых лесных почв // Ученые записки Казанского ун-та. Естественные науки. 2012. Т. 154. Кн. 4. С. 61–70.
- Гиниятуллин К.Г., Мухаметгалиева Г.Я., Латыпова А.И. Применение различных подходов к реперзентативному пробоотбору при изучении гумусонакопления в залежных почвах // Ученые записки Казанского ун-та. Естественные науки. 2013. Т. 155. Кн. 3. С. 208–220.
- Гиниятуллин К.Г., Рязанов С.С., Смирнова Е.В., Латыпова Л.И., Рыжих Л.Ю. Использование геостатистических методов для оценки запасов органического вещества в залежных почвах // Ученые записки Казанского ун-та. Естественные науки. 2019. Т. 161. Кн. 2. С. 275–292.
- Глазунов Г.П., Афонченко Н.В., Апухтин А.В. Анализ пространственного варьирования показателей плодородия черноземных почв в склоновых агроландшафтах // Вестник Курской гос. с.-х. академии. 2019. С. 23–31.
- Глинка К.Д. Почвоведение. М.: Новая Деревня, 1927. 580 с.
- ГОСТ 16263-70. Государственная система обеспечения единства измерений. Метрология. Термины и определения.
- ГОСТ 26213-2021. Почвы. Методы определения органического вещества.
- Готра О.Н. Структура пространственной неоднородности содержания гумуса в пахотном слое дерново-подзолистой почвы в пределах одного поля. Дис. … канд. биол. наук. М., 2004. 126 с.
- Дворкин В.И. Метрология и обеспечение качества количественного химического анализа. М.: Химия, 2001. 263 с.
- Дегтярева Е.Т. Результаты многолетнего полевого опыта по мелиорации солонцов в Городищенском районе Волгоградской области 1975–1999 гг. Фондовые материалы отдела генезиса и мелиорации засоленных и солонцовых почв ФИЦ “Почв. ин-т им. В.В. Докучаева”.
- Дмитриев Е.А. Математическая статистика в почвоведении. М.: Изд-во Моск. ун-та, 1995. 320 с.
- Докучаев В.В. Русский чернозем. СПб.: Русская коллекция, 2008. 480 с.
- Докучаев П.М. Построение цифровой почвенной карты и картограммы углерода с использованием методов цифрового почвенного картографирования (на примере Вятско-Камской провинции дерново-подзолистых почв южной тайги). Дис. … канд. биол. наук. М., 2017.
- Доспехов Б.А., Мазурина В.А. Варьирование агрохимических свойств дерново-подзолистой почвы и методика отбора почвенных проб в полевом опыте // Агрохимия. 1970. № 1. С. 86–94.
- Каюгина С.М., Ерёмина Д.В. Пространственная вариабельность гумусового состояния собственно-серых лесных почв Северного Зауралья // Известия Оренбургского гос. аграрного ун-та. 2022. № 3. С. 21–26. https://doi.org/10.37670/2073-0853-2022-95-3-21-26
- Классификация и диагностика почв России. Смоленск: Ойкумена, 2004. 342 с.
- Классификация и диагностика почв СССР. М.: Колос, 1977. 223 с.
- Когут Б.М. Трансформация гумусового состояния черноземов при их сельскохозяйственном использовании. Дис. … докт. с.-х. наук. М.: Почв. ин-т им. В.В. Докучаева, 1996. 353 с.
- Когут Б.М., Краснова Н.М., Большаков В.А., Бродский Е.C., Кулешов В.И., Фрид А.C. Аналитическое обеспечение мониторинга содержания углерода в почвах // Почвоведение. 1992. № 12. С. 138–143.
- Когут Б.М., Милановский Е.Ю., Хаматнуров Ш.А. О методах определения содержания органического углерода в почвах (критический обзор) // Бюл. Почв. ин- им. В.В. Докучаева. 2023. Вып. 114. С. 5–28. https://doi.org/10.19047/0136-1694-2023-114-5-28
- Когут Б.М., Фрид А.С. Сравнительная оценка методов определения содержания гумуса в почвах // Почвоведение. 1993. № 9. С. 119–123.
- Козлов М.В. Планирование экологических исследований: теория и практические рекомендации. М.: Товарищество научных изданий КМК, 2014. 171 с.
- Кондрашкина М.И. Пространственная изменчивость содержания песчаной фракции и гумуса в пределах единичного сельскохозяйственного угодья // Природная и антропогенная неоднородность почв и статистические методы ее изучения. Сб. науч. статей. М.: Издательско-торговая корпорация “Дашков и К°”, 2022. С. 84–88.
- Красильников П.В., Сидорова В.А. Геостатистический анализ пространственной структуры кислотности и содержания органического углерода зональных почв Русской равнины // Геостатистика и география почв. М.: Наука, 2007. С. 67–80.
- Кузякова И.Ф., Кузяков Я.В. Влияние микрорельефа на пространственное варьирование содержания гумуса в дерново-подзолистой почве длительного полевого опыта // Почвоведение. 1997. № 7. С. 824–831.
- Куприченков М.Т. Сезонная динамика химических и агрохимических свойств био- и агрочернозема // Достижения науки и техники АПК. 2013. № 7. С. 67–68.
- Липатов Д.Н., Щеглов А.И., Манахов Д.В., Завгородняя Ю.А., Брехов П.Т. Пространственное варьирование содержания бенз(а)пирена и свойств агрозема вблизи Южно-Сахалинской ТЭЦ // Почвоведение. 2015. № 5. С. 633–640. https://doi.org/10.7868/S0032180X15030089
- Липатов Д.Н., Лыжин В.А., Вежливцева Л.А. Пространственное распределение и многолетняя динамика содержания гумуса в агроландшафтах Тульской области // Вестник Моск. ун-та. Сер. 17, почвоведение. 2005. № 3. С. 35–41.
- Литвинович А.В., Павлова О.Ю., Лаврищев А.В., Плылова И.А. Пространственная неоднородность содержания стабильного стронция в целинной и пахотной дерново-подзолистых почвах и роль гумусовых веществ в его закреплении // Агрохимия. 2012. № 4. С. 77–83.
- Медведев В.В., Мельник А.И. Неоднородность агрохимических показателей почвы в пространстве и во времени // Агрохимия. 2010. № 1. С. 20–26.
- Метрологическое обеспечение аналитических работ в почвоведении. Методические рекомендации М.: Почв. ин-т им. В.В. Докучаева, 1988. 112 с.
- Мешалкина Ю.Л., Васенев И. И., Кузякова И.Ф., Романенков В.А. Геостатистика в почвоведении и экологии. Интерактивный курс для подготовки магистров по направлению “Агрохимия и агропочвоведение” профилю “Агроэкология” программе “Агроэкологический менеджмент и инжиниринг”. М., 2010. 95 с.
- Никитин Д.А., Семенов М.В., Чернов Т.И., Ксенофонтова Н.А., Железова А.Д., Иванова Е.А., Хитров Н.Б., Степанов А.Л. Микробиологические индикаторы экологических функций почв (обзор) // Почвоведение. 2022. № 2. С. 1–16. https://doi.org/10.31857/S0032180X22020095
- Орешкина Н.С. Статистические оценки пространственной изменчивости свойств почв. М.: Изд-во Моск. ун-та, 1988. 112 с.
- Орлов Д.С., Бирюкова О.Н., Суханова Н.И. Органическое вещество почв Российской Федерации. М.: Наука, 1996. 256 с.
- Орлов Д.С. Химия почв. М.: Изд-во Моск. ун-та, 1992. 400 с.
- Полевой определитель почв России. М.: Почв. ин-т им. В.В. Докучаева, 2008. 182 с.
- Пономарева В.В., Плотникова Т.А. Некоторые данные о степени внутримолекулярной окисленности гумуса разных типов почв (к вопросу о переводном коэффициенте с углерода на гумус) // Почвоведение. 1967. № 7. С. 85–95.
- Почвы Молдавии. Т. 1. Генезис, экология, классификация и систематическое описание почв. Кишинев: Штиинца, 1984. 351 с.
- Рыжова И.М., Подвезенная М.А. Пространственная вариабельность запасов органического углерода в почвах лесных и степных биогеоценозов // Почвоведение. 2008. № 12. С. 1429–1437.
- Савкова Е.Н. Систематизация подходов к причинно-следственному моделированию неопределенности при отборе проб и пробоподготовке // Стандартизация. 2019. № 1. С. 33–44.
- Самсонова В.П. Пространственная изменчивость почвенных свойств: на примере дерново-подзолистых почв. М.: Изд-во ЛКИ, 2008. 160 с.
- Самсонова В.П., Благовещенский Ю.Н., Мешалкина Ю.Л. Использование эмпирического байесовского кригинга для выявления неоднородностей распределения органического углерода на сельхозугодьях // Почвоведение. 2017. № 3. С. 321–328. https://doi.org/10.7868/S0032180X17030108
- Самсонова В.П., Тимофеева М.И. Динамика пространственной вариабельности содержания органического вещества в дерново-подзолистой пахотной почве // Вестник Моск. ун-та. Сер. 17, почвоведение. 1987. № 1. С. 18–23.
- Самсонова В.П., Мешалкина Ю.Л., Дмитриев Е.А. Структуры пространственной вариабельности агрохимических свойств пахотной дерново-подзолистой почвы // Почвоведение. 1999. № 11. С. 1359–1366.
- Сахабиев И.А. Оценка изменения пространственной структуры почвенных показателей территории многолетнего сортоиспытания (на примере Заинского государственного сортоиспытательного участка) // Природная и антропогенная неоднородность почв и статистические методы ее изучения. Сб. науч. статей. М.: Издательско-торговая корпорация “Дашков и К°”, 2022. С. 61–66.
- Семенов В.М., Когут Б.М. Почвенное органическое вещество. М.: ГЕОС, 2015. 233 с.
- Сидорова В.А. Библиография 1939–2006 гг. // Геостатистика и география почв. М.: Наука. 2007. С. 134–173.
- Сидорова В.А. Изменение пространственной вариабельности почвенных свойств в результате антропогенного воздействия // Российский журн. прикладной экологии. 2010. № 3. С. 30–47. http://resources.krc.karelia.ru/krc/doc/publ2010/ IB_ecol_pochv_030-47.pdf
- Сидорова В.А. Динамика пространственного варьирования почвенных свойств луговых агроценозов Карелии при постантропогенном развитии // Российский журн. прикладной экологии. 2016. № 3. С. 23–27.
- Сидорова В.А., Красильников П.В. Почвенно-географическая интерпретация пространственной вариабельности химических и физических свойств поверхностных горизонтов почв степной зоны // Почвоведение. 2007. № 10. С. 1168–1178.
- Сидорова В.А., Федоров Ф.В. Влияние бобров на вариабельность свойств почв Южной Карелии // Геостатистика и география почв. М.: Наука, 2007. С. 92–108.
- Симонова Ю.В., Русаков А.В., Рюмин А.Г. Вариабельность запасов углерода на уровне пробных площадок (Ярославская область, Верхняя Волга) // Природная и антропогенная неоднородность почв и статистические методы ее изучения. Сб. науч. статей. М.: Издательско-торговая корпорация “Дашков и К°”, 2022. С. 37–42.
- Смирнов В.Г. Пространственное распределение органического вещества в почвах эрозионных ландшафтов юго-западной лесостепной провинции ЦЧР. Выпускная квалификационная работа обучающегося по направлению подготовки 21.04.02 Землеустройство и кадастры очной формы обучения, группы 81001614. Белгород, Белгородский гос. национальный исследовательский ун-т. 2018. 81 с. https://nauchkor.ru/pubs/prostranstvennoe-raspredelenie-organicheskogo-veschestva-v-pochvah-erozionnyh-landshaftov-yugo-zapadnoy-lesostepnoy-provintsii-tschr-5c1a75f57966e104f6f85abf
- Смирнова Л.Г., Чендев Ю.Г., Новых Л.Л., Украинский П.А., Новых Н.Е. Микрозональные особенности профильного и пространственного распределения содержания гумуса в почвах склона // Научные ведомости. Сер. Естественные науки. 2011. Вып. 16. № 15. С. 160–167.
- Сорокина Н.П., Когут Б.М. Динамика содержания гумуса в пахотных черноземах и подходы к ее изучению // Почвоведение. 1997. № 2. С. 178–184.
- Сулейманов А.Р. Цифровое картографирование содержания почвенного органического углерода на пахотном участке Республики Башкортостан // Природная и антропогенная неоднородность почв и статистические методы ее изучения. Сб. науч. статей. М.: Издательско-торговая корпорация “Дашков и К°”, 2022. С. 57–60.
- Тумин Г.М. Влияние лесных полос на почву в Каменной Степи. Воронеж: Коммуна, 1930. 40 с.
- Тюрин И.В. Новое видоизменение объемного метода определения гумуса с помощью хромовой кислоты // Почвоведение. 1931. № 5–6. С. 36–47.
- ФАО. Стандартная рабочая методика для органического углерода почвы. Спектрофотометрический метод Тюрина. Рим, 2021.
- Фридланд В.М. Структура почвенного покрова. М.: Мысль, 1972. 423 с.
- Хитров Н.Б. Теоретические и методические аспекты исследования закономерностей изменения почв при антропогенных воздействиях // Закономерности изменения почв при антропогенных воздействиях и регулирование состояния и функционирования почвенного покрова: Матер. Всерос. науч. конф. М.: Почв. ин-т им. В.В. Докучаева, 2010. С. 3–12.
- Целищева Л.К., Дайнеко Е.К. Очерк почв Стрелецкого участка Центрально-черноземного заповедника // Тр. Центрально-черноземного заповедника им. В.В. Алехина. Вып. X. М.: Лесная промышленность, 1967. С. 154–186.
- Цирулев А.П. Пространственная неоднородность показателей почвенного плодородия и эффективность дифференцированного применения удобрений в Самарском Заволжье // Питание растений. 2011. № 1. С. 6–9.
- Чевердин Ю.И., Беспалов В.А. Пространственное варьирование содержания гумуса в черноземах Каменной Степи // Плодородие. 2011. № 4. С. 28–29.
- Чернова О.В., Голозубов О.М., Алябина И.О., Щепащенко Д.Г. Комплексный подход к картографической оценке запасов органического углерода в почвах России // Почвоведение. 2021. № 3. С. 273–286. https://doi.org/10.31857/S0032180X21030047
- Черноземы СССР. М.: Колос, 1974. Т. 1. 560 с.
- Чесняк Г.Я., Гаврилюк Ф.Я., Крупеников И.А., Лактионов Н.И., Шилихина И.И. Гумусовое состояние черноземов // Русский чернозем – 100 лет после Докучаева. М.: Наука, 1983. С. 186-198.
- Честных О.В., Замолодчиков Д.Г. Зависимость плотности почвенных горизонтов от глубины их залегания и содержания гумуса // Почвоведение. 2004. № 8. С. 937–944.
- Шамрикова Е.В., Ванчикова Е.В., Кондратёнок Б.М., Лаптева Е.М., Кострова С.Н. Проблемы и ограничения дихроматометрического метода измерения содержания почвенного органического вещества (обзор) // Почвоведение. 2022. № 7. С. 787–794. https://doi.org/10.31857/S0032180X22070097
- Шарый П.А., Пинский Д.Л. Статистическая оценка связи пространственной изменчивости содержания органического углерода в серой лесной почве с плотностью, концентрациями металлов и рельефом // Почвоведение. 2013. № 11. С. 1344–1356.
- Шоба С.А., Алябина И.О., Колесникова В.М., Молчанов Э.Н., Рожков В.А., Столбовой В.С., Урусевская И.С., Шеремет Б.В., Конюшков Д.Е. Почвенные ресурсы России. Почвенно-географическая БД. М.: ГЕОС, 2010. 128 с.
- AAFC. Agriculture and Agri-Food Canada. The Canadian Soil Information System (CANSIS) and the National Soil Database (NSDB). http://sis.agr.gc.ca/cansis/index.html
- Adhikari K., Hartemink A.E., Minasny B., Bou Kheir R., Greve M.B., Greve M.H. Digital Mapping of Soil Organic Carbon Contents and Stocks in Denmark // PLoS ONE. 2014. V. 9. № 8. P. e105519. https://doi.org/10.1371/journal.pone.0105519
- Apesteguia M., Plante A.F., Virtoc I. Methods assessment for organic and inorganic carbon quantification in calcareous soils of the Mediterranean region // Geoderma Regional. 2017. V. 12. № 4. P. 39–48. https://doi.org/10.1016/j.geodrs.2017.12.001
- Aşkin T., Kizilkaya R. Spatial Distribution Patterns of Soil Microbial Biomass Carbon within the Pasture // Agriculturae Conspectus Scientificus. 2007. V. 72. № 1. P. 75–79.
- Aşkin T., Kizilkaya R. The spatial variability of urease activity of surface agricultural soils within an urban area // J. Central European Agriculture. 2005. V. 6. № 2. P. 161–166.
- ASRIS. Australian Soil Resource Information System, Australian Department of Agriculture. http://www.asris.csiro.au/index_ie.html
- Awale R., Emeson M.A., Machado S. Soil organic carbon pools as early indicators for soil organic matter stock changes under different tillage practices in Inland Pacific Northwest // Frontiers in Ecology and Evolution. 2017. V. 5. P. 96. https://doi.org/10.3389/fevo.2017.00096
- Bai Y., Zhou Y. The main factors controlling spatial variability of soil organic carbon in a small karst watershed, Guizhou Province, China // Geoderma. 2020. V. 357. P. 113938. https://doi.org/10.1016/j.geoderma.2019.113938
- Bergstrom D.W., Monreal C.M., Millette J.A., King D.J. Spatial Dependence of Soil Enzyme Activities along a Slope // Soil Sci. Soc. Am. J. 1998. V. 62. P. 1302–1308.
- Black K., Creamer R.E., Xenakis G., Cook S. Improving forest soil carbon models using spatial data and geostatistical approaches // Geoderma. 2014. V. 232–234. P. 487–499. https://doi.org/10.1016/j.geoderma.2014.05.022
- Blakemore L.C., Searle P.L., Daly B.K. Methods for chemical analysis of soils // New Zealand Soil Bureau. Scientific Report 10. Dep. of Sci. and Indus-trial Res. New Zealand, 1977. 112 p.
- Boerner R.E.J., Brinkman J.A., Smith A. Seasonal variations in enzyme activity and organic carbon in soil of a burned and unburned hardwood forest // Soil Biol. Biochem. 2005. V. 37. P. 1419–1426. https://doi.org/10.1016/j.soilbio.2004.12.012
- Bruun T.B., Ryan C.M., de Neergaard A., Berry N.J. Soil organic carbon stocks maintained despite intensification of shifting cultivation // Geoderma. 2021. V. 388. P. 114804. https://doi.org/10.1016/j.geoderma.2020.114804
- Campbell C.A., Biederbeck V.O., Hahn D., Lafond G.P., Wen G., Schoenau J. Seasonal trends in soil biochemical attributes: Effects of crop management on a Black Chernozem // Can. J. Soil Sci. 1999a. V. 79. P. 85–97. https://doi.org/10.4141/S98-029
- Campbell C.A., Biederbeck V.O., Zentner R.P., Hahn D., Wen G., Schoenau J. Seasonal trends in selected soil biochemical attributes: Effects of crop rotation in the semiarid prairie // Can. J. Soil Sci. 1999. V. 79. P. 73–84. https://doi.org/10.4141/S98-008
- Carré F., Jeannée N., Casalegno S., Lemarchand O., Reuter H.I., Montanarella L. Mapping the CN ratio of the forest litters in Europe-Lessons for Global Digital Soil Mapping // Digital Soil Mapping. Progress in Soil Science 2. N.Y.: Springer Science + Business Media B.V., 2010. P. 217–225. https://doi.org/10.1007/978-90-481-8863-5_18
- Chaplot V., Bouahom B., Valentin C. Soil organic carbon stocks in Laos: spatial variations and controlling factors // Global Change Biology. 2010. V. 16. P. 1380–1393. https://doi.org/10.1111/j.1365-2486.2009.02013.x
- Choudhury B.U., Mohapatra K.P., Das A., Das P.T., Nongkhlaw L., Fiyaz R.A., Ngachan S.V., Hazarika S., Rajkhowa D.J., Munda G.C. Spatial variability in distribution of organic carbon stocks in the soils of North East India // Current Science. 2013. V. 104. № 5. P. 604–614
- Constancias F., Terrat S., Saby N.P.A., Horrigue W., Villerd J., Guillemin J.-P., Biju-Duval L., Nowak V., Dequiedt S., Ranjard L., Prévost-Bouré N.C. Mapping and determinism of soil microbial community distribution across an agricultural landscape // Microboilogy Open. 2015. P. 1–13. https://doi.org/10.1002/mbo3.255
- Cunningham S.C., Metzeling K.J., Mac Nally R., Thomson J.R., Cavagnaro T.R. Changes in soil carbon of pastures after afforestation with mixed species: Sampling, heterogeneity and surrogates // Agriculture, Ecosystems and Environment. 2012. V. 158. P. 58–65. https://doi.org/10.1016/j.agee.2012.05.019
- Deng L., Wang K., Zhu G., Liu Y., Chen L., Shangguan Z. Changes of soil carbon in five land use stages following 10 years of vegetation succession on the Loess Plateau, China // Catena. 2018. V. 171. P. 185–192. https://doi.org/10.1016/j.catena.2018.07.014
- Dijkshoorn J.A. SOTER database for Southern Africa (SOTERSAF). ISRIC – World Soil Information. Wageningen, 2003.
- Dijkshoorn J.A., Huting J.R.M., Tempel P. Update of the 1 : 5 million Soil and Terrain Database for Latin America and the Caribbean (SOTERLAC; version 2.0). ISRIC – World Soil Information. Wageningen, 2005.
- Dormaar J.F., Johnston A., Smoliak S. Seasonal variation in chemical characteristics of soil organic matter of grazed and ungrazed mixed prairie and fescue grassland // J. Range Management. 1977. V. 30. P. 195–198. https://doi.org/10.2307/3897467
- Eze S., Palmer S.M., Chapman P.J. Soil organic carbon stock in grasslands: Effects of inorganic fertilizers, liming and grazing in different climate settings // J. Environ. Management. 2018. V. 223. P. 74–84. https://doi.org/10.1016/j.jenvman.2018.06.013
- FAO. Global Soil Laboratory Network. Standard operating procedure for soil organic carbon – Walkley-Black method: Titration and colorimetric method. Rome, FAO. 2019. https://www.fao.org/3/ca7471en/ca7471en.pdf
- FAO. Global Soil Laboratory Network. Standard operating procedure for soil total carbon – Dumas dry combustion method. Rome, FAO. 2019. https://www.fao.org/3/ca7781en/ca7781en.pdf
- FAO. A protocol for measurement, monitoring, reporting and verification of soil organic carbon in agricultural landscapes – GSOC-MRV Protocol. Rome, 2020. https://doi.org/10.4060/cb0509en
- Funes I., Savé R., Rovira P., Molowny-Horas R., Alcañiz J.M., Ascaso E., Herms I., Herrero C., Boixadera J., Vayreda J. Agricultural soil organic carbon stocks in the north-eastern Iberian Peninsula: Drivers and spatial variability // Sci. Total Environ. 2019. V. 668. P. 283–294. https://doi.org/10.1016/j.scitotenv.2019.02.317
- Gardi C., Sconosciuto F. Evaluation of carbon stock variation in Northern Italian soils over the last 70 years // Sustainable Sci. 2007. V. 2. P. 237–243. https://doi.org/10.1007/s11625-007-0034-9
- Gómez J.A., Guzmán G., Vanwalleghem T., Vanderlinden K. Spatial variability of soil organic carbon stock in an olive orchard at catchment scale in Southern Spain // Int. Soil Water Conservation Res. 2022. V. 12. P. 002. https://doi.org/10.1016/j.iswcr.2022.12.002
- Guillaume T., Bragazza L., Levasseur C., Libohova Z., Sinaj S. Long-term soil organic carbon dynamics in temperate cropland-grassland systems // Agriculture, Ecosystems and Environment. 2021. V. 305. P. 107184. https://doi.org/10.1016/j.agee.2020.107184
- Guo L.B., Gifford R.M. Soil carbon stock and land use change: A meta-analysis // Global Change Biol. 2002. V. 8. № 4. P. 345–360. https://doi.org/10.1046/j.1354-1013.2002.00486.x
- Harmonized World Soil Database (version 1.0). Rome: FAO, IIASA, ISRIC, ISS-CAS, JRC. FAO, 2008.
- Hoogsteen M.J.J., Breure A.M., van Ittersum M.K. Monitoring soil organic matter on grassland farms: An exploratory analysis // Geoderma. 2022. V. 405. P. 115456. https://doi.org/10.1016/j.geoderma.2021.115456
- Huang B., Sun W., Zhao Y., Zhu J., Yang R., Zou Z., Ding F., Su J. Temporal and spatial variability of soil organic matter and total nitrogen in an agricultural ecosystem as affected by farming practices // Geoderma. 2007. V. 139. P. 336–345. https://doi.org/10.1016/j.geoderma.2007.02.012
- Intergovernmental Panel on Climate Change. Good Practice Guidance for Land Use, Land-Use Change and Forestry. IPCC National Greenhouse Gas Inventories Programme / Eds. Penman J. et al. IPCC, 2008. 590 p.
- IPCC 2019. Refinement to the 2006 IPCC Guidelines for National Greenhouse Gas Inventories / Eds. Calvo Buendia et al. IPCC, 2019.
- Jenny H. Factors of soil formation: a system of quantitative pedology. N.Y.: Dover Publications, 1941. 281 p.
- Johnson W.M. The Pedon and the Polypedon // Soil Sci. Soc. Am. Proc. 1963. V. 27. P. 212–215.
- Lacoste M., Minasny B., McBratney A., Michot D., Viaud V., Walter C. High resolution 3D mapping of soil organic carbon in a heterogeneous agricultural landscape // Geoderma. 2014. V. 213. P. 296–311. https://doi.org/10.1016/j.geoderma.2013.07.002
- Lal R. Sequestering atmospheric carbon dioxide // Critical Rev. Plant Sci. 2009. V. 28. P. 90–96. https://doi.org/10.1080/07352680902782711
- Le Bas C., King D., Jamagne M., Daroussin J. The European Soil Information System. Luxembourg: European Soil Bureau Research, 1998.
- Liptzin D., Norris C.E., Cappellazzi S.B., Mac Bean G., Cope M., Greub K.L.H., Rieke E.L. et al. An evaluation of carbon indicators of soil health in long-term agricultural experiments // Soil Biol. Biochem. 2022. V. 172. P. 108708. https://doi.org/10.1016/j.soilbio.2022.108708
- Maillard E., McConkey B.G., Angers D.A. Increased uncertainty in soil carbon stock measurement with spatial scale and sampling profile depth in world grasslands: A systematic analysis // Agriculture, Ecosystems and Environment. 2017. V. 236. P. 268–276. https://doi.org/10.1016/j.agee.2016.11.024
- Mendonça-Santos M.L., Dart R.O., Santos H.G., Coelho M.R., Berbara R.L.L., Lumbreras J.F. Digital soil mapping of topsoil organic carbon content of Rio de Janeiro State, Brazil // Digital Soil Mapping. Progress in Soil Science 2. N.Y.: Springer Science + Business Media B.V., 2010. P. 255–266. https://doi.org/10.1007/978-90-481-8863-5_21
- Minasny B., McBratney A.B., Malone B.P., Wheeler I. Digital Mapping of Soil Carbon // Adv. Agronomy. 2013. V. 118. P. 1–47. https://doi.org/10.1016/B978-0-12-405942-9.00001-3
- Mishra U., Lal R., Liu D., Van Meirvenne M. Predicting the Spatial Variation of the Soil Organic Carbon Pool at a Regional Scale // Soil Sci. Soc. Am. J. 2010. V. 74. № 3. P. 906–914. https://doi.org/10.2136/sssaj2009.0158
- Mishra U., Riley W.J. Scaling impacts on environmental controls and spatial heterogeneity of soil organic carbon stocks // Biogeosciences. 2015. № 12. P. 3993–4004. https://doi.org/10.5194/bg-12-3993-2015
- Nelson D.W., Sommers L.E. Total carbon, organic carbon, and organic matter // Methods of Soil Analysis. Part 3. Chemical Methods. Madison: SSSA Book Series, 1996. P. 961–1010.
- Nguemezi C., Tematio P., Silatsa F.B.T., Yemefack M. Spatial variation and temporal decline (1985–2017) of soil organic carbon stocks (SOCS) in relation to land use types in Tombel area, South-West Cameroon // Soil Till. Res. 2021. V. 213. 1051114. P. 1–11. https://doi.org/10.1016/j.still.2021.105114
- Oueslati I., Allamano P., Bonifacio E., Claps P. Vegetation and Topographic Control on Spatial Variability of Soil Organic Carbon // Pedosphere. 2013. V. 23. P. 48–58.
- Peigné J., Vian J.-F., Cannavacciuolo M., Bottollier B., Chaussod R. Soil sampling based on field spatial variability of soil microbial indicators // Eur. J. Soil Biol. 2009. P. 488–495. https://doi.org/10.1016/j.ejsobi.2009.09.002
- Piotrowska A., Dlugosz J., Namysłowska-Wilczyńska B., Zamorski R. Field-scale variability of topsoil dehydrogenase and cellulase activities as affected by variability of some physico-chemical properties // Biol. Fertil. Soils. 2011. V. 47. P. 101–109. https://doi.org/10.1007/s00374-010-0507-3
- Rahman M.H., Holmes A.W., Saunders S.J. Spatio-temporal variation in soil organic carbon under kiwifruit production systems of New Zealand // Proc. 1st Int. Symposium on Organic Matter Management and Compost in Horticulture. Eds.: Biala J. et al. Acta Hort. 1018, ISHS, 2014. P. 279–286.
- Romanenko I.A., Romanenkov V.A., Smith P., Smith J.U., Sirotenko O.D., Lisovoi N.V., Shevtsova L.K., Rukhovich D.I., Koroleva P.V. Constructing regional scenarios for sustainable agriculture in European Russia and Ukraine for 2000 to 2070 // Regional Environmental Change. 2007. V. 7. P. 63–77. https://doi.org/10.1007/s10113-007-0032-6
- Rossel R.A.V., Webster R., Bui E.N., Baldock J.A. Baseline map of organic carbon in Australian soil to support national carbon accounting and monitoring under climate change // Global Change Biology. 2014. V. 20. P. 2953–2970. https://doi.org/10.1111/gcb.12569
- Rukhovich D.I., Koroleva P.V., Vilchevskaya E.V, Romanenkov V.A., Kolesnikova L.G. Constructing a spatially-resolved database for modelling soil organic carbon stocks of croplands in European Russia // Regional Environmental Change. 2007. V. 7. P. 51–61. https://doi.org/10.1007/s10113-007-0029-1
- Qiu W., Curtin D., Johnstone P., Beare M., Hernandez-Ramirez G. Small-Scale Spatial Variability of Plant Nutrients and Soil Organic Matter: an Arable Cropping Case Study // Communications in Soil Science and Plant Analysis. 2016. https://doi.org/10.1080/00103624.2016.1228945
- Oueslati I., Allamano P., Bonifacio E.,Claps P. Vegetation and Topographic Control on Spatial Variability of Soil Organic Carbon // Pedosphere. 2013. V. 23. P. 48–58.
- Schimel J. Modeling ecosystem-scale carbon dynamics in soil: The microbial dimension // Soil Biol. Biochem. 2023. V. 178. P. 108948. https://doi.org/10.1016/j.soilbio.2023.108948
- Schöning I., Totsche K.U., Kögel-Knabner I. Small scale spatial variability of organic carbon stocks in litter and solum of a forested Luvisol // Geoderma. 2006. V. 136. P. 631–642. https://doi.org/10.1016/j.geoderma.2006.04.023
- Schulp C.J.E., Verburg P.H. Effect of land use history and site factors on spatial variation of soil organic carbon across a physiographic region // Agriculture, Ecosystems and Environment. 2009. V. 133. P. 86–97. https://doi.org/10.1016/j.agee.2009.05.005
- Shahbaz M., Bengtson P., Mertes J.R., Kulessa B., Kljun N. Spatial heterogeneity of soil carbon exchanges and their drivers in a boreal forest // Sci. Total Environ. 2022. V. 831. P. 154876. https://doi.org/10.1016/j.scitotenv.2022.154876
- Shamrikova E.V., Kondratenok B.M., Tumanova E.A., Vanchikova E.V., Lapteva E.M., Zonova T.V., Lu-Lyan-Min E.I., Davydova A.P., Libohova Z., Suvannang N. Transferability between soil organic matter measurement methods for database harmonization // Geoderma. 2022. V. 412. P. 115547. https://doi.org/10.1016/j.geoderma.2021.115547
- Soil Survey Staff, Natural Resources Conservation Service, United States Department of Agriculture. American Web Soil Survey and Geographic (SSURGO). http://soildatamart.nrcs.usda.gov
- Stevens F., Bogaert P., van Wesemael B. Detecting and quantifying field-related spatial variation of soil organic carbon using mixed-effect models and airborne imagery // Geoderma. 2015. V. 259–260. P. 93–103. https://doi.org/10.1016/j.geoderma.2015.05.008
- Stoyan H., De-Polli H., Bohm S., Robertson G.P., Paul E.A. Spatial heterogeneity of soil respiration and related properties at the plant scale // Plant and Soil. 2000. V. 222. P. 203–214. https://doi.org/10.1023/A:1004757405147
- Tabatabai M.A., Bremner J.M. Use of the Leco automatic 70-second carbon analyzer for total carbon analyses of soils // Soil Sci. Soc. Amer. Proc. 1970. V. 34. № 4. P. 608–610.
- Tan X., Xie B., Wang J., He W., Wang X., Wei G. County-Scale Spatial Distribution of Soil Enzyme Activities and Enzyme Activity Indices in Agricultural Land: Implications for Soil Quality Assessment // Scientific World J. 2014. P. 535768. https://doi.org/10.1155/2014/535768
- Tate K.R., Wilde R.H., Giltrap D.J., Baisden W.T., Saggar S., Trustrum N.A., Scott N.A., Barton J.P. Soil organic carbon stocks and flows in New Zealand: System development, measurement and modelling // Can. J. Soil. Sci. 2005. V. 85. P. 481–489.
- Tesfay F., Kibret K., Gebrekirstos A., Hadgu K.M. Soil Carbon and Nitrogen Stock and Their Spatial Variability Along an Exclosure Chronosequence at Kewet District, Central Dry Lowlands of Ethiopia // Air, Soil Water Research. 2022. V. 15. P. 1–16. https://doi.org/10.1177/11786221221124546
- Tóth E., Kisic I., Galic M., Telak L.J., Brezinscak L., Dugan I., Dencső M., Gelybó G., Bakacsi Z., Horel Á., Bogunovic I. Spatial mapping of soil respiration using auxiliary variables. A small scale study // J. Central European Agriculture. 2021. V. 22. P. 657–668. https://doi.org/10.5513/JCEA01/22.3.3227
- Turner J., Lambert M. Change in organic carbon in forest plantation soils in eastern Australia // Forest Ecology and Management. 2000. V. 133. P. 231–247.
- Walkley A., Black I.A. An examination of the Degjareff method for determining soil organic matter and a proposed modification of the chromic acid titration method // Soil Science. 1934. V. 37. P. 29–38.
- Wang L., Okin G.S., Caylor K.K., Macko S.A. Spatial heterogeneity and sources of soil carbon in southern African savannas // Geoderma. 2009. V. 149. P. 402–408. https://doi.org/10.1016/j.geoderma.2008.12.014
- Wang S., Xu L., Zhuang Q., He N. Investigating the spatio-temporal variability of soil organic carbon stocks in different ecosystems of China // Sci. Total Environ. 2021. V. 758. P. 143644. https://doi.org/10.1016/j.scitotenv.2020.143644
- Webster R., Oliver M.A. Statistical methods in soil and land resource survey. Oxford: Oxford Univ. press, 1990. 316 p.
- Wenzel W.W., Duboc O., Golestanifard A., Holzinger C., Mayr K., Reiter J., Schiefer A. Soil and land use factors control organic carbon status and accumulation in agricultural soils of Lower Austria // Geoderma. 2022. V. 409. P. 115595. https://doi.org/10.1016/j.geoderma.2021.115595
- Wiesmeier M., Barthold F., Spörlein P., Geuß U., Hangen E., Reischl A., Schilling B., Angst G., von Lützow M., Kögel-Knabner I. Estimation of total organic carbon storage and its driving factors in soils of Bavaria (southeast Germany) // Geoderma Regional. 2014. V. 1. P. 67–78. https://doi.org/10.1016/j.geodrs.2014.09.001
- Wiesmeier M., Urbanski L., Hobley E., Lang B., von Lützow M., Marin-Spiotta E., van Wesemael B., Rabot E., Ließ M., Garcia-Franco N., Wollschläger U., Vogel H.-J., Kögel-Knabner I. Soil organic carbon storage as a key function of soils – A review of drivers and indicators at various scales // Geoderma. 2019. V. 333. P. 149–162. https://doi.org/10.1016/j.geoderma.2018.07.026
- Wuest S. Seasonal variation in soil organic carbon // Soil Sci. Soc. Am. J. 2014. V. 78. P. 1442–1447. https://doi.org/10.2136/sssaj2013.10.0447
- Wuest S.B., Schillinger W.F., Machado S. Variation in soil organic carbon over time in no-till versus minimum tillage dryland wheat-fallow // Soil Till. Res. 2023. V. 229. 105677. P. 1–9. https://doi.org/10.1016/j.still.2023.105677
- Xie E., Zhang Y., Huang B., Zhao Y., Shi X., Hu W., Qu M. Spatiotemporal variations in soil organic carbon and their drivers in southeastern China during 1981–2011 // Soil Till. Res. 2021. V. 205. P. 104763. https://doi.org/10.1016/j.still.2020.104763
- Xiong X., Grunwald S., Myers D.B., Kim J., Harris W.G., Bliznyuk N. Assessing uncertainty in soil organic carbon modeling across a highly heterogeneous landscape // Geoderma. 2015. V. 251–252. P. 105–116. https://doi.org/10.1016/j.geoderma.2015.03.028
- Yang F., Tiana J., Fanga H., Gaoa Y., Zhanga X., Yua G., Kuzyakov Y. Spatial heterogeneity of microbial community and enzyme activities in a broad-leaved Korean pine mixed forest // Eur. J. Soil Biol. 2018. V. 88. P. 65–72. https://doi.org/10.1016/j.ejsobi.2018.07.001
- Yang P., Byrne J.M., Yang M. Spatial variability of soil magnetic susceptibility, organic carbon and total nitrogen from farmland in northern China // Catena. 2016. V. 145. P. 92–98. https://doi.org/10.1016/j.catena.2016.05.025
- Yu D.-S., Zhang Z.-Q., Yang H., Shi X.-Z., Tan M.-Z., Sun W.-X., Wang H.-J. Effect of Soil Sampling Density on Detected Spatial Variability of Soil Organic Carbon in a Red Soil Region of China // Pedosphere. 2011. V. 21. P. 207–213.
- Yun-Qiang W.A.N.G., Zhang X.C., Zhang J.L., Shun-Ji L.I. Spatial variability of soil organic carbon in a watershed on the Loess Plateau // Pedosphere. 2009. V. 19. P. 486–495. https://doi.org/10.1016/S1002-0160(09)60141-7
- Zhang P., Wang Y., Xu L., Sun H., Li R., Zhou J. Factors controlling the spatial variability of soil aggregates and associated organic carbon across a semi-humid watershed // Sci. Total Environ. 2022. V. 809. P. 151155. https://doi.org/10.1016/j.scitotenv.2021.151155
- Zhang S., Zhang X., Liu Z., Sun Y., Liu W., Dai L., Fu S. Spatial heterogeneity of soil organic matter and soil total nitrogen in a Mollisol watershed of Northeast China // Environ. Earth Sci. 2014. V. 72. P. 275–288. https://doi.org/10.1007/s12665-014-3081-4
- Zhao W., Cao T., Li Z., Luo M., Su Y. Spatial variability of soil organic matter in a gravel-sand mulched jujube orchard at field scale // Arabian J. Geosciences. 2020. V. 13. 446. https://doi.org/10.1007/s12517-020-05465-w
- Zhao Y.C., Shi X.Z. Spatial prediction and uncertainty assessment of soil organic carbon in Hebei Province, China // Digital Soil Mapping. Progress in Soil Science 2. N.Y.: Springer Science + Business Media B.V., 2010. P. 227–239. https://doi.org/10.1007/978-90-481-8863-5_19
Supplementary files







